ORIGINAL ARTICLE
Effects of hydropriming on maize seeds (Zea mays L) on growth, development, and yield of crops
Efecto del hidroacondicionamiento de semillas de maíz (Zea mays L) en el crecimiento, desarrollo y rendimiento del cultivo
Francisco Marcelo Lara-Viveros 1, Nadia Landero-Valenzuela 1, Graciano Javier Aguado-Rodríguez 1, Edna Irene Bautista-Rodríguez 2, Eduardo Martínez-Acosta 2, Judith Callejas-Hernandez 2
1 CONACYT . Programa de Maestría en Ciencias en Desarrollo Agrotecnológico Sustentable. Carretera Tepatepec. San Juan Tepa. Km. 2. C.P. 46660. Francisco I.Madero Hidalgo México. gjaguadoro@conacyt.mx
2 Universidad Politécnica de Francisco I. Madero. Ingeniería en Agrotecnología.Carretera Tepatepec. San Juan Tepa. Km. 2. C. P. 46660. Francisco I. Madero Hidalgo México.
Originales: Recepción: 17/02/2017 - Aceptación: 17/10/2018
ABSTRACT
Seed germination is a process that involves several phases, beginning with the uptake of water by dry seeds and ending with emergence. Based on current knowledge, several methodologies have been developed to manipulate this process in order to produce beneficial effects on crops. The hydropriming of maize seeds is one technique that has been used to lower the in-field germination time. The objective of the present study was to measure the effect of different hydropriming times on maize seeds and the subsequent growth, development, and yield of plants. The results demonstrated that hydroprimed seeds for 12 and 18 hours, germinated more rapidly in comparison with the control and 36-hour treatment. Yield was also affected as a function of the imbibition time. The generated data allowed for an optimal soaking time of 22.12 hours to be determined, resulting in an estimated yield of 16.6 t per hectare.
Keywords: Hydropriming; Seed corn; Germination of seed corn
RESUMEN
La germinación de las semillas es un proceso que inicia con la toma de agua por la semilla seca y concluye con la emergencia. Con base en los conocimientos actuales se han desarrollado metodologías para manipular este proceso y obtener efectos benéficos en los cultivos. El hidroacondicionamiento de las semillas de maíz ha sido utilizado para obtener menores tiempos de germinación en campo. El objetivo del presente trabajo fue medir el efecto de diferentes tiempos de hidroacondicionamiento en agua de semillas de maíz sobre su crecimiento, desarrollo y rendimiento. Los resultados mostraron que las semillas hidroacondicionadas por 12 y 18 horas germinaron más rápidamente en comparación con el tratamiento testigo y 36 horas. El rendimiento fue afectado en función de los tiempos de imbibición. Los datos permitieron estimar un tiempo óptimo de imbibición que fue de 22,12 horas con lo que se obtiene un rendimiento estimado de16,6 toneladas por hectárea.
Palabras clave: Hidroacondicionamiento; Semillas de maíz; Germinación de semillas de maíz
INTRODUCTION
Germination begins with the uptake of water by a dry seed (imbibition) and ends when a portion of the seed (the embryonicaxis in dicotyledons or the radicle inmonocotyledons or gymnosperms) emerges from the surrounding structure, known as the emergence phase (15). The uptake of water by seeds is triphasic andbegins with the rapid initial absorption of water (phase I), followed by a plateau phase (phase II). Finally, a subsequent increase in water absorption (phase III) corresponds with the elongation of the embryonic axis and the aperture of the surrounding sheath (17). During these phases, important physiological changes occur assuring the survival of the seedling. These events have been widely studied by different authors. For example, during phase I, the structures damaged during the previous dehydration phase are repaired, and during phase II, protein synthesis resumes (4). The duration of each phase is variable and depends on seed-specific characteristics, including size, content of hydratable substrates, permeability of seed covering, and available O2 and CO2,in addition to other external conditions during imbibition, such as temperature, substrate composition, and moisture content (19).
