Revista de la Facultad de Ciencias Agrarias. Universidad Nacional de Cuyo. Tomo 54(1). ISSN (en línea) 1853-8665. Año 2022.
Original article
Impact of paclobutrazol on gibberellin-like substances and soluble carbohydrates in pear trees grown in tropical semiarid
Impacto del paclobutrazol en sustancias similares a la gibberelina y carbohidratos solubles en peras cultivadas en el semiárido tropical
Kellem Ângela de Sousa Oliveira 1
Paulo Roberto Coelho Lopes 2
Jenilton Cunha Filho 1
Luan dos Santos Silva 4
Emmanuella Chiara Valença Pereira 5
Jackson Teixeira Lobo da Silva 6
1 Federal University of Piauí. Department of Agricultural Sciences. BR 135 km 3. Planalto Horizonte. Bom Jesus. Piauí State. 64980000. Brazil.
2 Brazilian Agricultural Research Corporation. Agricultural Research Center of the Semi Arid Tropic. BR 428. Km 152. Zona Rural. Petrolina. Pernambuco state. 56302970. Brazil.
3 Federal University of the São Francisco Valley. Department of Agricultural Sciences. Rodovia BR 407 - KM 12 - Lote 543 PSNC. s/nº - C1 Petrolina. Pernambuco State. 56.300-990. Brazil.
4 State University of the North Fluminense Darcy Ribeiro. Department of Vegetables Production. Campos dos Goytacazes, Rio de Janeiro State. Av. Alberto Lamego. 2000 - Parque Califórnia. 28.013-602. Brazil.
5 Federal University of São Francisco. Central for Analysis of Drugs. Medicines and Food. Avenida José de Sá Maniçoba. S/N. Petrolina. Pernambuco state. 56304-205.Brazil.
6 Federal University of Paraíba. Department of Phytotechnics and Environmental Sciences. Rodovia PB 079 - Km 12. Areia. Paraíba State. 58.397-000. Brazil.
* italo.cavalcante@univasf.edu.br
Abstract
Given that Brazilian pear production is unable to meet the annual demand, to consider the possible expansion to non-traditional growing regions, turns interesting. Even though under tropical semi-arid conditions pear trees have vigorous vegetative growth, a negative influence on flower bud differentiation and formation affects fruit yield. Our study aimed to evaluate the inhibition efficiency of paclobutrazol (PBZ) on gibberellin biosynthesis, vegetative growth, and carbohydrate production in two pear-tree cultivars (‘Santa Maria’ and ‘Hosui’) grown under semi-arid conditions. To this end, two experiments were conducted, one for each pear-tree cultivar. The experimental designs consisted of randomized blocks, with factorial arrangement (5x2x4), corresponding to PBZ doses (0.0, 0.5, 1.0, 1.5, and 2.0 g per linear meter of plant canopy), PBZ application forms (soil and foliar), and evaluation dates (30, 60, 90, and 120 days after application). Both soil and foliar applications inhibited gibberellin biosynthesis in both cultivars, especially after 120 days of application. PBZ affected leaf total soluble carbohydrates and reduced sprout growth in both cultivars. Although PBZ can be potentially used in pear management, further studies are still required to determine specific management practices in tropical semi-arid zones.
Keywords: Pyrus sp.; Growth regulator; Gibberellic acid; PBZ.
Resumen
Debido a que en Brasil, la producción de peras es reducida en relación con la demanda anual, la expansión del cultivo a regiones no tradicionales es esencial. En condiciones tropicales semiáridas, el peral presenta un crecimiento vegetativo vigoroso que influye negativamente en la diferenciación floral, en el desarrollo de yemas florales y en consecuencia, en el rendimiento de frutos. Este estudio tuvo como objetivo evaluar la eficiencia del paclobutrazol (PBZ) en la inhibición de la biosíntesis de giberelinas y en la producción de carbohidratos en cultivares de pera ‘Santa Maria’ y ‘Hosui’, en condiciones semiáridas. Se realizaron dos experimentos, uno para cada cultivar. El diseño experimental consistió en bloques al azar, con arreglo factorial (5x2x4) según dosis del PBZ (0,0; 0,5; 1,0; 1,5 y 2,0 g por metro lineal de canopia), forma de aplicación del PBZ (edáfica o foliar) y fechas de evaluación (30, 60, 90 y 120 días después de la aplicación del PBZ). La aplicación de PBZ a través del suelo o las hojas inhibe la biosíntesis de giberelinas en los cultivares de pera ‘Santa Maria’ y ‘Hosui’, afectando los niveles de carbohidratos solubles en hojas totales y reduce el crecimiento de brotes para ambos cultivares. Aunque el PBZ se podría utilizar en el manejo del peral, se requieren más estudios para determinar prácticas de manejo específicas en zonas tropicales semiáridas.
