Revista de la Facultad de Ciencias Agrarias. Universidad Nacional de Cuyo. Tomo 53(2). ISSN (en línea) 1853-8665. Año 2021.
Original article
Modeling the adoption of a garlic (Allium sativum L.) variety in Mexico through survival analysis
Modelando la adopción de una variedad de ajo (Allium sativum L.) en México mediante análisis de supervivencia
Blanca Sánchez-Toledano 1
Oscar Palmeros Rojas 3
Mercedes Borja Bravo 4
1 INIFAP. Campo Experimental Zacatecas. Apartado Postal Núm. 18. Calera de Víctor Rosales. Zacatecas 98500. México.
2 INIFAP. Campo Experimental Valle de México. Carretera Los Reyes-Texcoco. Km 13.5. Coatlinchán. Texcoco. Estado de México. CP. 56250.
3 Universidad Autónoma Chapingo. Departamento de Matemáticas. Estado de México. Km 38.5 carretera México. Texcoco 56230. Mexico.
4 INIFAP. Campo Experimental Pabellón. Carretera Aguascalientes-Zacatecas. Pabellón de Arteaga. Aguascalientes. México. CP. 2067.
* cuevas.venancio@inifap.gob.mx
Abstract
The objective of this research was to analyze adoption over time of the improved garlic variety CEZAC 06, in North-Central Mexico, determining factors associated with this adoption process through survival analysis (SA). The data was collected at farm level, through a questionnaire administered to 80 garlic farmers in Zacatecas, Mexico, in 2019. Among respondents, 62.5 % of the farmers adopted CEZAC 06 during the first two years after it was introduced. The factors affecting the adoption process were: farmer age, how long the farmer had been in business, number of hectares for garlic production, yield, number of college-educated family members, income from crop farming, income from garlic farming, from the federal government and belonging to any type of membership to an organization. Improving garlic bulb yield and quality requires an adequate extension program communication system that provides for farmers to receive updated and reliable information on the importance of technological innovation. Survival analysis can evaluate changes in explanatory factors between farmers and other changes over time, thus addressing decision-making and adoption processes for improved seeds.
Keywords: Allium sativum L.; Improved variety; Adoption speed; Adoption factors; Extension programs communication system.
Resumen
El objetivo de esta investigación fue analizar la adopción en el tiempo de la variedad mejorada de ajo CEZAC 06 y los factores asociados con este proceso de adopción mediante el análisis de supervivencia (AS), en el Norte-Centro de México. Los datos a nivel de finca fueron recolectados en 2019 a través de un cuestionario administrado a 80 agricultores de ajo en Zacatecas, México. Los resultados mostraron que el 62,5 % de los agricultores que adoptaron la variedad CEZAC 06 lo hicieron en los dos primeros años después de que la conocieron por primera vez. Las variables que influyeron en la adopción fueron: edad, tiempo dedicado a la siembra de ajo, número de hectáreas producidas con ajo, rendimiento, familiares con estudios universitarios, ingresos obtenidos de la agricultura, ingresos obtenidos de la siembra de ajo, número de cursos tomados sobre temas agrarios, apoyos federales y pertenecer a alguna organización. Mejorar el rendimiento y sobre todo la calidad del bulbo requiere de un sistema de extensión adecuado que permitan a los agricultores recibir información actualizada y confiable sobre la importancia de la innovación tecnológica. El análisis de supervivencia puede analizar los cambios en los factores explicativos en relación con los agricultores y otros cambios a lo largo del tiempo, abordando así el proceso de toma de decisiones y adopción de semillas mejoradas.
Palabras clave: Allium sativum L.; Variedad mejorada; Velocidad de adopción; Factores para la adopción; Programas de extensión.
Originales: Recepción: 28/09/2020
Aceptación: 29/06/2021
Introduction
In 2018, total garlic (Allium sativum L.) production in Mexico was 94,692.19 tons, with an approximate market value of $ 71,830,621.88, of which 60% took place in Zacatecas (54) giving it a promising potential for producing improved garlic varieties. However, most farmers in this area still use native garlic genotypes. The socio-economic importance of garlic farming lies in the labor needs for successful cultivation (requires 180 to 210 field workers per crop cycle) and production happens during the autumn-winter cultivation season, when few alternatives for employment are available in rural areas.
Garlic is primarily used as seasoning or food condiment and it is consumed in the form of fresh cloves, bulbs, after dehydration and processed in various ways (61). In Mexico, consumption per capita in 2018 reached 400 g per person (22).
