ORIGINAL ARTICLE
Agro-economic viability from two croppings of broadleaf vegetables intercropped with beet fertilized with roostertree in different population densities
Viabilidad agroeconómica de dos cultivos de hortalizas de hoja ancha intercalados con remolacha y fertilizados con roostertree en diferentes densidades de población
Francisco Cicupira de Andrade Filho 1, Eliane Queiroga de Oliveira 1, Jailma Suerda Silva de Lima 2, Joserlan Nonato Moreira 1, Ítalo Nunes Silva 2, Hamurábi Anizio Lins 2, Arthur Bernardes Cecílio Filho 3, Aurélio Paes Barros Júnior 2, Francisco Bezerra Neto 2
1 Instituto Federal de Educação. Ciência e Tecnologia. Sousa. Paraiba. Brazil.
2 Centro de Ciências Agrárias. Departamento de Ciências Agronômicas e Florestais. Universidade Federal Rural do Semi-Árido. Mossoró. Rio Grande do Norte. Brazil. Av. Francisco Mota 572. Costa e Silva. Caixa-postal: 137. CEP: 59625-900. Mossoró. RN. Brazil. aurelio.barros@ufersa.edu.br
3 Departamento de Produção Vegetal. Universidade Estadual Paulista Júlio de Mesquita Filho. Jaboticabal. São Paulo. Brazil.
Originales: Recepción: 23/08/2018 - Aceptación: 12/03/2019
ABSTRACT
The objective of this study was to evaluate the sustainability and agro-economic viability from two croppings of coriander (C) and two of arugula (A) intercropped with beet (B) as a function of roostertree additions to the soil in different population densities. The experimental design was a randomized complete block, with treatments arranged in a 4 x 4 factorial scheme with four replications. The treatments resulted from the combination of four amounts of roostertree biomass (6, 19, 32 and 45 t ha-1 on dry basis) with four population densities of coriander, beet and arugula (20C-50B-20A%, 30C-50B-30A%, 40C-50B-40 A % and 50C-50B-50A% of the recommended densities in their single crops). The maximum agronomic efficiency of the polyculture of coriander, beet and arugula was obtained with the density of 40C-50B-40A and the amount of 19 t ha-1 roostertree biomass incorporated into the soil. The highest profitability of the polyculture was obtained with the density of 20C-50B-20A (%) and the amount of 45 t ha-1 of this green manure. High agro-economic efficiency can be obtained by cultivating the polyculture of coriander, beet and arugula when well-manageding the factors of production, fertilization with roostertree and population densities.
Keywords: Coriandrum sativum; Beta vulgaris; Eruca sativa; Calotropis procera; Polyculture; Agronomic and economic viability; Arugula
RESUMEN
El objetivo de este estudio fue evaluar la sostenibilidad y la viabilidad agroeconómica de dos cultivos de cilantro (C) y dos de rúcula (A) intercalados con remolacha (B) en función de las cantidades de diferentes densidades de población de roostertree añadidas al suelo. El diseño experimental fue un bloque completo aleatorizado, con tratamientos dispuestos en un esquema factorial de 4 x 4 con cuatro repeticiones. Los tratamientos fueron el resultado de la combinación de cuatro cantidades de biomasa de roostertree (6, 19, 32 y 45 t ha-1 en base seca) con cuatro densidades de población de cilantro, remolacha y rúcula (20C-50B-20A%, 30C-50B-30A%, 40C-50B-40 A % y 50C-50B-50A% de las densidades recomendadas en sus cultivos individuales). La máxima eficiencia agronómica del policultivo de cilantro, remolacha y rúcula se obtuvo con la densidad de 40C-50B-40A en la cantidad de 19 t ha-1 de biomasa de roostertree incorporada al suelo. La mayor rentabilidad del policultivo se alcanzó a la densidad de 20C-50B-20 (%) y la cantidad de 45 t ha-1 de este abono verde. Se puede obtener una alta eficiencia agro-económica cultivando el policultivo de cilantro, remolacha y rúcula cuando se manejan bien los factores de producción, la fertilización con roostertree y las densidades.
Palabras clave: Coriandrum sativum; Beta vulgaris; Eruca sativa; Calotropis procera; Policultivo; Viabilidad agronómica y económica; Rúcula
INTRODUCTION
The demand for healthy and quality products is increasing every day. Thus, the concerns cannot only be limited to the crop productivity and quality of production sought, but also to how it will be achieved. Therefore, there is a need for adaptation of agronomic practices and their economic evaluations, which will guarantee such requirements (5).
The intercropping systems are presented as viable alternatives, although they already are traditional practices present in Brazilian agriculture and applied mainly to in family-based rural properties. Characterized by the planting of two or more crops, in the same space and time, these technologies use little external inputs and strongly influence productivity, since they provide a better use of the environmental resources and the interaction between the system's component crops (1). Proper management of production factors such as fertilization and population densities of the component crops, can reduce competition for environmental resources and increase crop and system productivity (19).
