ORIGINAL ARTICLE
Genetic diversity of squash landraces (Cucurbita maxima) collected in Andean Valleys of Argentina
Diversidad genética de poblaciones de zapallo (Cucurbita maxima) colectadas en los valles andinos de la Argentina
Inés María Lorello 1, 2 , Sandra Claudia García Lampasona 3, 4 , Iris Edith Peralta 2,5
1 Instituto Nacional de Tecnología Agropecuaria. Estación Experimental Agropecuaria. La Consulta.
2 Universidad Nacional de Cuyo. Facultad de Ciencias Agrarias. Cátedra de Botánica Agrícola. Almirante Brown 500 Chacras de Coria. M5528AHB. Mendoza, Argentina. lorello.ines@inta.gob.ar, ilorello@fca.uncu.edu.ar
3 Instituto Nacional de Tecnología Agropecuaria. Estación Experimental Agropecuaria Mendoza.
4 Universidad Nacional de Cuyo. Consejo Nacional de Investigaciones Científicas y Tecnológicas. Instituto de Biología Agrícola de Mendoza. Facultad de Ciencias Agrarias. Mendoza, Argentina.
5 Centro Científico Tecnológico. Consejo Nacional de Investigaciones Científicas y Tecnológicas. Instituto Argentino de Investigaciones de Zonas Áridas. Mendoza, Argentina.
Originales: Recepción: 01/03/2018 - Aceptación: 28/07/2018
ABSTRACT
Squash landraces (Cucurbita maxima) are maintained by small farmers as a major nutritional food. Twenty seven of these landraces were collected in Argentinian Andean Valleys and morphologically characterized. Genetic diversity was evaluated with microsatellite markers designed for Cucurbita pepo and Cucumis melo and evaluated for the first time in C. maxima. Seven microsatellite primers detected 26 alleles with 3.10 average alleles per locus. The genetic diversity reached an average of 0.26; a Polymorphic Information Content (PIC) of 0.20 and 45.5% of polymorphic loci. Higher diversity was found at intra population level. No evidence of lineal correlation between the observed diversity and the geographical distribution of squash landraces was found. Results demonstrate a moderate genetic diversity for all populations, with a wide range of variation in different groups. A subgroup of 10 populations with the highest levels of genetic diversity was considered for maintenance within core collections in the Vegetable Crop Germplasm Bank of Agricultural Research Station (EEA) La Consulta, Mendoza, National Institute of Agricultural Technology (INTA). Anthropogenic and environmental processes, mainly abandonment of cultivated areas and frequent droughts could erode squash landraces diversity. Conservational strategies and new collecting expeditions can be decided based on the genetic diversity found.
Keywords: Microsatellite markers; Genetic diversity; Germplasm banks; Genetic resources; Squash landraces; Cucurbita maxima
RESUMEN
En Argentina los pequeños agricultores mantienen poblaciones de zapallo (Cucurbita maxima) de gran importancia nutricional. Veintisiete de estas poblaciones fueron recolectadas en los valles andinos y caracterizadas morfológicamente. Marcadores microsatélites diseñados para Cucurbita pepo y Cucumis melo se aplicaron por primera vez en C. maxima para evaluar diversidad genética. Siete cebadores detectaron 26 alelos con 3,10 alelos promedio por locus. La diversidad genética alcanzó una media de 0,26; el contenido de información polimórfica (PIC) de 0,20 y el 45,5% de los loci resultaron polimórficos. La diversidad a nivel intrapoblacional fue mayor que entre poblaciones. No se encontró correlación lineal entre la diversidad observada y la distribución geográfica poblacional. La diversidad genética fue moderada para el conjunto de poblaciones, con un amplio rango de variación. Un subgrupo de 10 poblaciones con los mayores valores de diversidad genética fue considerado para su mantenimiento dentro del Banco de Germoplasma de la Estación Experimental Agropecuaria (EEA) La Consulta, Instituto Nacional de Tecnología Agropecuaria (INTA). Los procesos antropogénicos y ambientales, principalmente el abandono de áreas cultivadas y las frecuentes sequías, estarían erosionando la diversidad de estos recursos. Sobre la base de los resultados obtenidos se pueden plantear estrategias de conservación y nuevas expediciones de colecta.
Palabras clave: Marcadores microsatélites; Diversidad genética; Bancos de germoplasma; Recursos genéticos; Zapallo; Cucurbita maxima
INTRODUCTION
Squash (Cucurbita maxima Duchesne) is a native species of South America traditionally used for its fruit nutritious value, and is cultivated worldwide mostly in temperate zones. Cucurbita maxima Duchesne subsp. andreana (Naudin) Filov, from humid lowlands of Bolivia and warm temperate zones of Argentina and Uruguay, is considered as the putative ancestor of C. maxima (47, 51, 61). Archeological studies indicate that C. maxima was brought from Peru to northern Argentina, with evidence of domestication about 1800 years B.C. in Peru and between 500 to 1000 years A.C. in Argentina (38). Squash was domesticated and adapted to different environmental conditions in Andean areas, where diversity of local landraces is found.
The Andean Valleys of Argentina are part of the Peruvian-Bolivian center of origin of different cultivated species, and considered the southern limit of many primitive cultivars and/or crop species used since pre-Columbian times (58). These valuable genetic resources are maintained by local communities using their traditional agriculture, contributing to farmer sustainability. Squash is a fundamental food in their diet, since is highly digestible and provides valuable antioxidant nutrients such as alpha and beta carotenes, precursors of vitamin A (18, 22, 31, 59).
Squash landraces are extremely variable in fruit shape, size and color, characteristics traditionally used for their classification (6, 34).
Cucurbita maxima is a diploid (2n = 2x = 40), decline, allogamous species with a broad genetic base (10). However, conservation of crop diversity is threatened due to environmental and socioeconomic factors, such as frequent droughts and farms abandonment. In this context, landraces preservation is a priority in Argentina. Recuperation of Andean squashes was part of a first systematic effort to preserve the diversity of local crops (2, 3, 41, 43, 56).
Molecular tools are currently widely used for evaluating crop diversity (14, 32, 34, 37). genetic diversity of C. maxima collections has been determined with different markers (4, 20, 21, 30, 64) like microsatellites (33, 36, 65, 68).
This study aimed to evaluate 27 populations of C. maxima collected in Andean Valleys of Argentina (56), using microsatellites markers (65, 68) for the first time in Argentinian C. maxima germplasm. These landraces were previously morphologically characterized (43).