For sowed crops, large volumes of water are commonly used to provide optimal germination conditions. However, during this period, water losses may also be significant due to a lack of vegetation cover, leading to greater water evaporation. Consequently, recently emerged seedlings experience a greater level of stress. In this context, Mullan and Reynolds (2010) list several genotypes that are capable of rapidly developing their leaf area, increasing the surface of shaded soil and decreasing water evaporation. This results in a more efficient use of water. In this sense, it is preferable that seeds initiate the imbibition-germination process as quickly as possible (7), as this favours a more efficient usage of water and minimizes the time of exposure to pathogens and other adverse environmental factors present in agricultural systems. In addition, this technique can improve other corn production systems such as corn silage, which represents an important alternative in several countries of America (24).
Based on current knowledge, various methods have been attempted for manipulating imbibition and germination to obtain beneficial effects on crops. One of the most studied techniques for achieving such benefits is hydropriming. In this method, seeds are placed in contact with water or an osmotic solution to initiate the imbibition process, but without arriving at the germination stage (12).
Several studies have shown this method to be effective in increasing the germination percentage and vigour of seedlings. A study spanning back several decades, as well as a more recent investigation (26) that tested four methodsof hydroconditioning, found a resultant improvement in the germination and vigour of okra seedlings (Abelmoschus esculentus L. Moench). Previous research highlights that physiological changes may be initiated during imbibition, and these remain even after seeds are dehydrated (3). For this reason, osmoconditioned seeds rapidly re-initiate their metabolism, improving the percent and uniformity of germination (8).
Because water is a limiting factor in agricultural systems, the use of the afore-mentioned technologies may shorten the imbibition-germination time and improvethe initial vigour of seedlings. Thus, theobjective of the present study was to evaluate the effect of different periods of soaking in water on maize seeds and to examine their effects on growth, development, and yield of crops.
MATERIALS AND METHODS
First phase: Determination of the imbibition-germination times
For this phase, hybrid maize seeds (1503 by Aspros®) were placed in a humidity chamber with 90% relative humidity at a temperature of 27±3°C. The humidity chamber consisted of a plastic container. Paper saturated with sterile water was placed in the bottom of the container. Subsequently, the seeds were placed, the container was sealed and kept at constant temperature in complete darkness. Twenty seeds were placed in 50 humidity chambers (1000 seeds in total). Initial weight along with increases in weight every six hours, were recorded. The number of germinated seeds was recorded over the period of evaluation. A seed was considerd as germinated when it showed a radicle measuring at least, 2mm. The recorded data were tested for normality and homoscedasticity. When assumptions of normality were not met, the data were transformed using the following formula:
Y=√X + 10
where:
Y= transformed data
X= data
The previous procedure facilitated the determination of the germination times and weight gain due to water absorption. Based on the generated data, three periods of hydroconditioning and control were then selected (0, 12, 18, and 36 hours). For each time period, 20 seeds were placed in humidity chambers for the corresponding treatment time. As mentioned, their initial weights, as well as weight gains assessed every 6 h, were recorded.
Temperature and RH were kept constant (27±3 °C and 90% HR). Once the imbibition time was finalised, the seeds were removed from the humidity chamber and replaced on absorbent paper at room temperature until they returned to their original weight prior to imbibition (approximately 120 hours). Afterwards, the seeds were placed in humidity chambers to determine the number of germinated seeds over time; measurement were recorded every six hours. The recorded data were subjected to a regression analysis in Microsoft Excel®.
Second phase: Field experiments
First, 200 g of maize seed were placed in a humidity chamber at 90% humidity and 25±2°C for each one of the previously established time periods (12, 18, and 36 hours and control). After the treatment periods, the seeds were removed from the humidity chamber and placed on absorbent paper at room temperature until they recovered their initial weight (approximately 120 hours). Afterwards, the seeds were sown in an open-field plot located in the experimental field of the Polytechnic University of Francisco I. Madero on Hidalgo estate México (14Q490716.79 m E y 2236223.96 m N). The study was carried during 2014-2015. The experimental desing was a completely randomised block. For each treatment, a surface area of 50 m2 was sown with seeds, with a distance of 0.75 m between furrows and 0.13 m between plants. Each treatment was replicated four time. Drip irrigation system was used, and sowing was carried out at the same time for all treatments under consideration. Weed control was mechanical in all treatments and no fertilizer was applied.
The mean of temperature in the experimental field was 26.2 °C and the HR was 22%.
Variables analysed during the fieldwork
For each treatment (period of hydroconditioning), the number of emerged seeds was counted six days after sowing (DAS). A plant was considered to have emerged if the coleoptile had a minimum height of 4 cm. The number of plants was also determined at the harvest time.