As cultivation of vegetables requires is notable for its intense management, leading to considerable environmental impacts, it can be said that this agricultural segment can benefit from the use of these practices, with the possibility of locating the olericulture within the context of more sustainable agriculture and for small producers that act with extreme difficulties in the sector (18, 24).
In Brazil, these systems have received increasing attention from researchers. Increasing use and efficiency in the production of broadleaf, tuberous vegetables has provided positive with regards to the agricultural sustainability indicators (4).
However, polycultures from the broadleaf crops coriander and arugula intercropped with beet have been practiced in the Brazilian semi-arid region given that they are economically valuable crop that offer healthy products for northeastern consumers. The obtention of efficiency and productivity with the best combination of these crops in polyculture system, should meet the demand in the region. It is known, however, that the efficiency of these cropping systems is conditioned by a series of important factors of production, with emphasis on crop types, population densities, spatial arrangements, spacing, and fertilization, among others.
Efficiency of these intercropping systems can be evaluated through different methods. One of the most used is the amount of food produced per unit area, considered of greatest interest for the small farmers, the main users of the system. Another evaluation considers the generated profit, through economic analysis. Researchers usually use the land equivalent ratio (LER) and more recently, the productive efficiency index of intercropping systems through Data Envelopment Analysis (DEA), incorporating biological and economic advantages of the intercropped systems (11).
Studying the multiple cultivation of arugula (A), carrot (C) and coriander (Co) fertilized with different amounts of hairy woodrose and population densities, Oliveira et al. (2017) observed that the most productive agroeconomic performance of the system was obtained with a quantity of biomass of 18.21 t ha-1 of hairy woodrose incorporated in the soil and in the population density of 50A-50C-50Co (%) of the RDSC.
On the other hand, Oliveira et al. (2015) investigating the viability of the multiple cropping of arugula, carrot and lettuce fertilized with different amounts of roostertree in different proportions, observed that the best agronomic performance of this multiple cropping was recorded with the amount of 55 t ha-1 of roostertree incorporated into the soil. The proportion of population density of these three vegetables of 50A-50C-50L (%) of RDSC was that that provided the greatest agronomic viability of the multiple cropping systems.
Aiming to contribute with information on viable and sustainable technologies for the production of coriander, beet and arugula vegetable crops in multiple crop system, this work had the objective of evaluating the agro-economic performance of coriander and arugula intercropped with beet as a function of fertilization with roostertree biomass at different population densities in semi-arid environment.
MATERIALS AND METHODS
The experiment was conducted at the Experimental Farm ‘Rafael Fernandes’, belonging to the Universidade Federal Rural do Semi-Árido (UFERSA), located in the Alagoinha district, a rural area of Mossoró-RN (5° 03' 37" S and 37° 23' 50" W Gr) June to November 2011. According to Thornthwaite, the local climate is BShw, i.e. semi-arid (2). During the experimental period, the values of average temperature was 27 °C; minimum of 25 °C; maximum of 31°C; relative humidity of 66 %; radiation of 918 kJ m-2; rainfall of 0 mm; atmospheric pressure of 1011 h Pa and temperature of dew point of 19 °C.
The soil of the experimental area was classified as Oxisol dystrophic argisolic (7). In this area, soil samples were collected at a depth of 0-20 cm and then sent to the Water Analysis Laboratory, Soils and Plants of the EMBRAPA-PE for analysis, yielding the following results: pH = 7.7; organic matter = 4.34 g kg-1; E.C. = 2.81 dS m-1; P = 3.0 mg dm-3; K+ = 0.016 cmolc dm-3; Ca+2 = 3.54 cmolc dm-3; Mg+2 = 1.05 cmolc dm-3 and Na = 0.029 cmolc dm-3.
The experimental design was a randomized complete block, with treatments arranged in a 4 x 4 factorial scheme with four replications. The treatments resulted from the combination of four amounts of roostertree biomass (6, 19, 32 and 45 t ha-1 on dry basis) added to the soil with four population densities of coriander (Coriandrum sativum), beet (Beta vulgaris), and arugula (Eruca sativa) of 20C-50B-20A%, 30C-50B-30A%, 40C-50B-40 A % and 50C-50B-50A% of the recommended densities in their single crops – RDSC.
The preparation of the soil consisted of manual cleaning of the area with the aid of a hoe, followed by harrowing and rising of beds. Pre-planting solarization with transparent plastic, type Vulcabrilho Bril Fles 30 microns for 45 days was done in order to reduce soil phytopathogens and the possible appearance of damping off, which would affect crop productivity.
Roostertree (Calotropis procera) was collected from native vegetation of areas of the rural zone of the municipality of Sousa-Paraiba, Brazil. They were crushed into pieces of two to three centimeters and left to dry at room temperature until they reached the point of hay, being stored with a moisture content of 10%. Nutient content was quantified with randomly chosen samples. The obtained chemical composition was: N = 29.58 g kg-1; P = 4.08 g kg-1; K = 50.09 g kg-1; Ca = 16.55 g kg-1; Mg = 9.50 g kg-1, S = 4.39 g kg-1; Fe = 700 mg kg-1; Zn = 44 mg kg-1; Cu = 13 mg kg-1; Mn = 220 mg kg-1, B = 56.49 mg kg-1; Na = 995.13 mg kg-1 and a C:N ratio = 16: 1.