Several factors limit crop productivity in Mexico. One is the absence of a seed production program, which leaves farmers no choice but to use seeds that come from different sources. Most of the time, farmers have no idea where these seeds were produced. This leaves farmers with little to no certainty that the seeds being used were produced in plots under controlled phytosanitary conditions. Uncertain sanitation causes pest and disease spread, with resulting financial losses for the producers and increased production costs (59). Another factor associated with limited crop productivity is consistent drop in seed quality over time. Bigger garlic bulbs usually enter the market, since customers value them at a higher price. Such market behavior forces farmers to use below-average sized garlic bulbs as seeds, leading to steady decline in seed quality over time. This also lowers the potential for greater garlic yields in future harvest seasons (32). Although there are elements that reveal the importance of this crop, the reality is that in Mexico, and especially in Zacatecas, the lack of varieties in the region is a major limitation to productivity. Solving this problem would require farmers to adopt new garlic varieties as an alternative to traditional methods (42). Planting improved garlic varieties suited to the region would increase productivity and garlic yield (50).
Adoption can be defined as integrating innovation in everyday agricultural activities carried out by farmers for a prolonged period (15). There are three broad categories that limit technological adoption in developing countries: 1) farmer characteristics and behavior 2) characteristics and advantages of new technology and 3) institutional aspects (55).
The Instituto Nacional de Investigaciones Forestales, Agrícolas y Pecuarias (INIFAP-México), as the institution responsible for supporting national agricultural development, faces several challenges. These challenges include seeking, validating, transmitting, and providing the means for technological adoption in benefit of agricultural and forestry producers. In 2011, the Zacatecas Experimental Field generated a new garlic variety called CEZAC 06. Advantages of this variety include higher yields, consistently round bulbs, fewer cloves per bulb and homogeneous growth. By using CEZAC 06 in commercial plots, performance has been improved by 9% to 17% and has reached yields of up to 30 t ha-1 (42). This variety is a productive and profitable alternative for garlic farming in the North-Central region of Mexico.
However, the adoption rate of improved varieties has been low, especially among small producers (44). A wide range of factors can affect a farmer’s ability to adopt technologies, such as intrinsic conditions, socio-economic, cultural, institutional, and political variables (4). Another adverse factor is seed price. Despite this, evidence suggests that small producers are willing to use improved varieties if yields are higher and innovations are affordable, as shown in studies in Zimbabwe and Kenya (31).
The economic analysis of technological adoption has sought to explain how it is affected by factors such as characteristics and personal aspects of the producer, information quality, risk, uncertainty, institutional limitations, infrastructure, and availability of inputs (15, 17, 28). This is because a new technology is often associated with risk and uncertainty regarding its use or application, the appropriateness of an implementation scale, suitability with the environment, and most importantly, the perception and producer expectations as the end user of new technology (1, 18, 60). Adoption of agricultural technologies has been associated with multiple benefits including higher income, reduced poverty (26), improved nutrition and lower food prices.
No studies on garlic cultivation address adoption of new varieties nor the time it takes farmers to adopt a technological innovation. In this context, we evaluated adoption behavior for the improved garlic (Allium sativum L.) variety known as CEZAC 06 and other factors associated with the adoption process in Northern-Central Mexico through survival analysis (SA). We evaluated the hypothesis that whether farmers adopt depends on the type of technology under consideration. Thus, a greater perceived utility results in a shorter adoption time.
This work also contributes to the scarce literature on the application of survival analysis to agricultural technologies. It is expected to provide a basis for improved intervention on agricultural policies that guide production and aid in transferring new technologies. The results may also be helpful to farmers considering adopting new garlic varieties, to retailers seeking to satisfy customer needs, and to those who manage garlic supply chains.
Methods and materials
Description of the technological innovation: improved variety CEZAC 06
The garlic plant (Allium sativum L.) CEZAC 06 grows in a vertical fashion; it has an average height of 43 cm, grows an average of eighteen leaves measuring 23.99 mm wide and 45.88 cm long approximately. It also has a robust stem that resembles a strong plant; the presence of a floral scape is a characteristic of this variety. The bulbs are covered by white cataphylls with vertical streaks of violet-pink color. The average number of cloves per bulb is 16 and the cloves are screamy white, individually covered by a pink wrapping leaf. Cloves are radially distributed and arranged but inserted into the stem. The cultivation cycle is 220 days, and which is part of the advantages (42). No studies specifically address the economic impact of the CEAC 06 variety. However, Reveles et al. (2011) mentioned the CEZAC 06 variety as an alternative for garlic producers in the region due to the homogenous shape and size of the bulb, which command a greater sale price.