The variables plant height, foliar temperature, and soil temperature were also recorded. Plant and soil temperatures were measured with a Benetech® infrared thermometer at an approximate distance of 20 cm from the foliage or ground surface. This variables have been previously used for estimation of the water use status on plant (10) in addition to the percentage of ground area covered by foliage every 7-9 days.
The percentage of ground area covered by foliage was determined by digital imaging, according to the method proposed by Mullan and Barcelo-García (2012). The digital images were then processed with Adobe Photoshop CS5 Extended® software, adjusting the parameters of saturation and luminosity to constant values (+60and -20, respectively) aiming to contrast and compare the colours corresponding to leaves and ground surface. With this method, the area of the image corresponding to the green colours of leaves was substituted by absolute white (R=255,G=255, and B=255) in an RGB colour system, and the area corresponding to soil and the related colour gamma was substituted by absolute black (R=0, G=0, and B=0) in the same colour system.
The last step involved determining the ratio of white to black pixels in the RGB colour system, using the measuring tools provided by the software. With this information, the percentage of soil cover with foliage was calculated according to the following formula:
%SCPAT=(AWP/255)X100;
where:
%SCPAT=percentage of soil covered with photosynthetically active tissue
AWP=average number of white pixels
Once a female maize flower appeared, the length and diameter of each cob was measured. During harvest, the average percentage humidity of the seeds for each treatment was determined, and the grains of each cob per treatment were separately weighed in order to calculate yield per hectare.
Data analysis
The generated data were submitted to analysis of variance, and a means comparison test was performed if the results were significant (Tukey, P=0.05). For the data on plant height and length, diameter of the cob, and percent of ground cover, the area under the curve was calculated following the polygon method. The analysis of the area under the curve is a method used to estimate the total growth through time and the result is a dimensionless value. This method was described by Liengme, 2002. Yield data were analysed by Regression analysis.
RESULTS
Determination of the imbibition-germination times
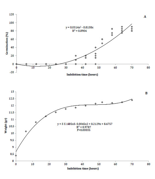
Time of imbibition was correlated with seed weight. Before the seeds were placed in humidity chambers, average weight of 20 seeds was 8.3 g. Thirty six hours after the start of imbibition, average weight was 11.8 g (figure 1b, page 77).

Figure 1. Effect of imbibition time on A) germination percentage of maize seed and B) seed weight.
Figura 1. Efecto del tiempo de imbibición sobre A) porcentaje de germinación de semillas de maíz y B) peso de semillas de maíz.
The greatest number of germinated seeds after reaching an average imbibed weight of 12.4 g, occurred after 70 hours in the humidity chamber. Seed weight had a correlation coefficient of 0.53 with germination percentage. However, time of imbibition was statistically more significant in explaining germination (data not shown). According to the regression model (figure 1a, page 77), 50% germination (G50) was achieved after 54.8 hours of imbibition.
During the initial hours (0-20 hours), a rapid increase in weight was observed, corresponding to the first phase of imbibition, characterised by a rapid increase in water absorption. Afterwards, increases in weight were stable, followed by another increase in weight corresponding to the appearance of the radicle.
Germination of hydroprimed seeds
The seeds showed a distinct behaviour as a function of imbibition time. The most rapid germination time was found for the36-hour imbibition treatment, resulting in 50% germination of seeds (G50) after 16.7 hours in the humidity chamber. The 12-hour (T12) and 18-hour (T18) imbibition treatments took more time to germinate (G50) at 33.4 and 30.27 hours, respectively. The control treatment (unimbibed seeds) had the highest germination time (G50) at 48.2 hours. Seeds that were treated for 12 hours had an overall rate of germination of 94.1% after 48 hours in a humidity chamber (figure 2, page 78).

Figure 2. Effect of different hydropriming times on the time to germination of maize seeds.
Figura 2. Efecto de diferentes tiempos de hidroacondicionamiento sobre el tiempo de germinación en semillas de maíz.
Field experiments
Emergence of seeds
Hydropriming time affected seed-emergence in the field. The emergence of seedlings at six DAS, increased indirect proportion with the imbibition time of seeds up to 18 hours, when the number of emerged seeds began to diminish. The 36-hours treatment had the lowest number of emerged seedlings (figure 3, page 78).