Intercropping was established in alternating strips of coriander and arugula between the beet strips in the of 50% area occupied by beet, 25% by coriander and 25% by arugula. Each plot consisted of four strips of four rows each: a strip of broadleaf, a strip of beet, a strip of other broadleaf and a strip of beet, flanked in the side of the first strip with a strip of beet and in the other side flanked by an arugula strip, used as borders. The total area of the plot was 4.80 m2, with a harvest area of 3.20 m2. The spacing and number of broadleaf plants in the plots varied according to the population densities studied. The population densities used in single crop in the region are 500,000 plants per hectare for beet (27) and 1,000,000 plants per hectare for coriander and arugula (10, 14).
The experimental plots were fertilized with the respective quantities of roostertree studied, and 50% of the quantities for each plot were incorporated 16 days before planting the crops in the intercropping (15). The remaining 50% were incorporated 40 days after sowing (26). After the incorporation of roostertree to the soil, daily irrigations were carried out in two shifts with the purpose of favoring the microbial activity of the soil in the decomposition process.
The vegetable cultivars were Verdão, Early Wonder and Cultivada. The sowing of the component crop was performed on August 25 and 26, 2011, in holes of approximately three centimeters deep, placing three to four seeds per hole. Roughing of arugula and beet was made 11 days after the planting, leaving only two plants per hole for arugula and one for beet. Coriander thinning was done 14 days after sowing, leaving two plants per hole.
During the conduction of the experiment, weed control was manually. Harvesting of arugula and coriander occurred on September 26 and 28, 2011, respectively.
The second cropping of coriander and arugula was performed on October 18, 2011, with the same procedures of the first cultivation as marking, sowing, adding coconut substrate on the rows and providing first irrigation. In the following week, some seeds were replanted and 12 to 14 days after sowing, arugula and coriander were thinned, leaving two plants per hole. Beet was harvested on November 08, 2011.
In addition to the green mass yields of coriander (Yc) and arugula (Ya) and the commercial productivity of beet roots (Yb), the following agronomic and economic indices were evaluated in the polycultures:
a) Score of the canonical variable (Z) - Obtained from the multivariate analysis of the green mass yields of coriander and arugula and commercial productivity of beet roots.
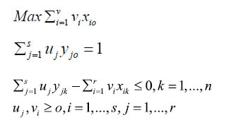
b) Productive efficiency index (PEI) – It was obtained from the Data Envelopment Analysis (DEA) model (22) with constant returns to the scale (29), since there was no significant difference in the scales. This model has a mathematical formulation Xik: is the input i value (i = 1, ..., s) for treatment k (k = 1, ..., n); Yjk: is the output j value (j = 1, ..., r), for treatment k; vi and uj: are weights assigned to inputs and outputs, respectively; and O: is the treatment being analyzed.

The evaluation units were each treatment, from a total of sixteen resulting from the combination of four roostertree biomass amounts incorporated to the soil and four populations densities of the component crops. The outputs were the green mass yields of coriander and arugula (sum of the first and the second harvest), and the commercial productivity of beet roots. To evaluate yield of each plot, it was assumed that each plot utilized a single resource with a unitary level, following a similar approach to that used by Soares de Melo and Gomes (2004), since the outputs incorporated the possible inputs.
In the modeling of this study, the profit margin (index described in the following item) was used as input.
c) Gross Income (GI) - It was obtained through the value of the production per hectare, based by the price paid to producers in the region in December 2011. For coriander, the paidprice was R$ 6.25 kg-1, R$ 1.50 kg-1 for beet and R$ 4.60 kg-1 for arugula.
d) Total costs (TC) production – Calculated after Silva et al. (2015). The production total costs were calculated at the end of the productive process in December 2011, based on total expenditure per hectare of cultivated area, covering the services provided by stable capital, i.e., the contribution of current capital and the value of alternative costs or opportunities.
e) Net income (NI) - Obtained from the difference between gross income (GI) and total costs (TC).
f) Return Rate (RR) - Calculated from the ratio between gross income and total costs. It reveals how many reals are obtained in return for every real invested in the evaluated intercropping system.
g) Profit margin (PM) - It was obtained by the ratio between net income (NI) and gross income (GI), expressed as a percentage.
Univariate analyses of variance were performed on agronomic and economic indices of polycultures using the statistical package SISVAR (9) for the randomized complete block design with treatments arranged in factorial scheme. Tukey's test at 5% probability was used to compare the averages between the population densities of vegetable crops. A fitting procedure of response curves was performed in each index as a function of roostertree amounts incorporated into the soil through Table Curve package (6).