The results obtained are strategic to preserve squash landraces diversity in germplasm banks.
MATERIALS AND METHODS
Collecting expeditions and morphological characterization
Eight collecting expeditions, between 2005 and 2008, were conducted covering agro-ecological regions of northwestern Argentina (NOA), Cuyo and Patagonia (figure 1, page 296).

Figura 1. Geo-referenced collection points of C. maxima landraces in Argentina.
Figure 1. Puntos de colecta de poblaciones de C. maxima en Argentina georreferenciados.
An exhaustive collection of squash accessions was performed in Andean communities where local farmers maintained their crops in different environments using diverse crop managements (41, 56). Twenty seven accessions of various morphotypes (figure 2, page 297) collected in different localities during the first two expeditions to Valle Fértil (Province of San Juan), and Northwestern Argentina (table 1, page 298), were selected for field evaluation (41, 43), and molecular characterization.

Figure 2. Fruit morphotypes found among C. maxima landraces.
Figura 2. Morfotipos de frutos encontrados en las poblaciones de C. maxima.
Table 1. Squash accessions.
Tabla 1. Entradas evaluadas.

During two seasons 49 plant, flower, fruit, and seed traits were measured using morphological traits for the genus Cucurbita (27, 43). As a control, C. maxima ‘Marino FCA’ and ‘Veronés INTA’ were used (43, 56).
DNA extraction
Genomic DNA of five seedlings per accession of the 27 selected landraces (table 1, page 298) was extracted (13). In addition, two cultivars of C. maxima ‘Marino FCA’ and ‘Veronés INTA’, one of Cucurbita moschata Duchesne ‘Paquito INTA’ and one of Cucurbita pepo L. were included.
Amplification and visualization of microsatellite markers
At the time this study was conducted, no reports of microsatellite markers specifically designed for C. maxima were available. Therefore markers developed from microsatellites designed for Cucumis melo L. (65) and C. pepo (68) were used for the first time in C. maxima. Two hundred fifty-seven primer pairs designed for C. melo were evaluated in five C. maxima accessions and two controls of C. melo species. Eight primers designed for C. pepo and recommended as polymorphic for C. maxima (68) were first evaluated in five C. maxima accessions and one accessions of C. pepo species as control. PCR experiments were performed on a PTC-100 Thermocycler MJ Research Inc. (Bio-Rad, Foster City, California, USA).
The following reaction mixture to 15 μl final volume was formulated: 40ng DNA, 5x buffer with magnesium chloride (final concentration of 1.5mM MgCl2), 0.16 mM dNTPs, 0.03μM of each primer; 1 unit Taq polymerase (Promega, Madison, Wisconsin, USA,). Samples were subjected to the following thermal profile for amplification: four minutes of denaturing at 94°C, 35 cycles of denaturing at 94°C for 45 seconds, 45 seconds of annealing at 48°C and 30 seconds of elongation at 72°C, with a final elongation step of 72°C for five minutes. PCR products were evaluated by electrophoresis on a 6% denaturing polyacrylamide gels (PAGE). Amplification fragments were visualized on a 3130 ABI Genetic Analyzer (Applied Biosystems, Foster City, USA), primers that amplified polymorphic fragments were synthesized attaching a DNA fragment known as M13 (-21) universal tail (62) on the forward primer 5' end. This fragment is complementary to the universal tail M13 (-21) which is labeled with a fluorescent dye and added to the reaction mixture of PCR. Thus, during the polymerase chain reaction, fragments are labeled by incorporating a tail sequence and can be evaluated by capillary electrophoresis and laser detection. The new mixture of PCR included the forward primer synthesized with M13 (-21) tail, reverse primer and tail labeled M13 (-21) with each of the following fluorescent dyes: FAM, JOE, HEX or TAMRA. Mix 15 μl reaction was formulated by the following way: 40ng DNA, 5x buffer, 2mM MgCl2, 0.16mM dNTPs, 0.05μM forward tailed primer, 0,2μM reverse primer, 0.2μM universal M13 tail (-21) marked, 0.5 units Taq polymerase (Promega, Madison, Wisconsin, USA).
PCR conditions were the following: 5 minutes of denaturing at 94°C, 40 cycles of five minutes of denaturing at 94°C, 45 seconds of annealing at 48°C and 45 seconds of elongation at 72°C; in the following 11 cycles, the annealing temperature was increased to 53°C, with a final elongation of 10 minutes at 72°C. Table 2 (page 299) lists used primers.
Table 2. Microsatellite primers selected.
Tabla 2. Cebadores microsatélites seleccionados.

The results were analyzed using GeneMapper 4.0 software (Applied Biosystems, Foster City, USA).
Data Analysis
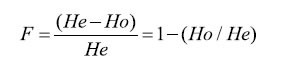
Genetic variability from population allele frequencies and genotype was determined. Genetic diversity parameters were estimated for each locus and for multiple loci: polymorphic loci proportion and average genetic diversity, using the formula:

where
m = number of loci
pij = frequency of allele
i = locus j
Genetic diversity per locus (52), average observed heterozygosity (Ho), unbiased or expected heterozygosity of Nei (He) (53), number of alleles per locus and number of effective alleles per locus (35) were also calculated. Squash accessions were compared based on the different measures of genetic variability by non-parametric Friedman test (23) under a classification criterion. Population structure was evaluated by calculating allele fixation index F that describes the reduction of population heterozygosity:

Wright's F statistics (70) were measured following the definition of Nei (1973), and the gene flow among populations was estimated from Fst statistic using the formula of Wright (1951). For measuring biological diversity, allelic richness (r) by direct counting and the Shannon-Weaver index (H) (61) were calculated according to the following formula:

where
S = total number of types of traits studied
pi = measure of relative abundance of each of these types.
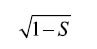
Genetic distances between accessions were established by the simple matching index of similarity (66). Similarity was converted to distance by the transformation:
![]()
where
S = the similarity coefficient (simple matching)
Analysis of molecular variation (19) was applied to evaluate population structure using squared Euclidean distances. Principal Coordinates Analysis (25) was carried out on the proximity matrix to order populations by similarity. Molecular and morphological data were correlated by Mantel test (45) and the Generalized Procrustes Analysis (15, 26). Percentage of consensus between the two ordinations (molecular and morphological) was calculated as a measure of association between the two groups of markers.