Figure 3. Average number of emerged seeds at different imbibition time, six DAS.
Figura 3. Promedio de número de semillas emergidas a diferentes tiempos de imbibición, seis DAS.
A similar behaviour has been observed in other species; for example, Marín Sanchez et al. (2007) found an increase in the percentage of abnormal onion seedlings after 72 hours of hydroconditioning, and the percentage of abnormalities further increased after 96 hours. In another study, Sadeguhi et al. (2011) found an average dry weight of 1.55 g for soy seeds hydroconditioned for 12 hours. However, when the time of osmoconditioning increased to18 and 24 hours, the average dry weight decreased to 1.3 and 1.2 g, respectively.
Plant height
Plant height demonstrated significant differences at 37 and up to 43 DAS. During this period, seeds hydroconditioned for 36 hours showed an average height equal to the control treatment, while the 12- and 18-hour treatments had a greater height. For the rest of the sampled dates, plants did not show significant differences. Overall, and in terms of accumulated growth, seeds imbibed for 12 or 18 hours resulted in plants of greater height in comparison with the control treatment (table 1).
Table 1. Plant height expressed in centimeters from seeds with different imbibition times.
Tabla 1. Alturas de plantas expresadas en centímetros provenientes de semillas con diferentes tiempos de imbibición.

Plant and soil temperature
For the 0-, 12-, and 18-hour treatments, plant and soil temperatures significantly differed differed significantly at16, 22, and 30 DAS. A lower difference in temperature after 16 days, was found with the 36-hour treatment, while the 12-hour treatment presented the greatest temperature difference. At 22 DAS, an increase in solar energy resulted in a higher soil temperature; causing that plants from imbibed seeds of all treatments showed a difference in relation to non-treated seed. At 30 DAS, only the 12-hour treatment demonstrated a statistically significant difference in comparison with the other treatments. For the rest of the sampling dates, no significant differences were found (table 2, page 80).
Table 2. Soil and maize plant temperatures on different days after planting for a given time of imbibition.
Tabla 2. Temperaturas de suelo y planta en diferentes días después de la siembra para diferentes tiempos de imbibición.

Percent of soil cover
Although soil cover percentage largely depends on leaf lamina growth, it is also determined by a number of other factors, such as luminosity, nutrient availability in water and soil, leaf insertion angle to the main stem, planting density and spatial distribution. In addition, any incidence of plague or disease may also have an effect. In the current study, all treatments showed a similar percentage of soil cover, indicating that the hydropriming treatments did not affect this variable (figure 4, page 81).

Figure 4. Effect of different imbibition times of maize seeds on ground cover percentage over time.
Figura 4. Efectos de diferentes tiempos de imbibición de semillas de maíz en el porcentaje de cobertura de suelo a través del tiempo.
Although from 16 to 30 DAS the incidence of solar radiation caused a difference in temperature between soil and plants (table 2), all of the treatments maintained a similar foliage area. Even so, the 12- and 18-hour treatments maintained a greater difference in temperature, which implies that even though none of the plants were affected in terms of growth, only the 12-and 18-hour treatments were capable of transpiring under these conditions. This finding is possibly due to the plants’ ability to maintain open stomata, allowing transpiration and gas exchange and thereby favouring the process of photosynthesis.
Yield
The imbibition treatments showed an effect on yield. The generated data were used as inputs for a mathematical model to estimate maximum yield, resulting in 16.6 tper hectare and corresponding with 22.12 hours of imbibition. Upon surpassing this time frame, plant yield decreased to 15.6 tper hectare (figure 5, page 82).

Figure 5. Effect of imbibition time of maize seeds on yield per hectare.
Figura 5. Efecto del tiempo de imbibición de semillas de maíz sobre el rendimiento.