RESULTS
Agronomic indices
Significant interactions between the amounts of roostertree biomass added to soil and population densities of the component crops were observed in the vectors of coriander and arugula yields and beet root productivity, by the Wilks criterion (table 1, page 216).
Table 1. Multivariate variance analysis of the coriander and arugula yields and commercial productivity of beet roots, eigenvalues, and vectors associated with significant effect of the interaction between roostertree biomass amounts incorporated into the soil and the population densities, and discriminant function of the Z canonical variable.
Tabla 1. Análisis de varianza multivariado de los rendimientos de cilantro y rúcula y productividad comercial de raíces de remolacha, valores propios y vectores asociados con el efecto significativo de la interacción entre las cantidades de biomasa de roostertree incorporadas en el suelo, las densidades de población, y la función discriminante de la variable canónica Z.

By examining the eigenvalues and vectors associated with the significant effects of the interaction (A x D), it was observed that 87.83% of the total variance was explained by the linear combination of X1 given the first eigenvalue. This result was different from those obtained by Porto et al. (2011) in a polyculture of lettuce, carrot and arugula conducted in the same region. The linear combination was dominated entirely by X1 (Ya = arugula yield), where in terms of relative importance to the linear combination of variable X1 was about 2.18 times more efficient than variable X2 and 500 times more efficient than variable X3 (table 1, page 216).
The discriminant function or canonical variable obtained from crop yields was Z = 0.458 Yc + 0.012 Yb + 0.751 Ya (table 1, page 216). This equation obtained the scores of each treatment, which subsequently, were then submitted to the univariate analysis of variance. From this analysis, it was found that, by partitioning the amounts of roostertree biomass within each population density, the scores of the canonical variable of the densities of 40C-50B-40 A and 50C-50B-50A, increased with increasing amounts of roostertree biomass until maximum values of 7.11 and 5.49 in the green manure amounts of 13.02 and 20.09 t ha-1, decreasing up to the highest amount of manure (45 t ha-1) incorporated into the soil. There was no adjustment of response function for the scores of the canonical variable in the population densities of 20C-50B-20A and 30C-50B-30A (figure 1, page 217).
Figure 1. Score of the canonical variable Z as a function of the amounts of roostertree biomass for the population densities.
Figura 1. Puntuación de la variable canónica Z en función de las cantidades de biomasa de roostertree para las densidades de población.
On the other hand, by partitioning the population density interaction within each amount of the green manure, it was observed that the scores of the canonical variable Z in the population densities of 40C-50B-40 A and 50C-50B-50A stood out from scores of the densities of 20C-50B-20A and 30C-50B-30A with 6 t ha-1 of added roostertree biomass. The population density score of 40C-50B-40 A overcame the other scores of the densities of 20C-50B-20A, 30C-50B-30A and 50C-50B-50A in the amounts of 19 and 45 t ha-1 of roostertree biomass and the population density score of 50C-50B-50A outperformed the scores of the densities of 20C-50B-20A, 30C-50B-30A and 40C-50B-40A with 32 t ha-1 of the incorporated green manure (figure 1, page 217).
There was a significant interaction between the different population densities of the component crops and the amounts of roostertree biomass added to the soil in the productive efficiency index (PEI). Partitioning the amount of roostertree, within each population density, it was observed that in the population density of 40C-50B-40A there was an increase of the PEI with the increasing amounts of green manure incorporated up to the maximum value of 1.00 with 12.87 t ha-1. No response function adjustment for PEI was observed for densities of 20C-50B-20A, 30C-50B-30A and 50C-50B-50A (figure 2, page 217).
Figure 2. Productive efficiency index as a function of the amounts of roostertree biomass for the population densities.
Figura 2. Índice de eficiencia productiva en función de las cantidades de biomasa de roostertree para las densidades de población.
Partitioning the population densities within each amount, it was recorded that the PEI in the density of 50C-50B-50A stood out significantly from the others within the amounts of 6 and 45 t ha-1 roostertree biomass, while this index in the densities of 40C-50B-40A and 50C-50B-50A stood out from the densities of 20C-50B-20A and 30C-50B-30A in the amounts of 19 and 32 t ha-1 of the green manure added to the soil. The highest productive efficiency index (1.00) was obtained in the density of 50C-50B-50A with 19 t ha-1 of roostertree biomass (figure 2, page 217).
Economic indicators
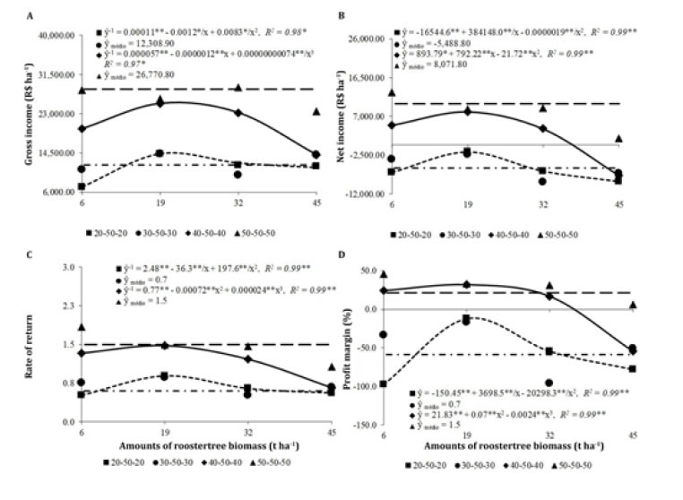
A significant interaction was also found between the different combinations of population densities of the component crops and the amounts of roostertree added to the soil in the gross income (GI), net income (NI), rate of return (RR) and profit margin (PM) (figure 3).