Accessions were grouped according to their morphological characteristics and molecular profiles by cluster analysis, implicating genetic distances of Gower and unweighted pair-group arithmetic average method (UPGMA) algorithm. The InfoGen version 2011 (7) and Genalex 6 (55) softwares were used.
RESULTS
Six from eight designed primers for C. pepo were selected. Two hundred fiftyfour primer combinations designed for C. melo were monomorphic and three polymorphic in C. maxima.
Only one primer combination of the three polymorphic ones, amplified consistently according to the conditions detailed in materials and methods. These results demonstrate the difficulty to transfer microsatellite marker between Cucumis and Cucurbita species.
Seven primer combinations (table 2, page 299) were finally selected to analyze all C. maxima accessions and controls (table 1, page 298). Thirty-one alleles with an average of 4.4 alleles per primer were obtained. Twenty six alleles were detected in C. maxima, and only five amplified exclusively in C. moschata and C. pepo accessions used as controls (table 1, page 298). One microsatellite marker (CP24) was monomorphic for all C. maxima accessions. However, it gave a differential band for C. pepo, becoming useful for discriminating this species (41).
Genetic variability
Genetic diversity estimated for all accessions of C. maxima reached an average value of 0.26 (0.007-0.66), Ho average for all seven loci was 0.17 (0-0.54), He of 0.23 (0-0.69), loci polymorphic percentage of 45.5%, and PIC 0.2 (0.007-0.61). Ho per locus was lower than He in all cases. Nevertheless, accessions 17, 53, 76, 127, 143, 195, 215, 225, 233, 244, 382 (table 1, page 298) had allele fixation indices (F) with average negative values over all seven loci, indicating a slight excess of heterozygous individuals.
Around eighty percent of the evaluated accessions were homozygous at five loci (CP25, CP33, CP46, CP52 and CP56). The difference between populations was given by the presence of certain combinations of fragments instead of being defined by unique fragments.
Forty eight percent of alleles were unique or rare, with frequencies below 5%. One allele was exclusive for C. moschata, four for C. pepo and three for C. maxima. Moreover, seven alleles resulted rare for C. maxima accession set (table 3).
Table 3. Unique or rare alleles found in the different species evaluated.
Tabla 3. Alelos raros o únicos encontrados en las diferentes especies evaluadas.

Some of these unique alleles allowed adjusting a routine technique in seed lots to discriminate an interspecific commercial hybrid between C. maxima and C. moschata (40).
Populations 22, 36, 53, 62, 127, 161, 225, 233, 382 and 523 significantly overcame the others in their values of genetic diversity, PIC, Ho and He (figure 3, page 302).
Figure 3. Average population profiles based on: Genetic Diversity, PIC, Ho, He and their corresponding standard errors.
Figura 3. Perfiles poblacionales promedio y sus errores estándar basados en los parámetros de Diversidad Genética, PIC, Ho, He.
In terms of population structure, a moderate differentiation in population allele frequencies (Fst 0.199) with a small to moderate non-random effect mating within populations (Fis 0.099) was observed.
Molecular analysis of variance (AMOVA) showed that the genetic variability (p <0.05) was large within accessions (82%). Coefficients Phi pop and Phi st (0.18) indicated a moderate differentiation among accessions and individuals from the same population, considering as high values those above 0.25. Regarding accessions diversity and their geographic origin in Argentina (Provinces), only 2.03 % of the variability is explained by this distribution, being this value not significant (p = 0.18). The degree of gene flow (Nm) was close to 1 (Nm = 0.88).
Biodiversity
Biodiversity indices showed Catamarca as the Argentinean Province with the highest allelic richness, with 22 of the 26 amplified alleles for C. maxima, followed by Salta and San Juan, both with 19 alleles. Catamarca also had the greatest value for the Shannon-Weaver index, surpassing the total mean value, followed by Jujuy and Salta in order of magnitude (table 4).
Table 4. Allelic richness (r) and Shannon- Weaver index (Shaw) by province.
Tabla 4. Riqueza alélica (r) e índice de Shannon-Weaver (Shaw) por provincia

The results found in Catamarca, Salta and Jujuy agree with values obtained in the number of polymorphic loci, genetic diversity, He and average number of alleles (figure 4, page 303).

Figure 4. Average provincial profiles based on genetic diversity, PIC, Ho, He, and their corresponding standard errors.
Figura 4. Gráfico de perfiles promedio provinciales, con sus errores estándar, de diversidad genética, PIC, Ho, He.
Genetic distances
Genetic distances among populations reached values ranging from 0.18 to 0.82, with an average of 0.50. In many cases, genetic distances between C. maxima populations were greater than the average distance between C. maxima and C. moschata species, used as control.
A subset of squash populations were dissimilar to the majority of the accessions and exceeded the average distance for all populations evaluated. This special subgroup included accessions 22, 36, 53, 62, 127, 161, 225, 233, 382 and 523 (figure 3).
Cluster analysis
The first three coordinates in Principal Coordinates Analysis (PCoA) explained 56% of observed variability (figure 5, page 304) and produced four accessions clusters.

Figure 5. Scatter plot of 27 populations of C. maxima and 4 controls.
Figura 5. Gráfico de dispersión de 27 poblaciones de C. maxima y 4 testigos.
First coordinate grouped accessions based on genetic diversity parameters: group number 1 (G1) included accessions 62, 127 and 161 from Catamarca, which recorded the highest number of alleles (21), greater number of effective alleles (2.04), genetic diversity (0.43) and He (0.48).
A core group (G2) with intermediate characteristics of diversity included accessions 22, 36, 523, 382; with 15 alleles and average genetic diversity values of 0.3, Ho of 0.31, He of 0.34, an average number of 2.1 alleles and 1.56 effective alleles. The third group (G3) was the least diverse including the majority of the accessions and controls of C. maxima and C. moschata species. This group had 10 alleles and a lower value of polymorphic loci of 0.22 % versus 0.86 % found in the previous groups. The genetic diversity of G3 was 0.1, Ho of 0.09, He of 0.11, average number of alleles was 1.45 and 1.27 effective alleles. The second coordinate ordered the depending on the number of shared alleles. Accessions 233, 225, 53 and C. pepo accession formed group 4 (G4), differing from the previous clusters and sharing five of the eight alleles present in C. pepo. However, this last control presented lower diversity values than the rest of the accessions of G4. The third coordinate separated accessions 17, 62, 173 and 184 for sharing a rare heterozygous genotype for the CM22 marker with two alleles of 168 and 185 bp (figure 5, page 304).
