Revista de la Facultad de Ciencias Agrarias. Universidad Nacional de Cuyo. Tomo 53(2). ISSN (en línea) 1853-8665. Año 2021.
Original article
Effect of plot size and plant spatial arrangement on the efficiency of family selection in sugarcane (Saccharum officinarum)
Efecto del tamaño de la parcela y la disposición espacial de la planta sobre la eficiencia de la selección familiar en la caña de azúcar (Saccharum officinarum)
Aparecidode Moraes 1
Matheus HenriqueSilveira Mendes 2
Mauro Sérgiode Oliveira Leite 3
Regis de Castro Carvalho 2
Flávia Maria Avelar Gonçalves 2*
1 CTC Centro de Tecnologia Canavieira. Fazenda Santo Antônio. S/N. Bairro Santo Antônio. CEP 13400-970. Caixa Postal 162. Piracicaba. São Paulo. Brazil.
2 Universidade Federal de Lavras. Campus Universitário. S/n. CEP. 37200-900. Caixa Postal 3037. Lavras. Minas Gerais. Brazil.
3 Bayer Cropscience. Av. Getúlio Vargas, 275. Centro. CEP. 38400-299. Uberlândia. Minas Gerais. Brazil.
Abstract
The purpose of this study was to identify the ideal sample size to represent the potential of a sugarcane family for identification of superior families, and, at the same time, determine which spatial arrangement may provide better phenotypic expression of the progeny of the sugarcane families tested. Thus, five full-sib families, each with 360 individuals, were evaluated in a randomized block design with three replications. The plants were placed in three different spatial arrangements in the row: 50 cm, 75 cm, and 100 cm between plants; with 150 cm between the rows. The bootstrap method was adopted to determine the ideal sample size, as well as the best spacing for evaluation. The 100-cm spacing provided the best mean values for number of stalks, mean stalk diameter, and estimated weight of stalks in the stool. The 75-cm spacing between plants within the row allowed better discrimination among the families for all the traits evaluated. At the 75-cm plant spacing, it was also possible to identify superior families with a sample of 30 plants from each plot and 3 reps in the trial.
Keywords: Plant breeding; Experimental design; Breeding strategy; Bootstrap.
Resumen
El propósito de este estudio fue identificar el tamaño de muestra ideal que representa a una familia en su potencial, identificar familias superiores y, en paralelo, determinar qué disposición espacial puede tener una mayor precisión en cuanto a la selección de nuevas variedades de caña de azúcar. Para tal fin, se evaluaron cinco familias de hermanos completos, cada una con 360 individuos, en diseño de bloques al azar, con tres repeticiones y tres distancias diferentes entre las plantas en una misma hilera (50 cm, 75 cm y 100 cm). Se mantuvieron 150 cm entre hileras. Para determinar el tamaño ideal de la muestra, así como la mejor distancia para la evaluación, se adoptó el método bootstrap. Se observó que distancias de 100 cm resultaron en el mejor valor promedio de números de tallo, diámetro del tallo y peso estimado de los tallos en las heces. La separación de 75 cm entre las plantas permitió un mejor poder de discriminación entre las familias para todos los caracteres evaluados. Con 75 cm también fue posible identificar familias superiores con una muestra de 30 plantas en cada parcela y 3 repeticiones en el ensayo.
Palabras clave: Fitomejoramiento; Diseño experimental; Estrategia de mejoramiento; Bootstrap.
Originales: Recepción: 20/11/2019
Aceptación: 01/10/2021
Introduction
Over the past 50 years, sugarcane yield has increased by approximately 40%, especially due to breeding. However, from eight to twelve years are required to obtain a new sugarcane cultivar through the breeding process (16). Continual efforts should be made to increase the efficiency of breeding programs, and early selection is an example of this (13).
Sugarcane selection starts with the identification and cloning of superior genotypes. Several steps are performed in this selection, ranging from the choice of desirable parents to quantification of genetic effects in expression of the trait evaluated (8, 16).
Desirable traits identified in superior genotypes are often controlled by many genes. Even relying on newly available tools (such as databases, parent history, and software), it is hard for breeders to precisely define the best parents for hybridizations (18, 21). Therefore, a large number of crosses are necessary to increase the chances of obtaining the best combinations for generating promising progenies.
In the early stages of clonal selection, superior families were identified, followed by mass selection of the best individuals within the families. This provided greater genetic gains and greater frequency of superior genotypes (5, 27). Sugarcane breeding programs in several countries have used this methodology (2, 5, 13).