Figure 3. Gross income (A), net income (B), rate of return (C) and profit margin (D) of the coriander, beet and arugula polyculture as a function of the amounts of roostertree biomass and population densities.
Figura 3. Ingreso bruto (A), ingreso neto (B), tasa de rendimiento (C) y margen de ganancia (D) del policultivo de cilantro, remolacha y rúcula en función de las cantidades de biomasa de roostertree y densidades poblacionales.
By partitioning the roostertree biomass amount within each population density, increases in the GI, NI, RR and PM values were observed in the densities of 20C-50B-20A and 50C-50B-50A . It was observed, with the increasing amounts of roostertree until the maximum values of R$ 28,962.60 and R$ 23,448.98 ha-1; R$ 13,482.67 and R$ 975.40 ha-1; 1.89 and 1.05, and 45.40 and 3.36%, in the amounts of 13.60 and 23.39 t ha-1; 10.16 and 18.23 t ha-1; 10.88 and 19.91 t ha-1, and 10.97 and 19.91 t ha-1, respectively. Then decreased up to the greatest amount of green manure added to the soil. For the above mentioned indices, no adjustments of response functions were observed in the population densities of 30C-50B-30A and 40C-50B-40A (figure 3, page 218).
On the other hand, after partitioning the population densities of the component crops within each amount of roostertree biomass incorporated into the soil, it was recorded that the gross income in the densities of 30C-50B-30A, 40C-50B-40A and 50C-50B-50A stood out from that density of 20C-50B-20A in the roostertree amounts of 6 and 19 t ha-1. Whit the amount of 32 t ha-1 of roostertree, GI in the densities of 30C-50B-30A and 40C-50B-40A stood out from that of the densities of 20C-50B-20A and 50C-50B-50A . With the amount of 45 t ha 20C-50B-20A of the green manure, there were no significant differences in the gross income between population densities within each amount of roostertree added to the soil (table 2 , page 220).
Table 2. Mean values of gross income (GI), net income (NI), rate of return (RR) and profit margin (PM) of the coriander, beet and arugula polyculture as a function of different amounts of roostertree biomass added to the soil and population densities.
Tabla 2 . Valores medios del ingreso bruto (IG), el ingreso neto (NI), la tasa de rendimiento (RR) y margen de ganancia (PM) del policultivo de cilantro, remolacha y rúcula en función de las diferentes cantidades de biomasa de roostertree añadido al suelo y las densidades de población.

The net income in the density of 30C-50B-30A stood out significantly from the densities of 20C-50B-20A, 40C-50B-40A and 50C-50B-50A in the amounts of 6, 19 and 32 t ha-1 of roostertree biomass, even when expressing negatively in the amounts of 6 and 19 t ha-1 of roostertree added to the soil. Whith 45 t ha-1 of the green manure, NI in the density of 20C-50B-20A outperformed with respect to the population densities of 30C-50B-30A , 40C-50B-40A and 50C-50B-50A (table 2 , page 220).
The rate of return of the density of 30C-50B-30A stood out from the densities of 20C-50B-20A, 40C-50B-40A and 50C-50B-50A in the amounts 6, 19 and 32 t ha-1 of roostertree biomass. For 45 t ha-1, this rate of return in the density of 20C-50B-20A outperformed that of the densities of 30C-50B-30A, 40C-50B-40A and 50C-50B-50A (table 2 , page 220).
There was no profit margin between the population densities studied in the amounts of roostertree of 6 and 19 t ha-1 incorporated into the soil. With 32 t ha-1 of the green manure, this profit margin was expressed in the population densities of 20C-50B-20A, 30C-50B-30A and 40C-50B-40A outperforming the density of 50C-50B-50A. Finally, the highest profitability was achieved in the population density of 20C-50B-20A with 45 t ha-1 roostertree biomass added to the soil (table 2 , page 220).
DISCUSSION
Agronomic/biological efficiency
Efficiency of an intercropping system depends directly on the management and crops involved (23). Thus, the appropriate management of factors of production, such as fertilization, population density, planting spatial arrangement, among others, can reduce the competition between the component crops by environmental resources and increase the efficiency of the system in agronomic and economic terms. This increase in efficiency is due to the ecological and economic benefits of the complementarity of the species involved, increasing the production of the intercropping when compared to monocultures, or to the chemical, physical and biological enrichment of the soil that improve root exploration (3, 12).