Palabras clave: Pyrus sp.; Regulador del crecimiento; Acido giberélico; PBZ.
Originales: Recepción: 07/10/2020
Aceptación: 10/02/2022
Introduction
Pear (Pyrus sp.) belongs to the Rosaceae family, comprising more than twenty species of European (Pyrus communis L.) and Asian (Pyrus pyrifolia) origins (27). It is worldwide grown and appreciated, mainly for fresh fruit consumption (12, 13). In Brazil, pear cultivation is concentrated in the southern region. However, production is small in relation to the Brazilian demand, and raising imports may reach up to 90% of the total demand (18).
The São Francisco Valley is considered one of the main fresh fruit producing and exporting regions in Brazil, with an increasing production potential, mainly given by market harvest windows that differ from those of traditional producing regions. Therefore, fruits can be made available at times of high market demand (26, 34).
The São Francisco Valley is located in a semi-arid tropical region. In this condition, pear trees growing under high temperatures and constant irrigation do not stop their metabolic functions during the cycle, accelerating branching (25). Vigorous shoot growth impedes light from reaching the inside of canopies, affecting differentiation and formation of flower buds (15), and hence fruit yield and quality. In this sense, controlling vegetative growth turns essential for profitable management. In young orchards, this control can anticipate flowering and fruiting, whereas in adult orchards it avoids shading and favors fruit production (8). Viewed in this way, the use of plant growth regulators to inhibit gibberellin biosynthesis, plant hormones responsible for branch and shoot elongation (5), can be an alternative to improve vegetative vs. reproductive growth.
Among the most used plant growth regulators for vigor control, paclobutrazol (PBZ) has shown high efficiency. PBZ is a triazole derivative that inhibits oxidation of ent-kaurene to ent-kaurenoic acid during gibberellin biosynthesis (31), when plant cell elongation and division are induced. Besides controlling vegetative growth, PBZ stimulates rooting and increases chlorophyll levels, carbohydrate concentrations, cytokinin synthesis, and abscisic acid (27, 33). This regulator can be absorbed through roots, branches, and foliage (3).
This study aimed to evaluate the inhibition efficiency of PBZ on gibberellin biosynthesis, vegetative growth, and carbohydrate production in ‘Santa Maria’ and ‘Hosui’ pear-tree cultivars, grown under semi-arid conditions.
Material and methods
The study included 120 ‘Hosui’ and ‘Santa Maria’ pear trees (Pyrus sp.) grafted onto Pyrus calleryana L. and transplanted in 2013. The study was conducted from March 2017 to February 2018 on an experimental orchard located in Serenissima farm, in Lagoa Grande (09°21’ S and 40°34’ W; at an altitude of 375 m above sea level), Pernambuco State, Brazil. The regional climate is classified as Bsh (Köeppen), corresponding to a semiarid region.
The orchard was conducted with a central leader with 4.0 m between rows, and 1.25 m between trees. The trees were drip-irrigated daily with ten self-regulated emitters per tree with a 2 L hour-1 flow based on daily evapotranspiration recorded by the Embrapa Meteorological Station and corrected according to apple Kc. Fertilizing management was performed according to soil analysis, while other cultural practices were performed according to Quezada et al. (2003).
Two independent experiments were performed for each pear cultivar. The experimental design consisted of randomized blocks with factorial arrangement (5 x 2 x 4). Treatments were paclobutrazol (PBZ) doses (0.0, 0.5, 1.0, 1.5 and 2.0 g per linear meter of plant canopy), PBZ application form (soil or foliar spray) and evaluation dates (30, 60, 90 and 120 days after PBZ application), with four replications and three plants per parcel. PBZ doses were defined according to those indicated for mango (Mangifera indica) since no recommendation for pear is available to the date. ‘Santa Maria’ and ‘Hosui’ pear trees were pruned and once the first uniform shoots (5 cm length) were visible, the treatments were applied on March 24th, 2018 and April 26th, 2018, respectively.
For soil-treated plants, each PBZ dose was diluted in 2 L of water and applied at a distance of 50 cm from the plant stem. For leaf treatments, plants were sprayed with each PBZ dose until complete wetting. For both application forms, each treatment was applied once, following the recommendations of Genú and Pinto (2002) using as PBZ source Cultar SC® (25% a.i.).
All variables were recorded from the beginning of the experiments (treatments application) and later at 30, 60, 90, and 120 days after treatments establishment. Shoot length (cm) and diameter (mm) were measured in sprouts from the middle of the canopy. Total soluble carbohydrates (LSC) were quantified in completely expanded leaves from the middle part of the canopy and following the methodology described by Dubois et al. (1956).