DISCUSSION
The germination value is greater than that reported, who found a G50 value of 46 hours. After 36 hours of imbibition, an 11% increase in seed germination was observed. In the present study, this time period was considered to be the maximum imbibition period before the seeds began to germinate. The germination time behaviour is typical of the majority of seeds (19). For hybrid corn, other author shave reported similar results. For example, by Yu-quin and Song-quan (2008) tested different imbibition times and evaluated the water content of seeds under different treatments. Phase 1 was observed between 0 and 12 hours, followed by a decrease in water content from 12 to 36 hours and, finally, a subsequent increase in water uptake. The hydropriming of seed resulted in earlier germination for maize seeds. However, this also affected the final number of germinated seeds.This behaviour has also been reported for other species. For example, in soybean crops (25) 50% germination of seeds was found to increase at imbibition periods of 18 and 24 hours, even though the final germination percentage decreased in comparison with seeds hydroprimed for 12 hours. Hydropriming of seeds induces a series of biochemical changes (11) that are necessary for the germination process to occur, Heydecker and Coolbear (1977) stimulating, for example, the activation of enzymes or the metabolism of germination inhibitors (1). However, during the hydration process, seeds may also suffer temporary changes in the permeability of their cellular membranes, loosing solutes and metabolites of low molecular weight to the surrounding environment (19).These compounds are necessary for development during the first stages of germination (4), and their excessive loss could represent a disadvantage for the seed (5).This described phenomenon may explain what occured in this study, when seeds were hydroconditioned for 36 hours and germinated more rapidly even when the final number of germinated seeds resulted lower. This finding is possibly due to irreparable damage from excessive loss of nutritional compounds during imbibition phase II. In the field experiments, results demonstrated that hydroconditioning treatments are only beneficial, when practiced for an adequate period of time. When the optimal hydroconditioning time is surpassed, physiological damage may occur leading to a lower percentage of emergence. The results of plant height were similar to those reported by Sharma et al. (2014), who found an average height for okra plants of 27.1 cm when the seeds were imbibed for 12 hours. By contrast, with the control treatment, an average height of 14.8 cm was found, but when the imbibition time increased to 18 hours, the seedlings displayed a height of 22 cm. Plant surface temperature is related totranspiration rate; increased transpiration lowers leaf temperature by dissipation of sun heat (20). This has demonstrate that plant temperature is the result of several physiological processes, which, in addition to transpiration, involve stomatal conductance, hydric status of the plant, water use efficiency, leaf area index, and yield (23). In the present study, plants from hydroconditioned seeds showed a greater difference in plant and soil temperatures, compared with non-imbibed seeds. It may be inferred that imbibition causes a physiological effect that enables a greater capacity for transpiration in conditions of high irradiance, which may lead to an elevated rate of photosynthesis as stomata remain open for longer periods of time. Some studies have revealed that the hydroconditioning of seeds results in significant effects during plant development. In the case of wheat, it has been shown that hydroconditioning leads to a decrease in the concentration of sodium ions in plants growing in saline soils, favouring plant growth (22).
Further research has highlighted how hydroconditioned plants behave in comparison with control treatment plants as a function of environmental conditions. For example, Chen and Arora (2011) found that spinach seedlings from hydroconditioned seeds showed an increase in the expression of the CAP85 gene when plants were submitted to stress by desiccation.However, no similar expression of the gene occured under optimal conditions.This gene encodes for LEA (late embryogenesis-abundant) proteins that play an important role in water stress resistance (22). In the specific case of maize (6), an increase in the expression of LEA genes and their respective proteins was found for osmoconditioned seeds compared with normal seeds. Although the functionof these proteins is not precisely known, evidence suggests that these proteins protect cellular structures from water stress or cold (27). In the present study, it is likely that 12- and 18-hour treatments would have affected the expression of the genes that encode LEA proteins, enabling these plants to exhibit a greater resistance to stress between 22 and 30 DAS, which corresponds to the period of high irradiance (table 2, page 80).
Dry matter and grain production depend on the ability of crops to capture resources, and radiation is an important factor for yield (14). However, a high solar radiation causes an increase in leaf and soil temperatures. When sun incidence was not sufficient to elevate soil temperature above 50°C, plants did not show significant differences in leaf temperature.This finding suggests that during the hydroconditioning of maize seeds, gene expression may be affected, leading to an improved stress response.
Other studies have demonstrated that seed imbibition may lead to an agronomic advantage. For example, Ghiyasi et al. (2008) found an increase in maize plant yield when seeds were hydroconditioned with water at a potential of -0.5 MPa for 24 hours. A similar behaviour has been observed for other crop species. For example, Arif et al. (2014) found that soy plants from seeds hydroconditioned with polyethylene glycol (PEG) for six hours at-1.1 MPa, had a greater yield, compared with plants from non-treated seeds. Plants from treated seeds also flowered and presented mature seeds before the control. In line with these findings, recent evidence has shown that hydroconditioning treatments enable moderate resistance to drought because the physiological mechanisms behind this tolerance are activated as a consequence of these treatments (9).