Generalized Procrustes Analysis, based on previous morphological data (41, 42, 43, 56) and molecular information, explained 78.7% of the variability in the first two axes. Ordering consensus between molecular and morphological markers was moderate (73.65%), in addition 14 of the 27 populations showed a consensus order below means (73.65%). Both, molecular and morpho- logical markers discriminated against the two controls belonging to C. maxima from the set of populations: Marino FCA differed to a greater extent at morphological level and Veronés INTA at molecular level.
A cluster analysis was also performed using morphological and molecular data. Interestingly, four clusters of accessions were also generated, mainly explained by fruit traits, growth habit, and type of consumption (figure 6, page 306).

Figure 6. Cluster analysis based on morphological and molecular traits of 27 C. maxima accessions and two controls: ‘Marino FCA’ and ‘Veronés INTA’ C. maxima.
Figura 6. Análisis de conglomerados de 27 entradas de C. maxima y dos testigos de la misma especie: Marino FCA y Veronés INTA, utilizando caracteres morfológicos y moleculares.
Molecular genetic variability was taken in consideration in second place.
Cluster 1 included accessions from C. maxima var. zapallito “zapallito redondo del tronco”, with an average genetic diversity of 18%, 40% of polymorphic loci and 10.75 average alleles per accession.
Cluster 2 included entries with mixtures of commercial types; genetic diversity reached 7%, 14.3% polymorphic loci and eight average alleles per accession. Cluster 3 included accessions with long vines and winter fruits type with a genetic diversity average of 11.3 %, 26 % polymorphic loci and 10.41 alleles per accession.
Cluster 4 included those entries with larger winter fruits and greatest genetic variability; genetic diversity averaged 35.7%, 85.75% of the loci were polymorphic and amplified 17 alleles per accession on average.
DISCUSSION
The Argentinean squashes landraces from different Andean environments are characterized for the first time by molecular markers and now preserved in the Vegetable Crop Germplasm Bank of EEA La Consulta, Mendoza, which belongs to the National Network of Germplasm Collections, INTA. An initial screening of microsatellite from C. pepo and C. melo allowed the selection of proper markers to use in C. maxima diversity analysis. A technique for generating amplification products and detecting useful markers for conservation of C. maxima genetic resources in germ- plasm banks, was developed. These results will facilitate future work in molecular studies.
The transferability of microsatellite markers between C. maxima and C. melo was very low, but one selected microsatellite effectively segregated C. moschata accession, and was useful in interspecific hybrid detection for breeding programs (39).
Most, diversity values were similar to the ranges found in other Cucurbitaceae studies (8, 20, 60, 67), and lower than those obtained by Lv et al. 2012, Mashilo et al. (2016) and Kong et al. 2014.
Meanwhile, Hamrick and Godt (1996) suggested a polymorphic loci ratio of 40% and an expected heterozygosity of 0.168 for Cucurbitaceae, similar to those found in the Argentinean accessions evaluated.
High frequency of homozygous genotypes for loci CP25, CP33, CP46, CP52 and CP56 suggests a tendency of allele fixation by mating between relatives. The small size of C. maxima populations grown in orchards of Andean farmers could favor inbreeding.
Rare alleles found are of great interest for the improvement and preservation of biodiversity given that they match with genetically diverse entries. Moreover, the presence of unique alleles allowed differentiating related species such as C. maxima, C. moschata and C. pepo. These rare alleles may also be useful to assess gene flow, pollen, and seed contamination, and to facilitate identification of duplicates and unique accessions in gene banks. Speciesspecific alleles for Cucurbita species were also observed by Ferriol et al. (2003) and Kazminska et al. 2017.
Genetic differentiation among entries and among individuals within the same accession was moderate (Phi st and Phi pob 0.18), coinciding with the results obtained by Andrés (1990), Cerón González et al. (2010), and Decker-Walters et al. (1990) within the genus Cucurbita. The degree of gene flow, close to one, indicates that genetic drift acts independently and may generate population differentiation. Migration rate and genetic drift act in equivalent magnitudes. Genetic drift is favored by the gradual reduction in the number and size of C. maxima cultivated populations as well as by anthropic selection. On the other hand, gene flow acts as a force that maintains genetic cohesion between populations (17, 57). Different results were found by Mashilo et al. (2016) in Lagenaria siceraria (Molina) Standl. with low differentiation levels justified by the high levels of genetic flow.
Observed variability was concentrated at intra population level (82%), coinciding with previous studies in related species as Citrullus lanatus L. (49) and C. moschata (9). Reproductive system of C. maxima propitiates intra population diversity because of its flower protandry, high fertility, monoecious structure and entomophily pollination. Moreover, Cucurbitaceae natural seed dispersal is carried out by animals that consume their fruits and disperse them with their feces. Farmer’s management includes diversification strategies for food production supporting the observed intra population diversity observed. These strategies include cultivating diverse C. maxima varieties and other cucurbit species simultaneously inside the orchard without reproductive barriers, and selecting cultivars for their different qualities for consumption, conservation features, and resistance to pests, drought and diseases.
Closest populations generally tend to be similar as geographical proximity favors gene flow. However, a consistent pattern for this statement, is not observed. There is no linear spatial structuring of the observed genetic diversity and no evidence of isolation by distance, meaning that population genetic differentiation, is not explained by geographic distance. These results agree with those obtained by Montes-Hernández and Eguiarte (2002), who pointed out the high potential for pollen dispersion of Cucurbita genus despite having specific pollinators.
In addition, the farmer’s tradition of seed exchange, deeply anchored in Andean culture, contributes to generate genetic diversity in family orchards. Thus, geographical isolation of farmers in some high Andean valleys of northwestern Argentina, mainly in Salta and Jujuy, seems to lack the effect of promoting greater differentiation among accessions found in different areas. The results differ from those of Nanoumé et al. (2013), who studied watermelon landraces from Mali founding positive correlation between genetic distances and geographical ones, indicating “that seed exchange has not been so widely used that it can overcome local adaptation”.
Biodiversity indices point Catamarca and Jujuy as the Provinces with the greatest genetic diversity for cultivated squashes. These results are consistent with Vavílov (1931), who postulate the region of the tropical Andes, including NW Argentina, as the center of origin of C. maxima. Higher genetic diversity at molecular level in NWA region was also evident at the morphological level (41, 43); particularly in Calchaquíes valleys region (Catamarca, Jujuy) where probably some factors allow greater genetic differentiation. Environmental conditions where temperate climate prevails, with an average altitude of 1200 m and access to irrigation, may promote the establishment of larger orchards where the effects of genetic drift are attenuated.