The results of the significant interaction recorded in this research between the amounts of roostertree added to the soil and the population densities of the component crops in the canonical variable score and in the productive efficiency index show that the levels of one factor behaved differently within each level of the other factor, thus revealing that there are more productive and agronomically efficient intercropping systems with high quality products. These results for the polyculture of coriander, beet and arugula in terms of agronomic efficiency are explained by better use of environmental resources in the density of 40C-50B-40A with the amount of 19 t ha-1 roostertree biomass, not observing the negative influence of competition for water and nutrients to the plants. This means that when we combine production factors such as population density of the component crops and fertilizer doses in polyculture, it is possible to obtain satisfactory and viable results in terms of production and agronomic efficiency, making it easier for farmers to practice this type of cultivation.
Given this, it is up to us to select the agronomically most productive systems. Working with the polyculture of arugula, carrot and lettuce, Oliveira et al. (2015) did not obtain significant interaction in the agronomic variables evaluated but recorded that the intercropped system of better agronomic efficiency of the polyculture was that obtained with the amount of 55 t ha-1 of roostertree added to the soil and in the population density of 50C-50B-50A (%) of the RDSC. This result differed from that obtained in this research, where the best productive efficiency index of the polyculture was reached with 14.23 t ha-1 of roostertree incorporated into the soil in the population density of 40C-50B-40A (%) of the RDSC. This difference in results is due to the types of polycultures used, being stem vegetables more efficient than broadleaf vegetables and beet, where the benefits of complementarity between the species occur more efficiently (19).
The organic fertilizer to be decomposed, besides providing nutrients, stimulating root growth and increasing absorption after humification, becomes a main source of negative loads in the soils increasing cation retention and allowing greater absorption of nutrients by plants (16).
In addition, it also has high soil buffering power, i.e., the higher the content of organic matter humidified in the soil, the greater its resistance to the sudden change in pH of the medium. One of the main characteristics related to the quality of an organic fertilizer for soil is its C/N ratio, controlling the availability of nutrients to plants (13).
When used in an adequate quantity, the organic matter immediately reduces the apparent density of the fertilized layer and promotes the aggregation of particles, giving the soil favorable conditions of aeration and friability, increasing its water retention capacity (17). The increase in water retention may be related to the decrease in density and increase in total porosity and change in aggregate size distribution, which may change the pore size distribution (8).
It is known that population densities have been used in intercropped systems of cultivated species, and their use in vegetable crops has been increasing. With the proper management of this production factor, it is possible to increase the efficiency in the use of fertilizer and available resources (water, light and nutrients), consequently increasing crop productivity and agronomic efficiency in the association of crops.
The overall density of the intercrops and the relative proportions of the component crops are important in determining yield and production efficiency of these systems. When components are present in approximately equal numbers, productivity and efficiency appear to be determined by the most aggressive culture in the intercropping (30).
In the case of this research the most aggressive crop was beet. In agronomic terms, the best productive performance of the polyculture of cori- ander, beet and arugula was reached at the density of 40C-50B-40A of the RDSC with 19 t ha-1 roostertree biomass incorporated into the soil.
Economic efficiency
One of the questions that arise when working with vegetable crop polycultures is whether the productive or agronomic performance of the intercropping systems evaluated is translated in terms of economic efficiency. This is not an easy question to answer, since polyculture systems with vegetables are complex and depend on a number of factors, such as the crops involved, type and quality of products produced, prices of products, indicators and indices used in economic evaluation, among others.
Based on the partitioning of the interaction between the amounts of roostertree biomass added to the soil and the population densities evaluated in the polyculture of coriander, beet and arugula, it can be verified that the best agronomic/ biological efficiency of the polyculture was reached with the density of 40C-50B-40A of the RDSC and the incorporation of 19 t ha-1 of roostertree biomass into the soil, while the best economic efficiency of the polyculture was obtained with the density of 20C-50B-20A and 45 t ha-1 of this green manure. These results lead producer choose whether to use a high population with intercropped systems fertilized with a low roostertree amount or a low population with a high roostertree amount.
The indicators chosen to express economic efficiency of the polyculture of coriander, beet, and arugula in this research were the net income and profit margin, which are strongly dependent on the total cost of production of each treatment and on the product prices coming from each treatment.
The net income is one of the indicators that best expresses the economic value of an intercropping system when compared to gross income, because the total costs of production are deducted. The expenses that most affect these costs of production are those with inputs, labor, maintenance and conservation of facilities and equipment. If these intercropping systems are run by family farmers, where the workforce in the production of crops is carried out by the family itself, this means that the expenditure of this labor force would become an extra profit for the farmer and the intercropped production systems would increase their economic efficiency. When production factors like fertilization and population density in polyculture of broadleaf and tuberous crops are well managed, family farmers can benefit from efficient production systems with high quality products for the market. These indexes allow the producer to visualize the best technology for the coriander, beet and arugula production process, in terms of agro- economic efficiency.