Families are selected through collection of their phenotypic data. The best families for continuing selection can be inferred from analysis of this data. An evaluation is usually made from collection of samples to determine sugar content and stalk weight, and yield is estimated in tons of cane per hectare (TCH).
In the first stage of all sugarcane-breeding programs, seedlings are planted that come from seeds originating from the crosses made. These seedlings are planted at defined spacings in the row. The spacings are defined by each program and have consequences on phenotypic expression of traits, such as number, diameter, and height of stalks, which directly affect the family selection process. Several studies have aimed to identify the most adequate sample size for evaluating families. However, most of these studies were carried out using only one plant spacing in the row; other plant spacings were not tested. Family evaluation is one of the most expensive stages in a commercial breeding program. Thus, studies have sought to optimize resources through reducing plot size. According to Durner (1989), experimental plot size is a key decision for optimizing the use of the experimental area. This optimization allows genotype evaluation with a larger number of reps and sites. Some strategies have already been evaluated to check the viability of performing selection in the initial stages of a sugarcane-breeding program (19). It has already been observed that for traits related to sugar content, a one-row plot was as efficient as a two-row plot (12). In the literature, recommendations for sample size in sugarcane experiments range from 20 to 150 plants per family (1, 15). Since researchers’ suggestions vary considerably, studies must be conducted to determine the ideal sample size to represent a family.
The aims of the present study were to identify the ideal sample size that represents the potential of a family and to determine the best spacing between plants to improve selection.
Materials and methods
The seeds of the sugarcane families used in this study were obtained from five biparental crosses made at the Canavialis hybridization site on the Vale das Flores farm, Maceió, AL, Brazil, during the 2014 season. These seeds were sent to the regional Canavialis site in Conchal, SP, where seedlings were produced. Each cross was used to produce 360 seedlings, which were sent to the regional station, the Destivale farm in Araçatuba, SP, with geographic coordinates of latitude 21° 6’ 20.52” S and longitude 50° 28’ 57” W, at an altitude of 430 m. Average temperature is 22.2°C, rainfall is 1,250 mm per year, and soil is classified as a Latosol Rojo-Amarillo distrófico.
Experiments were set up in September 2014 with plants spaced at 50 cm, 75 cm, and 100 cm in the row. Each experiment had a completely randomized block design, with six treatments (five families plus one standard commercial cultivar, RB867515), three replications, and a 1.5 m between-row spacing. The seedlings of the standard commercial check cultivar were produced through germination of single billets, like seeds in a greenhouse. This method makes the seedlings produce stools, which are similar to those produced by seeds (seedlings).
Conventional tillage for sugarcane was used for field planting. Furrows were opened and fertilizer was applied in the furrows at a dosage of 500 kg/ha of a 05-25-25 (N-P-K) formulation. Seedlings were planted manually at different plant spacings in the row. A distance of 2.5 m was maintained between plots, and borders of the experiment were planted with sugarcane to protect the perimeter. Sprinkler irrigation was performed three times at 10 mm each to ensure 100% seedling survival.
Data was collected in July 2015 from sugarcane at 10 months of age for the following traits: (i) number of stalks: obtained through counting the total number of stalks (fully developed) in each stool (seedling); (ii) stalk diameter: obtained by measuring three representative stalks in the stool at 1/3 stalk height with a digital caliper; (iii) stalk height: obtained by measuring three representative stalks in the stool from soil level to the base of the dewlap of the leaf +3.
Based on these traits, the mean stalk weights were estimated, obtained through the following biometric formula:
PE = d x π x AC x (DC/2)² proposed by Chang and Milligan (1992)
where:
PE - estimated stalk weight;
d - the specific density of the stalk, whose suggested value is 1 g/cm3;
π - the dimensional value of approximately 3.1415;
AC - the height of the stalk from its base to the last visible dewlap;
DC - stalk diameter expressed in centimeters, measured at 1/3 representative stalk height.
Along with stalk weight, stool weight was estimated, and subsequently, sugarcane stalk weight for the plots.