Total GA concentrations were determined and quantified in flower buds at 30, 60, 90, and 120 days after treatments. This last date coincided with flower induction phase. The collected flower buds were immediately immersed in liquid nitrogen and taken to the UNIVASF Plant Physiology Laboratory. Once at the laboratory, 50 mg of each previously macerated sample, were vortexed in Eppendorf tubes (A) with 1.0 ml of 80% methanol, for 30 seconds. Then, taken to the ultrasonic bath for 5 minutes and immediately centrifuged at 13,000 rpm for 10 minutes. The supernatant was removed with a pipette and transferred to a second Eppendorf (B) for the first extraction. Subsequently, the second and third extractions were performed on Eppendorf A, adding 0.5 ml of 80% methanol. Later, the supernatant was removed from Eppendorf B, obtaining a single solution. Finally, the extracts were filtered through a 0.45 μm syringe filter and taken to the ultrasonic bath for 3 minutes before chromatography. The calibration curve was obtained by subsequent measurements of increasing dilutions from a standard GA3 stock solution (Sigma-Aldrich®) ranging from 2.5 - to 50 μg/ml. Each dilution was filtered through a 0.45 μm syringe filter and sonicated for 5 min. Then, 20 μL were injected in the chromatograph Shimadzu® LC-20 model.
Total GAs were determined with a liquid chromatograph using C-18 column (SUPELCO 150 x 4.6 mm, 5 μm, Ascentis® C18, Phenomenex®), with a ratio of 40:60 (A/B) phase referring to 0.1% formic acid in ultrapure water and methanol, respectively, in an isocratic flow 1 ml/min. Twenty μl samples were injected and monitored at 206 nm, according to Macías et al. (2014) with modifications. Identification was made by comparing retention times and spectrum with the standard. The data obtained were analyzed using Shimadzu® LC solution 1.0 software (Japan). Total GAs concentrations were expressed as μg of gibberellic acid (EGA3) per gram of sample (fresh mass) according to the total UV peak area detected by the chromatograph.
Data were submitted to analysis of variance (ANOVA). Statistical analyses were performed using SISVAR and SIGMAPLOT softwares. Differences were considered significant with p <0.05, except for total gibberellins, for which only one sample per treatment was available, and analyzed as composite samples. PBZ doses were submitted to regression analysis using R software (30).
Results and discussion
Table 1 shows a triple interaction effect on leaf total soluble carbohydrates (LSC) for cv. Santa Maria.
Table 1: Sprout length (SL), sprout diameter (SD) and leaf soluble carbohydrates (LSC) of ‘Santa Maria’ and ‘Hosui’ pear cultivars as a function of PBZ levels (L), application form (F) and evaluation dates (D).
Tabla 1: Longitud del brote (SL), diámetro del brote (SD) y carbohidratos solubles en hojas (LSC) de los cultivares de pera ‘Santa Maria’ y ‘Hosui’ en función de los niveles del PBZ (L), forma de aplicación (F) y fechas de evaluación (D).

ns: not significant by the Tukey test; FM: Fresh mass; MSD: Minimal significant difference; CV%: Coefficient of variation. Different letters indicate significant differeneces at p=0.05 (*) or p=0.01 (**).
ns: no significativo según el test de Tukey; MF: masa fresca; DMS: diferencia mínima significativa; CV%: Coeficiente de variación. Diferentes letras indican diferencias significativas para p=0,05 (*) o p=0,01 (**).
The plants underwent physiological and biochemical changes throughout the cycle, with increases in LSC contents.
Conversely, cv. Hosui showed significant interactions between paclobutrazol (PBZ) doses and application forms, and between doses and evaluation dates. LSC averages were not affected by interactions between PBZ doses and application forms, or between doses and evaluation dates (Table 1).
PBZ application affected plant growth throughout the evaluated time. Such an inhibitory effect decreased srpout length of cv. Santa Maria and Hosui plants. Similar results were reported for other fruit species such as mango (6, 22), citrus, apple (31), and cashew (21). Vegetative growth reductions after PBZ application are given by oxidation inhibition of ent-kaurene in the second stage of gibberellin biosynthesis (31).
Pear-tree sprout lengths showed exponential reductions after the interaction between PBZ application forms and doses (Figure 1A).
Figure 1: Sprout length of ‘Santa Maria’ (A and B) and ‘Hosui’ (C and D) pear cultivars as a function of PBZ levels and evaluation dates.
Figura 1: Longitud del brote de los cultivares de pera ‘Santa María’ (A y B) y ‘Hosui’ (C y D) en función de los niveles del PBZ y las fechas de evaluación.
When compared to control treatments, plants receiving the highest leaf and soil doses (2.0 g PBZ linear meter canopy-1) resulted 90 and 77% shorter than controls, respectively. However, plants receiving 1.5 g PBZ linear meter canopy-1 via leaf spray showed even greater sprout length reductions compared to higher doses. This greater efficacy of PBZ via foliar application may be attributed to direct contact with plant growing organs, where gibberellins are mostly synthesized.