Cultivating a polyculture of arugula, carrot and lettuce in semi-arid region, Oliveira et al. (2017) obtained agroeconomic efficiency using a high population density of 50A-50C-50L (%) of the RDSC and a low roostertree amount of 25 t ha-1 incorporated into the soil. This result is close to the obtained agronomic efficiency of the polyculture of coriander, beet and arugula of this research. In view of this, one can observe agroeconomic advantage in cultivating polycultures among broadleaf and tuberous crops in semi-arid environment.
CONCLUSIONS
The maximum agronomic efficiency of the polyculture of coriander, beet and arugula was obtained with the density of 40C-50B-40A with of 19 t ha-1 roostertree biomass incorporated into the soil. The maximum economic efficiency of the polyculture of coriander, beet and arugula was reached with the density of 20C-50B-20A with the amount of 45 t ha-1 roostertree biomass added to the soil. High agroeconomic efficiency can be obtained by cultivating the polyculture of coriander, beet and arugula by well managing production, fertilization with roostertree and population densities among the component crops. This cropping system should be recommended to family farmers who produce leafy and tuberous vegetable crops in a sustainable way in semi-arid environment.
1. Almeida, A. E. S.; Bezerra Neto, F.; Costa, L. R.; Silva, M. L.; Lima, J. S. S.; Barros Júnior, A. P. 2015. Eficiência agronômica do consórcio alface-rúcula fertilizado com flor-de-seda. Revista Caatinga. 28(3): 79-85.
2. Alvares, C. A.; Stape, J. L.; Sentelhas, P. C.; Gonçalves, J. L. M.; Sparovek, G. 2014. Koppen´s climate classification map for Brazil. Metereologische Zeitschrift. 22(6):711-728.
3. Batista, M. A. V.; Bezerra Neto, F.; Silva, M. L.; Ambrósio, M. M. Q.; Cunha, J. L. X. L. 2016. Atributos de solo-planta e de produção de beterraba influenciados pela adubação com espécies da Caatinga. Horticultura Brasileira. 34(1):12-19.
4. Bezerra Neto, F.; Porto, V. C. N.; Gomes, E. G.; Cecílio Filho, A. B.; Moreira, J. N. 2012. Assessment of agroeconomic indices in polycultures of lettuce, rocket and carrot through uni-and multivariate approaches in semi-arid Brazil. Ecological Indicators. 14(1): 11-17.
5. Blandi, M. L.; Rigotto, R. M.; Sarandón, S. J. 2018. Influencia de factores contextuales en la adopción de modelos de agricultura insustentables. La incorporación del invernáculo en agricultores platenses. Revista de la Facultad de Ciencias Agrarias. Universidad Nacional de Cuyo. Mendoza. Argentina. 50(1): 203-216.
6. Cody, R. P.; Smith, J. K. 2004. 5th ed. Applied statistics and the SAS programming language. New Jersey: Prentice Hall.
7. EMBRAPA. (Empresa Brasileira de Pesquisa Agropecuária). 2006. 2ª ed. Sistema brasileiro de classificação de solos. Rio de Janeiro: Embrapa.
8. Fageria, N. K. 1998. Otimização da eficiência nutricional na produção das culturas. Revista Brasileira de Engenharia Agrícola e Ambiental. 2(1): 6-16.
9. Ferreira, D. F. 2011. Sisvar: A computer statistical analysis system. Ciência e Agrotecnologia. 35(6): 1039-1042.
10. Freitas, K. K. C.; Bezerra Neto, F.; Grangeiro, L. C.; Lima, J. S. S.; Moura, K. H. S.; Barros Júnior, A. P. 2009. Desempenho agronômico de rúcula sob diferentes espaçamentos e épocas de plantio. Revista Ciência Agronômica. 40(3):449–454.
11. Gomes, E. G.; Souza, G. S. 2005. Avaliação de ensaios experimentais com o uso da análise de envoltoria de dados: uma aplicação a consórcios. In: Simpósio de Estatística Aplicada à Experimentação Agronômica (SEAGRO). 11. Londrina. Resumos. Londrina. IBS.
12. Grisa, C.; Schneider, S. 2008. “Plantar pro gosto”: a importância do autoconsumo entre famílias de agricultores do Rio Grande do sul. Revista de Economia e Sociologia Rural. 46(2): 481-515.
13. Kiehl, E. J. 1985. Fertilizantes orgânicos. Piracicaba: Agronômica Ceres.
14. Lima, J. S. S.; Bezerra Neto, F.; Negreiros, M. Z.; Freitas, K. K. C.; Barros Júnior, A. P. 2007. Desempenho agroeconômico de coentro em função de espaçamentos e em dois cultivos. Revista Ciência Agronômica. 38(4): 407-413.
15. Linhares, P. C. F. 2009. Vegetação espontânea como adubo verde no desempenho agroeconômico de hortaliças folhosas. Mossoró: UFERSA. (Tese de Doutorado).
16. Mendonça, E. S.; Loures, E. G. 1995. Matéria orgânica do solo. Brasília: ABEAS. (Curso de Fertilidade e Manejo de solo, Módulo 5).