For statistical analysis, individual analyses of variance were performed for each trait in each spacing, and combined analyses of variance for all spacings. First, individual analyses of variance were performed for each trait within each spacing arrangement. Upon meeting the required premises, combined analyses were performed according to the following model:
![]()
where:
yijkl - is the observation of individual l, family i, block j, and spacing k;
μ - the general mean;
fi - the effect of family i;
ak - the effect of spacing k;
faik - the interaction of family i and spacing k;
rj(ak) - the effect of replication j within spacing k;
firj (ak) - the interaction effect of family i in replication j within each spacing k;
dijk - the effect of individual l within family i and spacing k.
Different scenarios were evaluated in each of the family evaluation experiments in the three different spacings, modifying the number of individuals in the plot from 1 to 40. For each scenario, 1000 bootstraps were performed, and each bootstrap simulated a new experiment. It should be noted that in each simulated experiment, bootstraps were performed with no replacements. With the simulated experiment, analysis of variance was performed using the fixed model, and some parameters were estimated as follows:

where:
CVe - the value of the experimental coefficient of variation;
S2 - the variance;
m - the mean of the trait;
probability value;

where:
Fc - the calculated F value;
QMG - the mean square of the genotype;
QME - the mean square of the error;
repeatability;

where:
-
the selective accuracy;
FC - the calculated F value;
the ranking between the phenotypic means of the families in the simulated experiments was compared to the ranking of the three best families obtained in the experiment with the total number of plants in the plot.
The procedure was repeated for the three spacing arrangements. All data analysis was performed using R software (11).
Results and discussion
Significant differences among families were observed in analysis of the different spacings (P < 0.05) for number of stalks, stalk height, and stalk diameter; and for stalk weight, only the 75-cm spacing showed significant differences. These results show significant genetic variability among families, which allows successful selections.
The experimental coefficient of variation (CVe) observed for all traits at the three plant spacings are low in magnitude, showing good experimental quality. Most of the CVe’s are below 10%, values indicated as low for agricultural experiments by Pimentel-Gomes (2009). Barbosa et al. (2005) and Leite et al. (2006) obtained similar values for the same traits in working with sugarcane families.
It is noteworthy that the combined analyses for all the traits analyzed showed a significant effect for the spacing and family sources of variation, but for the spacing × family interaction, only stalk height showed significant differences (Table 1).
Table 1: Combined analysis of variance considering three different spacings among the plants in the row for the following traits for sugarcane families: number of stalks, stalk height (cm), stalk diameter (cm), and stalk weight (kg).
Tabla 1: Análisis conjunto de varianza considerando tres espacios diferentes entre las plantas en la línea para el número de caracteres de los tallos, la altura de los tallos (cm), el diámetro de los tallos (cm) y el peso de los tallos (kg) para las familias de caña de azúcar.

ns : not significant; *and **: significant by the F-test at 5% and 1% probability, respectively.
ns : no significativo; *, ** Significativo por la prueba F, con 5% y 1% de probabilidad, respectivamente.
According to Ramalho et al. (2012), non-significance of interaction means that the response of families coincided in the different spacings evaluated.
The purpose of this type of experiment is first to make selection among families and then proceed with individual selection within the best families. When significant differences were detected among the families evaluated, a means clustering test was performed (25). For number of stalks, only the 100-cm spacing exhibited three distinct clusters, and it had the highest mean highest mean values were found at the 50-cm spacing. In the case of stalk diameter, all three spacings showed three distinct clusters, with the highest mean values of families for the 100-cm spacing. For stalk weight, there was no cluster formation by the Scott Knott test at 5% at the 50-cm spacing; however, at the 75-cm and 100-cm spacings, two distinct clusters were observed, and the highest mean values were observed at the 100-cm spacing. For stalk weight, which is the most important trait for sugarcane selection, the 75-cm and 100-cm spacings were the most efficient in discriminating families. The 75-cm spacing was able to discriminate the families in three distinct clusters (Table 2).
Table 2: Clustering of means for the following traits for sugarcane families: number of stalks, stalk height, stalk diameter, and stalk weight, considering combined analysis for three different spacings (cm) between the plants in the row, carried out by the Scott-Knott test at 5% probability.
Tabla 2: Agrupación de promedios para caracteres número de tallos, altura de los tallos, diámetro del tallo y peso de los tallos para familias de caña de azúcar, considerando el análisis conjunto de tres espacios diferentes entre las plantas (cm) en la línea, realizado por la prueba de Scott-Knott al 5% de probabilidad.

Means followed by the same lowercase letter in the column and by the same uppercase letter in the row constitute statistically homogeneous clusters by the Scott-Knott test (p < 0.05).