Oliveira et al. (2012) evaluated the effect of foliar and soil PBZ applications and reported major growth reductions shortly after application of the highest foliar dose, which subsequently decreased, resuming normal growth. It is relevant mentioning that leaf applications require high doses to reduce plant growth.
PBZ action on sprout length (Figure 1B) occurred shortly after application (at 30 days). Different doses reduced length of smaller sprouts, evidencing PBZ effectiveness in retarding pear-tree growth and development. Doses of 2.0 (86.44%), 1.5 (83.71%), and 1.0 (83.15%) g PBZ linear meter canopy-1 promoted the largest reductions in sprout length. Meanwhile, 0.5 g PBZ linear meter canopy-1 promoted the lowest reduction in sprout length compared to the control (61.65%) at the end of the evaluation period. Regardless of the dose, PBZ controlled sprout growth throughout the evaluation period, proving its efficiency and persistence in plants. Asín et al. (2007) evaluated the pear-tree cultivar ‘Blanquilla’ and observed that PBZ persistence increased residual effects.
Our results demonstrate that pear sprout length decreases as a function of PBZ and depends on application form and evaluation dates, proving to be efficient in maintaining tree vigor (Figure 1C).
Sprout length reductions as a function of PBZ doses and evaluation dates, were fit to a quadratic model (Figure 1D). From 30 days after, all PBZ-treated plants showed sprout growth reductions, while control plants continued growing. After 60 days, plants treated with 0.5 g PBZ linear meter canopy-1 showed a slight growth increase, evidencing the direct effect of PBZ on this variable. In this sense, Wongsrisakulkaew et al. (2017) also found significant reductions in sprout length of mangoes cv. Namdokmai-Sitong, two weeks after PBZ application.
For sprout diameter, Santa Maria plants showed a significant interaction between PBZ doses, evaluation dates and application form (Table 1). Increasing PBZ doses reduced sprout diameter exponentially (Figure 2A).
Figure 2: Sprout diameter of ‘Santa Maria’ (A and B) and ‘Hosui’ (C and D) pear cultivars as a function of PBZ levels and evaluation dates.
Figura 2: Diámetro del brote de los cultivares de pera ‘Santa María’ (A y B) y ‘Hosui’ (C y D) en función de los niveles del PBZ y las fechas de evaluación.
In soil PBZ applications, sprout diameters progressively decreased as a function of PBZ doses.
However, in foliar applications, the smallest reductions were verified at 1.0 and 1.5 g PBZ linear meter canopy-1. At 2.0 g, plant sprout diameter decreased by 47.19 and 39.71% for foliar and soil applications, respectively. Sprout diameter reductions as a function of PBZ doses and evaluation dates, were fit to a quadratic model (Figure 2B).
Over the evaluation period, sprout diameters of PBZ-treated plants were smaller than those of control plants. PBZ effect peaked from 30 days after, evidencing high efficiency on sprout diameter reduction. From 120 days after, sprout diameter of plants treated with 0.5 g PBZ linear meter canopy-1 increased greatly than the other treatments. Similar results were reported by Meena et al. (2014) for cashew trees and by Mir et al. (2015) for apricot trees.
‘Hosui’ plants showed the same trends as ‘Santa Maria’ plants for sprout diameter. Data on PBZ doses and application forms were best fitted to a quadratic model, while those on PBZ doses and evaluation dates were best fitted to an exponential model (Figure 2C and 2D, respectively). Sprout diameter reductions with increasing PBZ doses were lower via soil (37.07%) than via leaf (44.11%) application modes.
After PBZ application, sprout diameters showed a downward trend as doses increased throughout the evaluation period. After 120 days, the largest reduction was observed at 2.0 g PBZ linear meter canopy-1 (46.69%), compared to non-treated plants. Similar results were reported by Sherif and Asaad (2014) for pear trees of the cultivar ‘Le-Conte’, and by Meena et al. (2014) for cashew trees. It is noteworthy that control plants had higher sprout diameters than the other treatments, all over the period.
Regardless of doses and application forms, PBZ-treated plants had reduced growth and a more compact aspect. Davenport (2007) pointed out that vegetative growth management is essential in fruit production since adjusting excessive sprouting can stimulate flowering and early fruiting in young plants.
In general, overall, the evaluation period, control plants exhibited larger sprout lengths and diameters than those of other treatments, including a continuous vegetative growth. Pear trees have vigorous growth, but vigor intensity varies with cultivars (29). When grown under intense rainfall, high-temperature, and in combination with frequent irrigation, pear trees show a more vigorous growth (15, 18). In this sense, Costa et al. (2004) highlighted that vegetative growth restrictions can increase fruiting by reducing growth competition between vegetative and reproductive parts. Specifically for pear trees, Kaur et al. (2020) evaluated the control potential of Pro-Ca and PBZ on vegetative growth, concluding that Pro-Ca was more effective, improving canopy light availability.