Values of biological diversity observed for 27 accessions of Cucurbita maxima were higher than those found by Ceron González et al. (2010) for Cucurbita argyrosperma Huber, Cucurbita ficifolia Bouché, C. moschata, and C. pepo. Indices of genetic and biological diversity, in general, had a wide range of variation among entries. Most accessions showed an excess of homozygotes relative to what would be expected if populations were in Hardy-Weinberg equilibrium, revealing loss of genetic variability. This phenomenon favors fertility decline, and lower adaptative capacity.
However, a subset of ten entries (22, 36, 53, 62, 127, 161, 225, 233, 382 and 523) showed a slight excess of heterozygotes. These entries had significantly higher diversity indices, showed rare and unique alleles and constituted unique gene pools. These features place them in an advantageous position against environmental changes that exert selective pressure on C. maxima. Also, these entries result interesting for suggesting progenitors for hybrid varieties, and inferring evolutionary and crop management phenomena.
Genetic distances were similar to those found by Ferriol et al. (2003) and higher than the ones in Baranek et al. (2000) and Gong et al. (2013) for C. maxima. They were also higher than the ones of Ntuli et al. (2015) for C. pepo, Kong et al. (2014) for C. maxima and C. moschata, and Wu et al. (2011) for C. moschata.
In many cases, genetic distances between populations of C. maxima was greater than the average distance between C. maxima and the control (C. moschata species). These results may indicate the presence of interspecific gene flow between C. maxima and C. moschata due to the tradition of cultivating different different, altogether in orchards. Decker- Walters et al. (1990) mentioned the natural formation of interspecific hybrids between C. maxima and C. moschata. Therefore the existence of these hybrids within the set of studied populations, is feasible.
No clear association was found between molecular and morphological markers. This lack of correlation corroborates that the used molecular markers, were designed from genomic libraries enriched in microsatellites (65, 68). Markers obtained by this method are generally found in unexpressed genomic regions.
Generalized Procrustes Analysis allowed a wide interpretation of the relationships between accessions and to get a better description of the genetic diversity (12). Molecular markers discriminated populations of C. maxima better than morphological ones. There is a tendency that the most vigorous and larger fruit populations express higher genetic diversity. However, the population number 382 resulted to be one of the most diverse of the collection, even though it belongs to C. maxima var. zapallito (“zapallito redondo del tronco”). This result may be due to the significantly lower number of populations of this commercial type, representing 3 out of the 27 populations evaluated.
Molecular diversity was lower than morphological diversity. Despite of the great range of morphotypes and agroecological adaptation of C. maxima native populations, its genetic base is not as wide as expected. These results agree with other native plant species of South America, such as bean (Phaseolus vulgaris L.) (5), peanut (Arachis hypogea L.) (28), and maize (Zea mays L.), where many races with different morphological characteristics are observed, but are genetically closely related (11). Results indicate that the Andean populations of C. maxima derived from one or a few wild populations of C. maxima subsp. andreana, possibly domesticated in the humid lowlands of Bolivia and in warm temperate areas of South America (61). The morphological diversity observed would be the result of species adaptation to Andean heterogeneous ecological environments, and anthropic selection.
CONCLUSION
Microsatellite markers revealed moderate genetic diversity among 27 C. maxima landraces from different Andean environments. Genetic diversity, both between (18%) as within populations (82%) was found. A subset of ten entries showed significantly higher diversity indices, constituiting unique gene pools.
This evaluation will allow the incorporation of C. maxima populations in breeding programs; facilitate its management in the Vegetable Crop Germplasm Bank of INTA EEA La Consulta; enable broadening the species genetic base, raise core collections, and aid in planning future collecting expeditions. Moreover, it will enable to establishing in situ and ex situ conservation strategies and promote its use by the Andean communities.
1. Andrés, T. C. 1990. Biosystematics, theories on the origin and breeding potential of Cucurbita ficifolia. In: Bates D.M. (ed) Biology and Utilization of the Cucurbitaceae. Edited by D.M. Bates. Comstock Publishing Associates. Ithaca. New York. 102-119 p.
2. Asprelli, P. D.; Lorello, I. M.; Occhiuto, P. N.; Togno L. S.; Makuch M. A.; García Lampasona, S. C.; Peralta, I. E. 2012. First collection of landrace vegetable crops cultivated in Valle Fértil, Argentina. Agriscientia. 29: 41-50.
3. Asprelli, P. D.; Occhiuto, P. N.; Makuch M. A.; Lorello, I. M.; Togno L. S.; García Lampasona, S. C.; Peralta I. E. 2011. Recolección de germoplasma criollo de especies cultivadas y su distribución en regiones andinas de Argentina. Horticultura Argentina. 30(71).
4. Athanasios, L.; Tsivelikas, A. L.; Koutita, O.; Anastasiadou, A.; Skaracis, G. N.; Traka-Mavrona, E.; Koutsika-Sotiriou, M. 2009. Description and analysis of genetic diversity among squash accessions. Braz Arch Biol Technol. 52: 271-283. doi: 10.1590/S1516- 89132009000200003.
5. Balarezo, J. C.; Camarena Mayta, F.; Baudoin, J. P.; Huaringa Joaquin, A.; Blas Sevillano, R. 2009. Evaluación agromorfológica y caracterización molecular de la ñuña (Phaseolus vulgaris L.). Idesia (Chile). 27: 29-40. doi: 10.4067/S0718-34292009000100005.
6. Balkaya, A.; Özbakir, M.; Kurtar E. S. 2010. The phenotypic diversity and fruit characterization of winter squash (Cucurbita maxima) populations from the Black Sea Region of Turkey. African Journal of Biotechnology. 9 (2): 152-162. Available in://www. academicjournals.org/AJB.
7. Balzarini, M. G.; Di Rienzo, J. A. 2011. InfoGen versión 2011. FCA, Universidad Nacional de Córdoba. Argentina. Available in: http://www.info-gen.com.ar. [accessed 28 October 2015].
8. Baranek, M.; Stift, G.; Vollmann, J.; Lelley, T. 2000. Genetic diversity within and between the species Cucurbita pepo, C. moschata and C. maxima as revealed by RAPD markers. Cucurbit Genet Coop Rpt. 23: 73-77.