Los promedios seguidos de la misma letra minúscula en la columna y de la misma letra mayúscula en la línea constituyen un grupo estadísticamente homogéneo según la prueba de Scott-Knott (p <0,05).
It is expected that the spacing that allows formation of a larger number of distinct clusters also allows greater possibility of discriminating families.
The data indicate that the ideal spacing among plants in the row is not the same for all individual traits, since this spacing varies depending on the trait concerned. For number of stalks, the 75-cm spacing discriminated more families, whereas for stalk height, the best spacing was 50 cm. In contrast, all three spacings showed efficient discrimination for stalk diameter. Stalk weight in the stools, known as TCH (tons of cane per hectare), is estimated from the three variables mentioned above and is the basis for yield estimates in sugarcane experiments. For TCH, the 75-cm spacing was the only one that exhibited three distinct clusters by the Scott-Knott test, proving to be more suitable for evaluation of families.
In a study carried out in the state of Louisiana, USA, comparing the efficiency of sugarcane selection methods at two different spacings (41 and 82 cm between plants in the row) and 180 cm between rows, Sousa-Vieira and Milligan (2009) concluded that the 82-cm spacing was more efficient in selection for weight of stools. That result corroborates the result in this study of the 75-cm spacing between plants in the row being the most promising. It is important to emphasize that the capacity for genotype discrimination is closely related to experimental accuracy (22). According to Pedrozo et al. (2008), experiments should be as accurate as possible to permit efficient selection. However, G × E interactions will always be present, and the family selected in one year will probably not be the best in another year.
Study of parameters through bootstrapping
A simulation method by bootstrapping was used to determine the ideal sample size for representing a family in a trial plot. Since the two main traits in this study were the number of stalks per stool and stalk weight, both of them were the target traits of the simulation study.
In an attempt to aid decision making on the minimum size of the plot, the following criteria were established to guide interpretation of the graphs obtained: a) The CV should be below 10%. Pimentel-Gomes (2009) consider that CVs below 10% are low in agricultural experiments. b) A probability value (p value) should be established at the significance level of 5% - the same applies to the F-test value. c) The repeatability value should be above 80%. According to Resende (2002), these values may be considered appropriate for this parameter. d) Accuracy value should be above 80%. According to Resende (2007), for selective processes in plant breeding programs, values above 70% are considered high selective accuracy for experiments. e) The family rank values should coincide. Coincidence is obtained from comparing the rank of families in each bootstrapping scenario (1 to 39 plants) and the rank of families in total evaluation of the plot (40 plants). An acceptable coincidence value is 90% or higher.
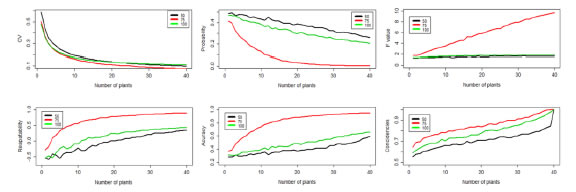
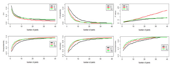
For the CV for the number of stalks trait, the desirable value (below 10%) was achieved in 16-plant samples at a 75-cm spacing, and in 31-plant samples at a 50-cm spacing. At the 100-cm spacing, the desirable CV value was only reached in the entire 40-plant sample (Figure 1).
Figure 1: Mean of data from one thousand bootstrapping for the parameters of coefficient of variation (CV), probability, repeatability, F-value, and coincidence of family rank for each sample size (number of plants) for the number of stalks trait.
Figura 1: Promedio de datos del millar de bootstrapping para los parámetros Coeficiente de variación (CV), Probabilidad, Repetibilidad, Valor F y Coincidencia de las familias para cada tamaño de muestra (número de plantas) para el número de caracteres de los tallos.
For stalk weight, the desirable value was achieved with 25 plants at the 75-cm spacing and 35 plants at the 50-cm spacing. For the 100-cm spacing, this value was only achieved with the entire 40-plant sample (Figure 2).
Figure 2: Mean of data from one thousand bootstrapping for parameters of the coefficient of variation (CV), probability, repeatability, F-value, and coincidence of family rank for each sample size (number of plants) for the stalk weight trait.
Figura 2: Promedio de datos del millar de bootstrapping para los parámetros Coeficiente de variación (CV), Probabilidad, Repetibilidad, Valor F y Coincidencia de las familias para cada tamaño de muestra (número de plantas) para el peso del carácter de los tallos.