Intermembrane proteins called aquaporins, transport water from cell to cell and therefore, play an important role during germination. Another key process might involve guard cells and their changes in volume with the addition of water. Finally, phloem loading and unloading, as well as stomatal movements (17), may partly explain drought resistance as previously reported. In the current study, plants underwent high temperatures from 16 to 30 DAS (table 2, page 80).
Under these conditions, certain treatments (12 and 18 hours) showed a greater difference between soil and foliage temperature, indicating that these plants had greater resistance. This resistance also led to greater growth at 37 to 43 DAS (table1, page 79), which may be an indicator of the capacity of the 12- and 18-hour treatments to continue development in conditions under which other treatments (control and 36 hours) were interrupted. As a consequence of these effects, seeds that are hydroconditioned for 12 and 18 hours develop into plants with greater stress tolerance, representing a significant advantage in comparison to non-treated plants.
CONCLUSIONS
Hydroconditioned maize seeds for 12 and 18 hours presents an agronomic advantage for adult plants. Several of these advantages include more uniform germination, earlier germination, greater growth during periods of thermal stress, and greater grain yields.
1. Ajouri, A.; Haben, A.; Becker, M. 2004. Seed priming enhances germination and seedling growth of barley under conditions of P and Zn deficiency. Journal of Plant Nutrition and Soil Science. 167: 630-636.
2. Arif, M.; Jan, M.; Mian, I.; Khan, S.; Hollington, P.; Harris, D. 2014. Evaluating the impact of osmopriming varying with polyethylene glycol concentrations and durations on soybean. International Journal of agricultural and biology. 16 (2): 359-364.
3. Asgedom, H.; Becker, M. 2001. Effects of seed priming with nutrient solutions on germination, seedling growth and weed competitiveness of cereals in Eritrea. In H. Asgedom,& M. Becker, Procedures Deutscher Tropentag. 282 p. Bonn, Alemania: Magrraf Publishers Press.
4. Bewley, J. D. 1997. Seed germination and dormancy. The Plant Cell. 9: 1055-1066.
5. Bewley, J. D.; Blck M. 2012. Physiology and biochemistry of seeds in relation to germination: Volume 2: Viability, dormancy, and environmental control. Springer Science & Business Media. 375 p.
6. Campos-Álvarez, F.; Cruz-García, F.; Torres-Espinosa, A.; Sánchez-Jiménez, M.; Colmenero-Flores, J. M.; Smith-Espinoza, C.; Vázquez-Ramos, J. M .2002. Expression of late embryogenesis abundant (lea) protein codifying genes during osmopriming of maize and bean seeds. Agrociencia. 36: 461-470.
7. Caseiro, R.; Bennet, M. A.; Marcos-Filho, J. 2004. Comparison of three priming techniques for onion see lots differing in initial quality. Seed Science and Technology. 32: 365-375.
8. Chen, K.; Arora, R. 2011. Dynamics of the antioxidant system during seed osmopriming, postpriming germination, and seedling establishment in Spinach (Spinacia oleracea). Plant Science. 180: 212-220.
9. Chen, K.; Fessehaie, A.; Arora, R. 2012. Dehydrin metabolism is altered during seed osmoprimingand subsequent germination under chilling and desiccation in Spinacia oleracea L. cv. Bloomsdale: possible role in stress tolerance. Plant Science. 183: 27-36.
10. Ghiyasi, M.; Pouryoursef, M.; Tajbakhsh, M.; Zalehzade, H.; Meshkat, M. 2008. Influence of differents osmopriming treatments on emergency and yield of maize (Zea mays L). Research Journal of biological sciences. 12(3): 1452-1455.
11. Giri, G. S.; Schillinger, W. F. 2003. Seed priming winter wheat for germination, emergence, and yield seed priming winter wheat for germination, emergence, and yield. Crop Science. 43(6): 2135-2141.
12. Heydecker, W.; Higgins, J.; Guliver L. 1973. Accelerated germination by osmotic seed treatment. Nature. 246: 42-44.
13. Heydecker, W.; Coolbear, P. 1977. Seed treatment for improved performance survey and attempted prognosis. Seed Science and Technology. 5: 353-42.