9. Barboza, N.; Albertazzi, F. J.; Sibaja-Cordero, J. A.; Mora-Umaña, F.; Astorga, C.; Ramírez, P. 2012. Analysis of genetic diversity of Cucurbita moschata (D.) germplasm accessions from Mesoamerica revealed by PCR SSCP and chloroplast sequence data. Scientia Hort. 134:60-71. doi:10.1016/j.scienta.2011.10.028.
10. Benítez Burraco, A. 2005. Avances recientes en biotecnología vegetal e ingeniería genética de plantas. Reverté S. A. Barcelona.
11. Blas, R.; Ribaut, J.; Warburton, M.; Chura, J.; Sevilla, R. 2002. Análisis molecular de razas de maíz peruano con marcadores AFLP y microsatélites. In: Simposium: El mejoramiento genético de las plantas en el Perú. Sociedad Peruana Genética. 3: 241-250.
12. Bramardi, S. J.; Bernet, G. P.; Asíns, M. J.; Carbonell, E. A. 2005. Simultaneous agronomic and molecular characterization of genotypes via the generalised procrustes analysis: an application to cucumber. Crop Sci 45: 1603-1609. doi: 10.2135/cropsci2004.0633.
13. Brown, R. N.; Myers, J. R.; Hutton, M.; Miller, P. 1998. A simple protocol for isolating DNA from fresh Cucurbita leaves. Cucurbit Genet Coop Rpt. 21: 46-47.
14. Carloni, E.; López Colomba, E.; Ribotta, A.; Quiroga, M.; Tommasino, E.; Griffa, S.; Grunberg, K. 2018. Analysis of genetic variability in vitro regenerated buffelgrass plants through ISSR molecular markers. Revista de la Facultad de Ciencias Agrarias. Universidad Nacional de Cuyo. Mendoza. Argentina. 50(2): 1-13.
15. Cerón González, L.; Legaria Solano, J. P.; Villanueva Verduzco, C.; Sahagún Castellanos, J. 2010. Diversidad genética en cuatro especies mexicanas de calabaza (Cucurbita spp.). Rev Fitotec Mex. 33: 189-196.
16 Decker-Walters, D. S.; Walters, T. W.; Poluszny, U.; Kevan, P. G. 1990. Genealogy and gene flow among annual domesticated species of Cucurbita. Can J Bot. 68: 782-789.
17. Ellstrand, N. C. 2014. Is gene flow the most important evolutionary force in plants? American Journal of Botany. 101(5): 737–753. doi: 10.3732/ajb.1400024. http://www.amjbot. org/ © 2014 Botanical Society of America.
18. Esteras, C.; Gómez P.; Monforte A. J.; Blanca J.; Vicente-Dólera N.; Roig C.; Nuez F.; Picó, B. 2012. High-throughput SNP genotyping in Cucurbita pepo for map construction and quantitative trait loci mapping. BMC Genomics. 13:80. Available from http://www. biomedcentral.com/1471-2164/13/80. [accessed 13 November 2017].
19. Excoffier, L.; Smouse, P.; Quattro, J. 1992. Analysis of molecular variance inferred from metric distances among DNA haplotypes: application to human mitochondrial DNA restriction data. Genetics. 131: 479-491.
20. Ferriol, M.; Picó, B.; Nuez, F. 2003. Genetic diversity of some accessions of Cucurbita maxima from Spain using RAPD and SBAP markers. Genet Resources Crop Evolution. 50: 227-238.
21. Ferriol, M.; Picó, B.; Nuez, F. 2004. Morphological and molecular diversity of a collection of Cucurbita maxima landraces. J Amer Soc Hort Sci. 129: 60-69.
22. Ferriol, M.; Picó, B. 2008. Pumpkin and winter squash. In Handbook of Plant Breeding Vegetables I Part 4. Volume 1. Edited by: Prohens J, Nuez, F. Springer. 317-349.
23. Friedman, M. 1937. The use of ranks to avoid the assumption of normality implicit in the analysis of variance. J Amer Stat Assn. 32: 675-701.
24. Gong, L.; Paris, H. S.; Stift, G.; Pachner, M.; Vollmann, J.; Lelley, T. 2013. Genetic relationships and evolution in Cucurbita as viewed with simple sequence repeat polymorphisms: the centrality of C. okeechobeensis. Genet Resour Crop Evol. 60:1531-1546. DOI: 10.1007/ s10722-012-9940-5.
25. Gower, J. C. 1967. Multivariate analysis and multidimensional geometry. Statistician. 17: 13-28.
26. Gower, J. C. 1975. Generalized procrustes analysis. Psychometrika. 40: 33-51.
27. Guzmán, L.; Ávila, G.; Céspedes, M. 2001. Lista de Descriptores de Cucurbita. En Catálogo de recursos genéticos bolivianos de: Amaranthus, Capsicum, Cucurbitaceae, Lupinus y Phaseolus: conservados en el banco de germoplasma del Centro de Investigaciones Fitoecogenéticas de Pairumani. Edited by Centro de Investigaciones Fitoecogenéticas de Pairumani (ed). Catálogo de recursos genéticos bolivianos de: Amaranthus, Capsicum, Cucurbitaceae, Lupinus y Phaseolus: conservados en el banco de germoplasma del Centro de Investigaciones Fitoecogenéticas de Pairumani. Cochabamba. 69-79 p.
28. Halward, T.; Stalker, T.; Larue, E.; Kochert, G. 1992. Use of single primer DNA amplifications in genetic studies of peanut (Arachis hypogea L.). Plant Mol Biol. 18: 315-325.
29. Hamrick, J. L.; Godt, M. J. W. 1996. Conservation genetics of endemic plant species. In Conservation genetics case histories from nature. Edited by J. C. Avise and J. L. Hamrick (eds) Conservation genetics case histories from nature. Chapman & Hall, New York. 281-304 p.
30. Heikal, A. H.; Abdel-Razzak, H. S.; Hafez, E. E. 2008. Assessment of genetic relationships among and within Cucurbita species using RAPD and ISSR markers. J Appl Sci Res. 4(5): 515-525.
31. Jaeger de Carvalho, L. M.; Barros Gomes, P.; de Oliveira Godoy, R. L.; Pacheco S.; Fernandes do Monte, P. H.; Viana de Carvalho, J. L.; Regini Nutti, M.; Lima Neves A. C.; Rodrigues Alves Vieira, A. C.; Rabelo Ramalho Ramos, S. 2012. Total carotenoid content, α-carotene and β-carotene, of landrace pumpkins (Cucurbita moschata Duch): A preliminary study. Food Research International. 47: 337-340.