Samples with 11 plants reached the p value of 5% significance at the 75-cm and 100-cm spacings for the number of stalks trait. At the 50-cm spacing, these p values were reached with 18 plants (Figure 1). Regarding stalk weight, 25-plant samples already achieved this p value at the 75-cm spacing; the 50-cm and 100-cm spacings did not achieve this value. This indicates the lower efficiency of these spacing to discriminate families (Figure 2).
Regarding the F-value calculated for number of stalks and stalk weight, greater increases were observed for the 75-cm spacing, due to the increase in the number of plants in the plot. For the other spacings, increases in the number of plants did not lead to substantial increases in the estimates of the F-value (Figures 1 and 2).
Repeatability values above 80% were reached with 14-plant samples for the 75-cm and 100-cm spacings and with 23-plant samples for the 50-cm spacing. Accuracy values, also considering values above 80%, were reached with 8-plant samples for the 75-cm and 100-cm spacings, and with 13-plant samples for the 50-cm spacing (Figure 1). For stalk weight, the repeatability values were reached with 30-plant samples for the 75-cm spacing. If selection were performed based on number of stalks, it would be possible to obtain high accuracy values (> 80%) with only 10 plants in the plot for the 75-cm and 100-cm spacings. It is important to emphasize that in these experiments, selection is usually performed considering the weight of stalks in the plot. For that trait, values above 80% were found at the 75-cm spacing with a minimum of 25 plants in the plot. At the 50-cm and 100-cm spacings, no high values of accuracy and repeatability were observed (Figure 2). For the number of stalks and stalk weight traits, the 50-cm spacing between plants in the row was less efficient in discriminating families.
For family rank coincidence, values above 90% were observed with samples of 8 plants at the 100-cm spacing, 10 plants at the 75-cm spacing, and 16 plants at the 50-cm spacing. Regarding stalk weight, coincidence levels above 90% were observed when more than 35 plants were used in the plot for the 75-cm spacing (Figure 2). For other spacings, the rank coincidences were always low. Mendes et al. (2014), working with eucalyptus, estimated rank coincidence above 90% and found 55 plants for plot size.
From the perspective of efficiency and accuracy of selection, the 50-cm spacing showed the least satisfactory results. When the 75-cm spacing is used, the number of plants for evaluation in the plot can be reduced from 40 to 15, without reducing the efficiency of selection. These results corroborate those obtained by Leite et al. (2009), who evaluated full-sib families of sugarcane and observed that 16 plants per plot would be enough to obtain reliable parameters for the traits under study.
Based on the results for weight of stalks in the stools (which is the most important trait since it includes all the previous traits, and recommendation of the highest yielding families is obtained from it), the minimum number of plants to be sampled that are sufficient for recommending the best families would be 30 plants for the 75-cm spacing and 35 plants for the 100-cm spacing. These would be the numbers of plants recommended to provide family rank coincidence values above 90% and accuracy values above 90% for the 75-cm spacing and above 70% for the 100-cm spacing. Leite, Peternelli, and Barbosa (2006), working with sugarcane families at a 50-cm spacing between plants and evaluating sugar content; the diameter, height, and number of stalks; and the mean weight of sugarcane stools, concluded that a sample of 16 plants per plot in a trial with six replications would be sufficient to represent the families. Espósito et al. (2012), also working with sugarcane families at a 50-cm spacing, estimated individual weights and concluded that a 30-plant sample per plot with three replications would be sufficient to indicate the best families.
In other species, such as Eucalyptus, it has already been confirmed that decreases in plot size from 100 to 25 plants does not affect accuracy of selection and experimental precision, and such decreases may reduce costs in the breeding program (17). Working with brachiaria grass, Dias et al. (2014) measured fresh biomass volume and carried out analysis through the bootstrapping method and the maximum curve of the coefficient of variation. They concluded that 3-m2 plots were enough to ensure experimental precision when half-sib progenies were used. This reduction in plot size allows genotype evaluations in a larger number of places so the genotype × environment (GE) interaction can be more effectively determined. Gilbert et al. (2006) and Bernardo (2010) defended reduction in plot size and a larger number of sites and also observed the need for continuous evaluation of genotypes in several places in both the early steps and final steps of breeding programs.