Total leaf soluble carbohydrate (LSC) levels varied as a function of the interaction among PBZ doses, PBZ application forms, and evaluation dates (Figure 3).
In Figure 3B, lowercase letters compare application forms, capital letters compare PBZ doses in each application form. In figure 3C lowercase letters compare the evaluation dates and capital letters compare PBZ doses in each date. Means with the same letters do not differ by Tukey test (p ≤ 0.05)
En la Figura 3B, las letras minúsculas comparan las formas de aplicación, las letras mayúsculas comparan las dosis del PBZ en cada forma de aplicación. En la figura 3C, las letras minúsculas comparan las fechas de evaluación y las letras mayúsculas comparan las dosis del PBZ en cada fecha. Las medias con las mismas letras no difieren según la prueba de Tukey (p ≤ 0,05)
Figure 3: Leaf soluble carbohydrates (LSC) of ‘Santa Maria’ as a function of PBZ levels and application form at 120 days after PBZ (A); and LSC of ‘Hosui’ as a function of application form and evaluation dates (B); and LSC as a function of evaluation date and PBZ levels (C).
Figura 3: Carbohidratos solubles en hojas (LSC) de ‘Santa María’ en función de los niveles del PBZ y la forma de aplicación a los 120 días después del PBZ (A); y LSC de ‘Hosui’ en función de la forma de aplicación y las fechas de evaluación (B); y LSC en función de la fecha de evaluación y los niveles del PBZ (C).
One hundred and twenty days after application of treatments, LSC contents in PBZ-treated plants were higher when soil applied (Figure 3A). According to Lopes and Oliveira (2014), the ideal time for floral induction in pear trees under semi-arid tropical conditions is immediately before differentiation of vegetative vs. floral buds, after sprouting and accumulation of reserves. Prasad et al. (2014) observed that carbohydrate synthesis decreases close to floral induction, thus higher levels in this period can promote uniform flowering.
The highest LSC concentrations in treated plants were 141.91 μmol.g-1 FM (2.0 g PBZ linear meter canopy-1) and 113.77 μmol.g-1 FM (1.0 g PBZ linear meter canopy-1) for soil and foliar applications, respectively. Plants with higher LSC amounts are expected to fulfill their demands at the beginning of floral induction. In studies on mango, Sherson et al. (2003) and Cavalcante et al. (2018) concluded that favorable flowering is induced by soluble carbohydrates availability, fundamental for bud development during dormancy and sprouting.
In cv. Hosui plants, LSC levels varied as a function of PBZ doses and application forms over evaluation time (Figures 3B and 3C, respectively). In general, regardless of PBZ application form and dose, LSC accumulation was higher at 60 days after application and reduced at the end of the evaluation period (120 days after application). The largest increase was observed in plants receiving 1.5 g PBZ linear meter canopy-1 (127.43 μmol.g-1 FM). Given that PBZ has anti-gibberellic action even at 120 days after application, and since total LSC storage is reduced, floral induction should be managed after this period.
Favoured floral bud formation due to LSC reductions has already been mentioned by Abdel Rahim et al. (2008) for mango and by Chen (1990) for litchi trees. However, sprouting was suppressed by PBZ in both application forms, and LSC contents decreased due to assimilates mobilization from source to sink tissues.
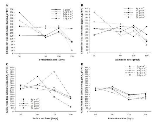
Concentrations of GA3 in floral buds of ‘Santa Maria’ varied throughout the evaluation period for all treatments. At 30 days, foliar PBZ treatments (Figure 4A) increased GA3 contents compared to the control.
Figure 4: Gibberellin-like substances concentrations (μgEGA3 g-1 FM) in buds of ‘Santa Maria’ (A and B) and ‘Hosui’ (C and D) pear cultivars as a function of PBZ levels and forms of application (A and C - leaf; B and D - soil) after PBZ application.
Figura 4: Concentraciones de sustancias similares a la giberelina (μgEGA3 g-1 FM) en brotes de cultivares de pera 'Santa Maria' (A y B) y 'Hosui' (C y D) en función de los niveles del PBZ y las formas de aplicación (A y C - hoja; B y D - suelo) después de la aplicación del PBZ.
Conversely, soil PBZ treatments (Figure 4B) showed slight reductions in contents at 2.0 and 1.0 g PBZ per linear meter canopy, and increases at 0.5 and 1.5 g PBZ per linear meter canopy, alsowhen compared to the control. These results suggest that gibberellin-like substances were still active, thereby hindering PBZ inhibitory effect on plants with higher initial GA3 concentrations. However, regardless of the application form, contents of GAs were strongly inhibited between 30 and 90 days after application. At this time, initial hormone (gibberellin-like substances) levels were high, suggesting that PBZ effectiveness may be related to target substance availability. GA biosynthesis is blocked by PBZ, but plant responses vary with climate, application time and form, plant age and vigor, or dose (9).