32. Kalia, R. K.; Rai, M. K.; Kalia, S.; Singh, R.; Dhawan, A. K. 2011. Microsatellite markers: an overview of the recent progress in plants. Euphytica. 177: 309-334. doi: 10.1007/ s10681-010-0286-9.
33. Kazmińska, K.; Sobieszek, K.; Targońska, M.; Korzeniewska, A.; Niemirowicz-Szczytt, K.; Bartoszewski, G. 2016. Genetic diversity analysis of winter squash (Cucurbita maxima Duchesne) accessions using SSR markers. In Cucurbitaceae 2016, XIth Eucarpia Meeting on Cucurbit Genetics & Breeding, Warsaw. Poland. Edited by Kozik, E. U.; Paris, H. S. p. 210-213.
34. Kazmińska K.; Sobieszek, K.; Targońska-Karasek, M.; Korzeniewska, A.; Niemirowicz-Szczytt, K.; Bartoszewski, G. 2017. Genetic diversity assessment of a winter squash and pumpkin (Cucurbita maxima Duchesne) germplasm collection based on genomic Cucurbitaconserved SSR markers. Scientia Horticulturae 219 (2017) 37-44. Available in: http:// dx.doi.org/10.1016/j.scienta. 2017.02.035.
35. Kimura, M.; Crow, J. F. 1964. The number of alleles that can be maintained in a finite population. Genetics. 49: 725-738.
36. Kong, Q.; Chen, J.; Liu, Y.; Ma, Y.; Liu, P.; Wu, S.; Huang, Y.; Bie, Z. 2014. Genetic diversity of Cucurbita rootstock germplasm as assessed using simple sequence repeat markers. Scientia Horticulturae 175: 150-155. Available in http://www.sciencedirect.com/science/ article/pii/S0304423814003252?via%3Dihub. [accessed 10 December 2017].
37. Kozub, P. C.; Barboza, K.; Cavagnaro, J. B.; Cavagnaro, P. F. 2018. Development and characterization of SSR markers for Trichloris crinita using sequence data from related grass species. Revista de la Facultad de Ciencias Agrarias. Universidad Nacional de Cuyo. Mendoza. Argentina. 50(1): 1-16.
38. Lira, R. 1995. Estudios taxonómicos y ecogeográficos de las Cucurbitaceae latinoamericanas de importancia económica: Cucurbita, Sechium, Sicana y Cyclanthera. In Systematic and Ecogeographic Studies on Crop Gene Pools N° 9. International Plant Genetic Resources Institute. Rome. 1-115 p.
39. Lorello, I. M.; Leite, T.; García Lampasona, S.; Salles Cortopassi Buso, G. 2009. Transferencia de Marcadores microsatélites desarrollados en Cucumis melo para su utilización en Cucurbita maxima y Cucurbita moschata. VII Simposio Nacional de Biotecnología REDBIO-Argentina y II Congreso Internacional de Biotecnología Vegetal. Rosario. 138 p.
40. Lorello, I. M.; García Lampasona, S.; Della Gáspera, P. G. 2010. Identificación molecular del híbrido interespecífico Aconcagua INTA, obtenido del cruzamiento entre las líneas LC1 (Cucurbita maxima) y LC2 (Cucurbita moschata). XIV Congreso Latinoamericano de Genética ALAG 2010. Viña del Mar. 23 p.
41. Lorello, I. M. 2012. Recolección, conservación y caracterización morfológica y molecular de poblaciones “criollas” de zapallo (Cucurbita maxima) colectadas en los valles andinos de la Argentina. Phd thesis, Dissertation Abstracts 98. Programa de Doctorado en Biología (PROBIOL). Universidad Nacional de Cuyo. Mendoza.
42. Lorello, I. M.; García Lampasona S. C.; Peralta I. E. 2013. Caracterización de zapallos criollos (Cucurbita maxima Duch.), colectados en Valle Fértil, San Juan, y en el Noroeste argentino. XXXVI Congreso Argentino de Horticultura ASAHO y II Congreso Internacional de Plásticos Agrícolas. Tucumán. 298 p.
43. Lorello, I. M.; García Lampasona, S. C.; Makuch M. A.; Peralta I. E. 2016. Caracterización morfoagronómica de poblaciones de zapallo criollo (cucurbita maxima Duch.) colectadas en los valles andinos de la Argentina. Agriscientia. 33 (1): 46-59. Available in http:// www.scielo.org.ar/scielo.php?script=sci_arttext&pid=S1668-298X2016000100005. [accessed 14 November 2017].
44. Lv, J.; Qi, J.; Shi, Q.; Shen, D.; Zhang, S.; Shao, G.; Li, H.; Sun, Z.; Weng, Y.; Shang, Y.; Gu, X.; Li, X.; Zhu, X.; Zhang, J.; van Treuren, R.; van Dooijeweert, W.; Zhang, Z.; Huang, S. 2012. Genetic Diversity and Population Structure of Cucumber (Cucumis sativus L.). PLoS ONE 7(10): e46919. doi:10.1371/journal.pone.0046919.
45. Mantel, N. A. 1967. The detection of disease clustering and a generalized regression approach. Cancer Res. 27: 209-220.
46. Mashilo, J.; Shimelis, H.; Odindo, A.; Amelework, B. 2016. Genetic diversity of South African bottle gourd [Lagenaria siceraria (Molina) Standl.] Landraces revealed by simple sequence repeat markers. Hort Science 51(2): 120-126.
47. Millán, R. 1945. Variaciones del zapallito amargo Cucurbita andreana y el origen de Cucurbita maxima. Revista Argentina de Agronomía. 12: 86-93.
48. Montes-Hernández, S.; Eguiarte, L. E. 2002. Genetic structure and indirect estimates of gene flow in three taxa of Cucurbita (Cucurbitaceae) in western Mexico. Amer J Bot. 89: 1156-1163.
49. Mujaju, C.; Sehic, J.; Werlemark, G.; Garkava-Gustavsson, L.; Fatih, M.; Nybom, H. 2010. Genetic diversity in watermelon (Citrullus lanatus) landraces from Zimbabwe revealed by RAPD and SSR markers. Hereditas. 147: 142-153.
50. Nantoume, A. D.; Andersen, S. B.; Jensen, B. D. 2013. Genetic differentiation of watermelon landrace types in Mali revealed by microsatellite (SSR) markers. Genet Resour Crop Evol (2013) 60: 2129-2141. DOI: 10.1007/s10722-013-9980-5.