From all these results and considering selective accuracy as the guiding parameter for decision making, the highest values obtained considering the number of stalks and weight of stalks in the stools were found at the 75-cm spacing. Comparing the bootstrapping results with those obtained in combined analysis of the three spacings, the 75-cm spacing had the highest power of discrimination among families, indicating that this spacing is the most efficient in evaluating sugarcane families for selection purposes. Souza-Vieira and Milligan (2009) argued that higher selection efficiency would be obtained when making use of larger spaces between plants, rather than more consolidated experiments. Those results are in accordance with the results of this study, where a less consolidated plant arrangement exhibited better capacity for discriminating families.
Conclusions
Considering the means test, the 75-cm and 100-cm spacings best discriminated the families for stool weight, the most important variable for indicating yield of families.
Considering the bootstrapping results and the 75-cm spacing, a 30-plant sample with three replications is enough to determine the family value.
Acknowledgments
Our thanks to the Fundação de Amparo à Pesquisa do Estado de Minas Gerais (FAPEMIG), to the Conselho Nacional de Desenvolvimento Científico e Tecnológico (CNPq), and to the Coordenação de Aperfeiçoamento de Pessoal de Nível Superior (CAPES).
1. Barbosa, M. H. P.; Peternelli, L. A.; Silveira, L. C. I. da. 2001. Plot size in sugarcane family selection experiments. Crop Breeding and Applied Biotechnology. Viçosa. Brazil. 1(3): 271-276. http://dx.doi.org/10.13082/1984-7033.v01n03a07
2. Barbosa, M. H. P.; Resende, M. D. V.; Bressiani, J. A.; Silveira, L. C. I; Peternelli, L. A. 2005. Selection of sugarcane families and parents by REML/BLUP. Crop Breeding and Applied Biotechnology . Viçosa. Brazil. 5: 443-450. http://dx.doi.org/10.12702/1984-7033.v05n04a10
3. Bernardo, R. 2010. 2° ed. Breeding for quantitative traits in plants. Woodbury. Stemma. 390 p.
4. Chang, Y. S.; Milligan, S. B. 1992. Estimating the potential of sugarcane families to produce elite genotypes using univariate cross prediction methods. Theoretical and Applied Genetics. Germany. 84(5-6): 662-671. http://dx.doi.org/10.1007/BF00224166
5. Cox, M. C.; Mcrae, T. A.; Bull, J. K.; Hogarth, D. M. 1996. Family selection improves the efficiency and effectiveness of sugar cane improvement program. In: Wilson, J. R.; Hogarth, D. M.; Campbell, J. A.; Garside, A. L. (Ed.). Sugar cane: research towards efficient and sustainable production. Brisbane: CSIRO Divison of Tropical Crops and Pasture. 42-43.
6. Dias, K. O. G.; Gonçalves, F. M. A.; Sobrinho, F. S.; Nunes, J. A. R.; Teixeira, D. H. L.; Moraes, B. F. X.; Benites, F. R. G. 2014. Tamanho de parcela e efeito de bordadura no melhoramento de Urochloa ruziziensis. Pesquisa Agropecuária Brasileira. Brasília. Brazil. 48(11): 1426-1431. http://dx.doi.org/10.1590/S0100-204X2013001100002
7. Durner, E. F. 1989. OPS: a computer program for estimating optimum plot size for field research. Hortscience. USA. 24(6): 1040.
8. Dutra Filho, J. de A.; Souto, L. S.; de Luna, R. G.; Souza, A. dos S.; Silva, F. G.; Silva, F. A. C.; Simões Neto, D. E.; Calsa Júnior, T. (en prensa). Mixed modeling for fiber yield genetic selection in sugarcane (Saccharum officinarum). Revista de la Facultad de Ciencias Agrarias. Universidad Nacional de Cuyo. Mendoza. Argentina.
9. Espósito, D. P.; Peternelli, L. A.; Paula T. O. M.; Barbosa, M. H. P. 2012. Análise de trilha usando valores fenotípicos e genotípicos para componentes do rendimento na seleção de famílias de canade-açúcar. Ciência Rural. Santa Maria. Brazil. 42(1): 38-44.
10. Gilbert, R. A.; Shine Jr., J. M.; Miller, J. D.; Rice, R. W.; Rainbolt, C. R. 2006. The effect of genotype, environment and time of harvest on sugarcane yields in Florida, USA. Field Crops Research. Netherlands. 95(2-3): 156-170. http://dx.doi.org/10.1016/j.fcr.2005.02.006
11. Ihaka, R.; Gentleman, R. 1996. R: a language for data analysis and graphics. Journal of Computational and Graphical Statistics. 5(3): 299-314.