14. Imvinkelried, H. O.; Pietrobón, M.; Dellaferrera, I. M. 2020. Water and radiation productivity indifferent cropping sequences in the north center of Santa Fe. Revista de la Facultad de Ciencias Agrarias. Universidad Nacional de Cuyo. Mendoza. Argentina. 52(1): 61-71.
15 Iqbal, M.; Ashraf, M. 2007. Seed preconditioning modulates growth, ionic relations, and photosynthetic capacity in adult plants of hexaploid wheat under salt stress. Journal of Plant Nutrition. 30 (3): 381-396. doi:10.1080/01904160601171330.
16. Liengme, B. V. 2002. A Guide to Microsoft Excel 2002 for Scientists and Engineers. Academic Press.
17. Manz, B.; Müller, K.; Kucera, B.; Volke, F.; Leubner-Metzger, G. 2005. Water uptake and distribution in germinating tobacco seeds investigated in vivo by nuclear magnetic resonance imaging. Plant Physiology. 138: 1538-1551.
18. Marín-Sanchez, J.; Mejia-Contreras, J. A.; Hernández-Livera, A.; Carballo-Carballo, A.; Peña-Lomeli, A .2007. Acondicionamiento osmótico de semillas de cebolla (Allium cepa L.).[Osmotic conditioning of onion seeds (Allium cepa L.)] Agricultura Técnica en México.33(1): 63-71.
19. Matilla, A. J. 2008. Desarrollo y germinación de semillas. [Development and seed germination]. In J. Azcón-Bieto, & M. Talón (Eds.). Fundamentos de fisiología Vegetal. Madrid. España: McGraw-Hill.
20. Mullan, D. J.; Reynolds, M. P. 2010. Quantifying genetics effects of ground cover and soil water evaporation using digital imaging. Funtional plant biology. 37: 703-712.
21. Mullan, D.; Barcelo-García, M. 2012. Crop ground cover. Chapter 10. In A. Pask, J. Pietragalla, D. Mullan, & M. Reynolds, Physiological Breeding II: A Field Guide To Wheat Phenotyping. México. D. F.: CIMMYT. 132 p.
22. Neven, L. G.; Haskell, D. W.; Hofig, A.; Li, Q.-B.; Guy, C. L .1993. Characterization of a spinach gene responsive to low temperature and water stress . Plant Molecular Biology, 21: 291-305.
23. Pietragalla, J. 2012. Canopy temperature. In A. Pask, J. Pietragalla, D. Mullan, & M. Reynolds,Physiological Breeding II: A field guide to wheat phenotyping. México D. F.: CIMMYT.10-14 p.
24. Rebora, C.; Ibarguren, L.; Barros, A.; Bertona, A.; Antonini, C.; Arenas, F.; Calderón, M.; Guerrero,D. 2018. Corn silage production in the northern oasis of Mendoza, Argentina. Revista de la Facultad de Ciencias Agrarias. Universidad Nacional de Cuyo. Mendoza. Argentina.50(2): 369-375.
25. Sadeghi, H.; Khazaei, F.; Yari, L.; Sheidaei, S .2011. Effect of seed osmopriming on seed germination behavior and vigor of soybean. ARPN Journal of Agricultural and Biological Science,6(1): 39-43.
26. Sharma, A. D.; Rathore, S. V.; Srinivasan, K.; Tyagi, R. K .2014. Comparison of various seed priming methods for seed germination, seedling vigour and fruit yield in okra (Abelmoschus esculentus L. Moench). Scientia Horticulturae, 165: 75-81.
27. Swire-Clark, G. A., Marcotte, R. W. 1999. The wheat LEA protein Em functions as an osmoprotective molecule in Sacharomyces cerevisiae. Plant Molecular Biology, 39: 117-128.
28 . Yu-qin, M.; Song-quan, S .2008. Early morphological and physiological events occurring during germination of maize seeds. Agricultural Sciences in China. 7(8): 950-957.
ACKNOWLEDGEMENTS
The authors are grateful for the support provided by the Francisco I. Madero Polytechnic University (Universidad Politécnica de Francisco I. Madero) to perform the present study. Special thanks are extended to the personnel that assisted with the experimental fieldwork and that offered logistical support over the course of the study.