Regardless of the application route, PBZ was effective in reducing pear-tree sprouting during the evaluation period, inhibiting GA biosynthesis efficiently. In both application routes, GA3 concentrations reduced significantly at 0.5, 1.5, and 2.0 g PBZ per linear meter canopy, compared to the control. These reductions occurred between 120 and 150 days after application, when floral induction in pear trees occurs in semi-arid conditions.
A decline in shoot growth preceding floral induction is related to low GAs levels, promoting the transition from vegetative to reproductive meristem (15). PBZ-induced reduction in GA levels also mobilizes essential carbohydrates for floral induction, developing flower buds and produce floral initiation. Thus, when mediated by PBZ, a florigenic promoter (PF) is up-regulated, while a vegetative promoter (PV), characterized by high endogenous GAs concentrations, is down-regulated (9).
According to Burondkar et al. (2016), not all GAs play the same role in inducing flower buds. Declines in GA1 are important for bud formation and floral induction, while declines in GA3, GA4, and GA7 act on flower bud initiation.
Concentrations of GA3 in flower buds of ‘Hosui’ varied across the evaluation period for all treatments. At 60 days, both application forms had increased GA3 levels compared to the control. Foliar PBZ (Figure 4C) markedly reduced GA levels along the evaluation period, except for the doses of 1.5 and 2.0 g PBZ per linear meter canopy. In this treatment, GA levels tended to surpass control after 120 days. This result can be attributed to direct contact of PBZ with leaf surfaces and/or plant growth points, where endogenous GAs are synthesized, thus reducing their activity through the oxidation of ent-kaurene to ent-kaurenoic acid.
After the first evaluation, plants treated via soil (Figure 4D) with the doses of 0.5 and 1.0 g PBZ per linear meter canopy reduced GA levels gradually. Meanwhile, those treated with the doses of 1.5 and 2.0 g PBZ per linear meter canopy showed a sharp increase followed by a drastic reduction in the last evaluations (at 120 and 150 days). The latter may be due to PBZ action mode and GA type in plant tissue, as different GA types act in different ways. Fagan et al. (2015) reported that GA biosynthesis is regulated by feedback control, in which GAs control their synthesis influenced by environmental factors (e.g., photoperiod and temperature). After 120 days, until the last evaluation date, GAs concentrations were kept at low levels in comparison to the beginning of the experiments, making plants suitable for floral induction, and confirming soil PBZ efficiency.
As mentioned, PBZ regulates vegetative growth by blocking P450 monooxygenase enzymes and preventing oxidation of ent-kaurene to ent-kaurenoic acid (31). Therefore, the lower GA concentrations measured over the experiments proves that PBZ effectively reduces GAs activity in sprout growth. Floral induction is expected to occur from 120 to 150 days after PBZ application. In this sense, according to Huang et al. (1986), floral induction is given by changes in hormones (Auxins, Cytokinins, Gibberellins), due to GA reductions, promoting the transition from vegetative to reproductive meristem, which is when floral induction should be managed.
Conclusions
Both soil and foliar paclobutrazol applications inhibit gibberellin biosynthesis in ‘Santa Maria’ and ‘Hosui’ pear-tree cultivars. Paclobutrazol application also affects total soluble carbohydrate contents in leaves and reduces sprout growth in both cultivars, especially at 0.5, 1.5, and 2.0 g PBZ per linear meter canopy after 120 days of application. Although paclobutrazol can be potentially used in pear-tree management, further studies are still required to determine specific practices in tropical semi-arid regions.
1. Abdel Rahim, A. O. S.; Elamin, O. M.; Bangerth, F. K. 2008. Effects of paclobutrazol on floral induction and correlated phyto-hormonal changes in grafted seedlings of different mango (Mangifera indica L.) cultivars. Sudan Journal of Agricultural Research. 11: 111-120.
2. Asín, L.; Alegre, S.; Montserrat, R. 2007. Effect of paclobutrazol, prohexadione-Ca, deficit irrigation, summer pruning and root pruning on shoot growth, yield, and return bloom, in a ‘Blanquilla’ pear orchard. Scientia Horticulturae 113: 142-148. https://doi.org/10.1016/j.scienta.2007.02.008
3. Burondkar, M. M.; Gunjate, R. T. 1993. Control of vegetative growth and induction of regular and early cropping in “Alphonso” mango with paclobutrazol. Acta Horticulturae. 341: 206-215. https://doi.org/10.17660/ActaHortic.1993.341.21
4. Burondkar, M. M.; Upreti, K. K.; Ambavane, A. R.; Rajan, S.; Mahadik, S. G.; Bhave, S. G. 2016. Hormonal changes during flowering in response to paclobutrazol application in mango cv. Alphonso under Konkan conditions. Indian Journal of Plant Physiology. 21(3): 306-311.