12. Jackson, P.; Mcrae, T. A. 2001. Selection of sugarcane clones in small plots. Crop Science. Madison. USA. 41(2): 315-322. http://dx.doi.org/10.2135/cropsci2001.412315x
13. Kimbeng, C. A.; Cox, M. C. 2003. Early generation selection of sugarcane families and clones in Australia: a review. American Society of Sugar Cane Technologists. 23: 20-39.
14. Leite, M. S. O.; Peternelli, L. A.; Barbosa, M. H. P. 2006. Effects of plot size on the estimation of genetic parameters in sugarcane families. Crop Breeding and Applied Biotechnology. 6(1): 40-46. http://dx.doi.org/10.12702/1984-7033.v06n01a06
15. Leite, M. S. O.; Peternelli, L. A.; Barbosa, M. H. P; Cecon, P. R.; Cruz, C. D. 2009. Sample size for full-sib family evaluation in sugarcane. Pesquisa Agropecuária Brasileira. 44(12): 1562-1574. http://dx.doi.org/10.1590/S0100-204X2009001200002
16. Matsuoka, S.; Garcia, A. A. F.; Arizono, H. 2005. Melhoramento da cana-de-açúcar. In: Borém, A. (Ed.). Melhoramento de espécies cultivadas. Editora UFV. 205-251.
17. Mendes, M. H. S.; Rosse, L. N.; Toledo, F. H. R. B; Ramalho, M. A. P. 2014. Experimental strategies for clonal eucalyptus. Silvae Genetica. Braunschweig. 63(1-2): 32-38. https://doi. org/10.1515/sg-2014-0005
18. Oliveira de Souza, N.; Silva Alves, R.; Teodoro, P. E.; Silva, L. A.; Dessaune Tardin, F.; Baldoni Tardin, A.; Vilela de Resende, M. D.; Lopes Bhering, L. 2019. Single- and multiple-trait BLUP in genetic selection of parents and hybrids of grain sorghum. Revista de la Facultad de Ciencias Agrarias. Universidad Nacional de Cuyo. Mendoza. Argentina. 51(2): 1-12.
19. Pedrozo, C. A.; Barbosa, M. H. P.; Resende M. D. V.; Peternelli, L. A.; Costa, P. M. A.; Silva, F. L. 2008. Eficiência da seleção em fases iniciais do melhoramento da cana-de-açúcar. Revista Ceres. Viçosa. Brazil. 55(1): 1-8.
20. Pimentel-Gomes, F. 2009. 15ª ed. Curso de estatística experimental. Piracicaba. FEALQ. 451 p.
21. Pocovi, M. I.; Collavino, N. G.; Gutiérrez, Ángela; Taboada, G.; Castillo, V.; Delgado, R.; Mariotti, J. A. 2020. Molecular versus morphological markers to describe variability in sugar cane (Saccharum officinarum) for germplasm management and conservation. Revista de la Facultad de Ciencias Agrarias. Universidad Nacional de Cuyo. Mendoza. Argentina. 52(1): 40-60.
22. Ramalho, M. A. P.; Ferreira, D. F.; Oliveira, A. C. 2012. 3° ed. Experimentação em genética e melhoramento de plantas. Lavras. Editora Ufla. 300 p.
23. Resende, M. D. V. 2002. Genética biométrica e estatística no melhoramento de plantas perenes. EMBRAPA Informação Tecnológica. 975 p.
24. Resende, M. D. V. 2007. Selegen-Reml/Blup: sistema estatístico e seleção genética computadorizada via modelos lineares mistos. Colombo. EMBRAPA Florestas. 359 p.
25. Scott, A. J.; Knot, M. 1974. A cluster analysis method for grouping means in the analysis of variance. Biometrics. 30(3): 507-512.
26. Sousa-Vieira, D.; Milligan, S. B. 2009. Efecto de la distância entre plantas en la eficiencia en la selección de familias de caña de azúcar: Indices de selección. Interciencia. 34(12): 893-896.
27. Stringer, J. K.; Cox, M. C.; Atkin, F. C.; Wei, X.; Hogarth, D. M. 2011. Family Selection Improves the Efficiency and Effectiveness of Selecting Original Seedlings and Parents. Sugar Tech. 13(1): 36-41. http://dx.doi.org/10.1007/s12355-011-0073-5.