17. Myasaka, S.; Camargo, A. O.; Cavaleri, P. A.; Godov, I. J.; Werner, J. C.; Curi, S. M.; Lombardi Neto, F.; Medina, J. C.; Cervelline, G. S.; Bulsinane, E. A. 1984. 2a ed. Adubação orgânica, adubação verde e rotação de cultura no Estado de São Paulo. Campinas: Fundação Cargill.
18. Oliveira, E. Q.; Souza, R. J.; Cruz, M. C. M.; Marques, V. B.; França, A. C. 2010. Produtividade de alface e rúcula, em sistema consorciado, sob adubação orgânica e mineral. Horticultura Brasileira. 28(1): 36-40.
19. Oliveira, L. A. A.; Bezerra Neto, F.; Silva, M. L.; Oliveira, O. F. N.; Lima, J. S. S.; Barros Júnior, A. P. 2015. Viabilidade agronômica de policultivos de rúcula/cenoura/alface sob quantidades de flor-de-seda e densidades populacionais. Revista Caatinga. 28(4): 116-126.
20. Oliveira, L. A. A.; Bezerra Neto, F.; Barros Júnior, A. P.; Silva, M. L.; Oliveira, O. F. N.; Lima, J. S. S.; Barros Júnior, A. P. 2017. Agro-economic efficiency of polycultures of arugula-carrotlettuce fertilized with roostertree at different population density proportions. Revista Brasileira de Engenharia Agrícola e Ambiental. 21(11): 791-797.
21. Oliveira, L. J.; Bezerra Neto, F.; Lima, J. S. S.; Oliveira, E. Q.; Moreira, J. N.; Silva, I. N. 2017. Viability of polycultures of arugula-carrot-coriander fertilized with hairy woodrose under different population densities. Revista Brasileira de Engenharia Agrícola e Ambiental. 21(9): 611-617.
22. Olmedo Vázquez, V. M.; Minjares Lugo, J. L.; Camacho Poyato, E.; Hernández Hernández, M. L.; Rodríguez Díaz, J. A. 2017. Uso del Análisis Envolvente de Datos (DEA) para evaluar la eficiencia de riego en los Módulos del Distrito de Riego No. 041, Río Yaqui (Sonora, México). Revista de la Facultad de Ciencias Agrarias. Universidad Nacional de Cuyo. Mendoza. Argentina. 49(2): 127.
23. Porto, V. C. N.; Bezerra Neto, F.; Lima, J. S. S.; Barros Júnior, A. P.; Moreira, J. N. 2011. Combination of lettuce and rocket cultivars in two cultures intercropped with carrots. Horticultura Brasileira. 29(3): 404-411.
24. Resende, B. L. A.; Cecílio Filho, A. B.; Martins, M. I. E. G.; Costa, C. C.; Feltrim, A. L. 2005. Viabilidade econômica das culturas de pimentão, repolho, alface, rabanete e rúcula em cultivo consorciado na primavera-verão. Jaboticabal Estado de São Paulo. Informações econômicas. 35(3): 22-37.
25. Silva, A. F. A.; Souza, E. G. F.; Santos, M. G.; Barros Júnior, A. P.; Bezerra Neto, F.; Silveira, L. M. 2015. Rentabilidade do rabanete adubado com flor-de-seda em duas épocas de cultivo no semiárido de Pernambuco. Revista de Ciências Agrárias/Amazonian Journal of Agricultural and Environmental Sciences. 58(2): 198- 207.
26. Silva, M. L. 2012. Viabilidade agronômica de hortaliças fertilizadas com flor-de-seda (Calotropis procera). Mossoró: UFERSA. (Tese de Doutorado).
27. Silva, M. L. S.; Bezerra Neto, F.; Linhares, P. C. F.; Sá, J. R.; Lima, J. S. S.; Barros Júnior, A. P. 2011. Produção de beterraba fertilizada com jitirana em diferentes doses e tempos de incorporação ao solo. Revista Brasileira de Engenharia Agrícola e Ambiental. 15(8): 801-809.
28. Soares de Melo, J. C. C. B.; Gomes, E. G. 2004. Eficiências aeroportuárias: uma abordagem comparativa com análise de envoltória de dados. Revista de Economia e Administração. 3(1): 15-23.
29. Soares de Melo, J. C. C. B.; Gomes, E. G.; Abreu, U. G. P.; Carvalho, T. B.; Zen, S. 2013. Análise de desempenho de sistemas de produção modais de pecuária de cria no Brasil. Produção. 23(4): 877-886.
30. Willey, R. W.; Osiru, D. S. 1972. Studies on mixtures of maize and beans (Phaseolus vulgaris) with particular reference to plant population. Journal of Agricultural Science. 70(2): 517-529.
ACKNOWLEDGEMENTS
Special thanks are due to the Coordenação de Aperfeiçoamento de Pessoal de Nível Superior (CAPES) by the financial support to this research and to the research group that develops technologies for growing vegetables on family farms.