5. Cavalcante, Í. H. L.; Silva, G. J. N.; Cavacini, J. A.; Amariz, R. A.; Freitas, S. T.; Sousa, K. A. O.; Silva, M. A.; Cunha, J. G. 2020. Metconazole on inhibition of gibberellin biosynthesis and flowering Management in Mango. Erwerbs-Obstbau 62: 89-95. https://doi. org/10.1007/s10341- 019-00466-w
6. Cavalcante, Í. H. L; Santos, G. N. F; Silva, M. A.; Martins, R. S.; Lima, A. M. N.; Modesto, P. I. R.; Alcobia, A. M.; Silva, T. R. S.; Amariz, R. A.; Beckmann-Cavalcante, M. Z. 2018. A New approach to induce mango shoot maturation in Brazilian semi-arid environment. Journal of Applied Botanny and Food Quality 91: 281-286. https://doi.org/10.5073/JABFQ.2018.091.036
7. Chen, W. S. 1990. Endogenous growth substances in the xylem and shoot tip diffusate of lychee in relation to flowering. HortScience 25: 314-315. https://doi.org/10.21273/HORTSCI.25.3.314
8. Costa, G.; Sabatini, E.; Spinelli, F.; Andreotti, C.; Spada, G.; Mazzini, F. 2004. Prohexadione -Ca controls vegetative growth and cropping performance in pear. Acta Horticulturae. 653: 127-132. https://doi.org/10.17660/ActaHortic.2004.653.16
9. Davenport, T. L. 2007. Reproductive physiology of mango. Brazilian Journal of Plant Physiology. 19(4): 363-376. https://doi.org/10.1590/S1677-04202007000400007
10. Dubois, M; Gilles, K. A; Hamilton, J. K.; Rebers, P. A.; Smith, F. 1956. Colorimetric method for determination of sugar and related substances. Analytical Chemistry. 28(3): 350-356. Available in: https://doi.org/10.1021/ac60111a017
11. Fagan, E. B.; Ono, E. O.; Rodrigues, J. D.; Chalfun Júnior, A.; Dourado Neto, D. 2015. Fisiologia Vegetal: Reguladores Vegetais. Brazil. Editora Andrei. 300 p.
12. Fioravanço, J. C. 2007. A cultura da pereira no Brasil: Situação econômica e entraves para o seu crescimento. Informações Econômicas. 37(3): 52-60.
13. Giacinti Battistuzzi, M. Á.; Pires Manso, J. R.; de Pablo Valenciano, J. 2020. Determination of the price in the fresh fruit market: case of pears. Revista de la Facultad de Ciencias Agrarias. Universidad Nacional de Cuyo. Mendoza. Argentina. 52(1): 225-232.
14. Genú, P. J. C.; Pinto, A. C. Q. (Eds.). 2002. A cultura da mangueira. Brazil. Embrapa Informação Tecnológica. 452 p.
15. Hawerroth, F. J.; Petri, J. L.; Fachinello, J. C.; Herter, F. G.; Prezorro, M. E.; Hass, L. B.; Pretto, A. 2012. Redução da poda hibernal e aumento da produção de pereiras ‘Hosui’ pelo uso de prohexadiona cálcio. Pesquisa Agropecuária Brasileira 47: 939-947. https://doi.org/10.1590/S0100-204X2012000700010
16. Huang, H.; Qiao, X.; Cao, S. 1986. Studies on the period of physiological differentiation of flower bud in apple trees. Acta Horticulturae Sinica. 3: 006.
17. Kaur, S.; Gill, M. S.; Gill, P. P. S.; Singh, N. P. 2020. Effect of plant bio-regulators on photosynthesis, growth and yield efficiency of pear trained on Y-trellis system. Journal of Agrometeorology. 22(2), 140-147.
18. Lopes, P. R. C.; Oliveira, I. V. M. 2014. O cultivo da pereira no Vale do São Francisco. In: Simpósio Internacional de Fruticultura Temperada em Região Subtropical. Avaré. Brazil.
19. Macías, J. M.; Pournavab, R. F.; Reyes-Valdés, M. H.; Benavides-Mendoza, A. 2014. Development of a rapid and efficient liquid chromatography method for determination of gibberellin A4 in plant tissue, with solid phase extraction for purification and quantification. American Journal of Plant Sciences 5 (5): 573-583. https://doi.org/10.4236/ajps.2014.55072
20. Meena, R. K.; Adiga, J. D.; Nayak, M. G.; Saroj, P. L.; Kalaivanan, D. 2014. Effect of Paclobutrazol on growth and yield of cashew (Anacardium occidentale L.). Vegetos: An International Journal of Plant Research. 27(1): 11-16.