51. Nee, M. 1990. The domestication of Cucurbita (Cucurbitaceae). Economic Bot. 44: 56-68.
52. Nei, M. 1973. Analysis of gene diversity in subdivided populations. Proc Natl Acad Sci USA. 70 (12, part I): 3321-3323.
53. Nei, M. 1978. Estimation of average heterozygosity and genetic distance from a small number of individuals. Genetics. 89: 583-590.
54. Ntuli, N. R.; Tongoona, P. B.; Zobolo, A. M. 2015. Genetic diversity in Cucurbita pepo landraces revealed by RAPD and SSR markers. Scientia Hort. 189: 192-200. doi:10.1016/j. scienta. 2015.03.020.
55. Peakall, R.; Smouse, P. E. 2006. Genalex 6: genetic analysis in Excel. Population genetic software for teaching and research. Mol Ecol Notes. 6:288-295. doi: 10.1111/j.1471- 8286.2005.01155.x.
56. Peralta, I. E.; Makuch, M.; García Lampasona, S.; Occhiuto, P. N.; Asprelli, P. D.; Lorello, I. M.; Togno, L. 2008. Catálogo de poblaciones criollas de pimiento, tomate y zapallo colectadas en valles andinos de la Argentina. Instituto Nacional de Tecnología Agropecuaria (Editors). Mendoza, Argentina.
57. Piñero, D.; Barahona, A.; Eguiarte, L.; Rocha Olivares, A.; Salas Lizana, R. 2008. La variabilidad genética de las especies: aspectos conceptuales y sus aplicaciones y perspectivas en México. In Capital natural de México. vol. I: Conocimiento actual de la biodiversidad. Conabio. México. 415-424 p.
58. Popenoe, H.; King, S. R.; León, J.; Kalinowski, L. S. 1990. Lost Crops of the Incas. Natl Academy Press, Washington.
59. Rahman, A. H. M. M.; Anisuzzaman, M.; Ahmed, F.; Rafiul Islam, A. K. M.; Naderuzzaman, A. T. M. 2008. Study of nutritive value and medicinal uses of cultivated Cucurbits. J Appl Sci Re. 4(5): 555-558.
60. Restrepo, J. A.; Franco, A.; Vallejo, C. 2008. Caracterización molecular de introducciones colombianas de zapallo Cucurbita moschata. Acta Agronómica. 57(1): 9-17.
61. Sanjur, O. I.; Piperno, D. R.; Thomas, C. A.; Wessel-Beaver, L. 2002. Phylogenetic relationships among domesticated and wild species of Cucurbita (Cucurbitaceae) inferred from a mitochondrial gene: implications for crop plant evolution and areas of origin. Proc Natl Acad Sci USA. 99(1): 535-540. doi: 10.1073/pnas.012577299.
62. Schuelke, M. 2000. An economic method for the fluorescent labeling of PCR fragments. A poor man’s approach to genotyping for research and high-throughput diagnostics. Nature Biotechnol. 18: 233-234. doi:10.1038/72708.
63. Shannon, C. E.; Weaver, W. 1949. The mathematical theory of communication. Univ IL Press Urbana.
64. Sikdar, B.; Bhattacharya, M.; Mukherjee, A.; Banerjee, A.; Ghosh, E.; Ghosh, B.; Roy, S. C. 2010. Genetic diversity in important members of Cucurbitaceae using isozyme, RAPD and ISSR markers. Biologia Plantarum 54 (1): 135-140.
65. Silva Ritschel, P.; De Lima Lins, T. C.; Tristan, R. L.; Salles Cortopassi Buso, G.; Buso, J. A.; Ferreira, M. E. 2004. Development of microsatellite markers from an enriched genomic library for genetic analysis of melon (Cucumis melo L.) BMC Plant Biol. 4:9. doi:10.1186/1471- 2229-4-9.
66. Sokal, R. R.; Michener, C. D. 1958. A statistical method for evaluating systematic relationships. Univ Ks Scientific Bul. 38: 1409-1438.
67. Staub, J. E.; López-Sesé, A. I.; Fanourakis, N. 2004. Diversity among melon landraces (Cucumis melo L.) from Greece and their genetic relationships with other melon germplasm of diverse origins. Euphytica. 136:151-166. doi: 10.1023/B:EUPH.0000030667.63614.bd.
68. Stift, G.; Zraidi, A.; Lelley, T. 2004. Development and characterization of microsatellite markers (SSR) in Cucurbita species. Cucurbit Genet Coop Rpt. 27: 61-65.
69. Vavílov, N. I. 1931. The problem of the origin of the world's agriculture in the light of the latest investigations. In: Science at the Crossroads: Papers Presented to the International Congress of the History of Science and technology, London. 97-106 p. Available in:// www.marxists.org/subject/science/essays/vavilov.htm#a1 [Accessed 4 March 2012].
70. Wright, S. 1951. The genetical structure of populations. Ann Eugenics. 15: 323-354.
71. Wu, J.; Chang, Z.; Wu, Q.; Zhan, H.; Xie, S. 2011. Molecular diversity of Chinese Cucurbita moschata germplasm collections detected by AFLP markers. Scientia Horticulturae 128: 7-13. https://doi.org/10.1016/j.scienta.2010.12.006.
ACKNOWLEDGMENTS
We thank Rafael Bottero for elaborating the map used in this work and Cecilia Bruno for statistical advice.
We also thank Gláucia Salles Cortopassi Buso who kindly provided some primer sequences, Pedro Della Gaspera for sharing his huge knowledge about squash culture and María Virginia Sánchez Puerta for their contributions to the manuscript.
The following projects financed this work: Proyecto de Investigación Científica y Tecnológica Orientado (PICT-O 2002 N ° 08-12903) Recuperación, Evaluación y Aprovechamiento Social del Germoplasma “Criollo” de Hortalizas en Regiones Andinas. Agencia Nacional de Promoción Científica y Tecnológica (ANPCYT), Secretaría de Ciencia, Tecnología e innovación Productiva (SECTYP), UNCuyo and INTA. Filogeografía e implementación de un sistema de monitoreo molecular de la identidad genética de cultivos andinos (INTA-AEBIO 2443 (EPPR), 2006-2008). This paper is part of Inés María Lorello Ph D. thesis in Biological Sciences, UNCuyo. August 2012.