21. Mir, M. M.; Baba, J. A.; Umar, I.; Rather, G. H.; Rehman, M. U.; Banday, S. A.; Kumar, A.; Nazir, N. 2015. Effect of soil applied paclobutrazol on vegetative and quality attributes of apricot (Prunus armeniaca L.). Green Farming. 6(4): 813-816.
22. Mouco, M. A. C.; Alburqueque, J. A. S. 2005. Efeito do paclobutrazol em duas épocas de produção da mangueira. Bragantia 64(2): 219-225. https://doi.org/10.1590/S0006-87052005000200008
23. Oliveira, A. F.; Cruz, M. C. M.; Oliveira, D. L.; Mesquita, H. A. 2012. Paclobutrazol em oliveira submetida a diferentes regimes hídricos. Semina: Ciências Agrárias. 33(6): 2137-2148. https://doi.org/10.5433/1679-0359.2012v33n6p2137
24. Oliveira, I. V. M.; Lopes, P. R. C.; Silva-Matos, R. R. S. 2015. Avaliação fenológica da pereira “Trinfo” cultivada em clima semiárido no Nordeste do Brasil na safra de 2012. Revista Brasileira de Fruticultura. 37(1): 261-266. https://doi.org/10.1590/0100-2945-007/14
25. Oliveira, I. V. M.; Lopes, P. R. C.; Silva-Matos, R. R. S. 2017. Phenological characterization of pear trees (Pyrus communis L.)-‘Princesinha’ under semiarid conditions in the northeastern Brazil. Revista Brasileira de Fruticultura. 39(3): e-598. https://doi. org/10.1590/0100- 29452017598
26. Pasa, M. S.; Fachinello, J. C.; Schmitz, J. D.; Souza, A. L. K.; Herter, F. G. 2011. Hábito de frutificação e produção de pereiras sobre diferentes porta-enxertos. Pesquisa Agropecuária Brasileira. 46(9): 998-1005. https://doi.org/10.1590/S0100-204X2011000900005
27. Prasad, S. R.; Reddy, Y. T. N.; Upreti, K. K.; Rajeshwara, A. N. 2014. Studies on changes in carbohydrate metabolism in regular bearing and “off” season bearing cultivars of mango (Mangifera indica L.) during flowering. International Journal of Fruit Science. 14(4): 437-459. https://doi.org/10.1080/15538362.2014.897891
28. Quezada, A. C.; Nakasu, B. H.; Herter, F. G. 2003. Pera: produção. Brazil, Embrapa Informação Tecnológica. 105 p.
29. R CORE TEAM. 2018. R: A language and environment for statistical computing. R Foundation for Statistical Computing. Áustria. https://www.R-project.org/ (Accessed in 06 oct. 2019).
30. Rademacher, W. 2016. Chemical regulators of gibberellin status and their application in plant production. In: Hedden, P.; Thomas, S. G. (Eds.). The gibberellins. Oxford. Willey Black. 359-403.
31. Sherif, H. M.; Asaad, S. A. 2014. Effect of some plant growth retardants on vegetative growth, spurs and fruiting of ‘Le-Conte’ pear trees. British Journal of Applied Science & Technology. 4(26): 3785. https://doi.org/10.9734/BJAST/2014/10479
32. Sherson, S. M.; Alford, H. L.; Forbes, S. M.; Wallace, G.; Smith, S. M. 2003. Roles of cell wall invertases and monosaccharide transporters in the growth and development of Arabidopsis. Journal of Experimental Botany. (54): 525-531. https://doi.org/10.1093/jxb/erg055
33. Subbaiah, K. V.; Reddy, N. N.; Padmavathamma, A. S.; Reddy, M. L. N.; Rao, A. V. D. D.; Manjula, R.; Reddy, A. G. K. 2018. Effect of paclobutrazol on hermaphrodite flowers, leaf chlorophyll contents and soil micro organisms. International Journal of Current Microbiology and Applied Sciences, Kanchipuram. 7(7): 54-58.
34. Trong, L. V.; Khanh, N. N.; Huyen, L. T.; Hien, V. T. T.; Lam, L. T. 2021. Changes in physiological and biochemical parameters during the growth and development of guava fruit (Psidium guajava) grown in Vietnam. Revista de la Facultad de Ciencias Agrarias . Universidad Nacional de Cuyo. Mendoza. Argentina. 53(2): 82-90. https://doi.org/10.48162/rev.39.042
35. Wongsrisakulkaew, Y.; Boonprakob, U.; Sethpakdee, R.; Juntawong, N. 2017. Effect of paclobutrazol concentrations and time of foliar application on flowering of ‘Namdokmai-Sitong’ Mango. International Journal of Geomate. 12(30): 41-45. https://doi. org/10.21660/2017.30.9654511