Area under study
The state of Zacatecas is in the North-Central part of Mexico, with coordinates between 25° 09’and 21° 01’ North latitude and between 100° 48’ and 104° 20’ West longitude at an altitude of 2230 m above sea level. The average annual temperature is > 18°C, with June being the hottest month and January being the coldest (20). The state has a population of 1.6 million of which half live in rural areas. Although the state´s economy is based on agricultural production, this sector is considered of low economic development since 72% of the population has a monthly income of less than two minimum wages (21). However, in terms of gross domestic product (GPD), agriculture contributes 22% to 25% thus becoming the main economic activity. The value of agricultural activities in the last production cycle was ~ 15.3 million pesos, which represented ~ 68% of the total value of the sector in the state (54). Thus, Zacatecas exports > 772 thousand tons of agricultural products to the rest of Mexico, including beans, dry chili, guava, peach, prickly pear, vine, and garlic (46).
In Zacatecas 3,548.50 hectares of garlic seeds were planted in 2018 (54), which ranked the State among the main producers nationwide. The average yield in Zacatecas was 16.46 t ha-1, with a statewide production of 56,423.61 t. Among the top producers, the municipalities of Calera, Villa de Cos, Guadalupe, and Panuco, utilized about 84% of the total land s area designated for this crop (43) (Figure 1).
Figure 1: Areas with promising potential for garlic production in Zacatecas.
Figura 1: Zona con potencial para la producción de ajo en Zacatecas.
Defining the sample size
Data was obtained through a survey administered to 80 farmers during August and October of 2019. The sample was stratified by seed variety (creole or improved) and region (post district). Interviewing took place in regions with promising potential for garlic production including Calera, Villa de Cos and Guadalupe and Panuco.
Participants and sample size were determined according to the registry of agricultural producers in the state´s census, which at the time of the study, had 100 farmers registered.
Sample size was calculated as a finite population with a significance level (NS) of 95% and an error of 0.05% (33, 47). This sample size is similar to other studies that have analyzed adoption of technological innovations through survival analysis (5, 14, 23).
Methodological framework
Several research on medical, agricultural, economic, and psychological topics focuses on estimating the time elapsed until an event of interest takes place. This is called survival analysis (SA) or duration analysis (DA). Frequently, the data in consideration for SA tends to violate a normal assumption, lacks completeness, exist censored observations, and occurrence of the event of interest depends on external factors. Therefore, most of the usual statistical tests are not applicable. To study the relationship between survival and external variables, a set of statistical concepts, tools and techniques that allow us to model the length of time until the event occurs was used.
Survival analysis has been used in different areas. In medicine, it has been used to study time until recovery from a disease and in other fields in estimating durability of household appliances or machine failure. In agriculture, survival analysis has been used to model the adoption of sustainable technology, conservation of tillage, improved varieties, fertilizers, and herbicides (33, 37, 38, 62).
In this manuscript, we used duration analysis as appropriate to this research’s objectives and to the characteristics of the data (heterogeneous population, censored observations that do not follow a normal distribution and the presence of an external variable that can affect time until adoption).
In general, DA has three relevant functions: survival function, probability density and hazard function.
Let T be a non-negative random variable (r.v.) that measures time until an event of interest occurs. Suppose that is a realization of T. Let us consider a random sample of n duration times t1<t2<...<tn. If f(t) denotes the probability density function (PDF) of the random variable T, we define the distribution of duration as the cumulative distribution function (CDF); that is:
(1)
Equation (1) determines the probability that T is less than or equal to t. However, in DA, determining the probability that T will survive until at least t is the objective. Thus, the probability is determined by the survival function S(t), defined as:
(2)
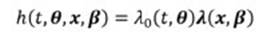
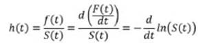
The hazard function h(t) is defined as the probability that a farmer adopts the improved technology at time t, if up until time t, adoption has not occurred. That is:
(3)
There is a well-defined relationship between f(t), F(t), S(t) and h(t). In fact, if any of these is known, the others can be determined:
(4)
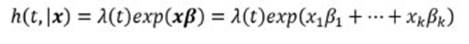
Let T denote failure time and x = (x1, ..., xk)’ represent a vector of available covariates (economic and non-economic variables may be expected to influence and alter the distribution of duration). Modelling and determining the relationship between T and x is of interest.
When including additional explanatory variables in DA, the hazard function needs to be redefined and reformulated as being a conditional function on these variables:
(5)
where:
β = a vector of unknown parameters,
x = a vector of explanatory variables that may include time-invariant and time-varying variables
θ = a vector of parameters of the hazard rate.
From (5), it is notable that the hazard function h(t, x, θ, β) can be split into two components. The first component is the baseline hazard function λ0(t, θ) which is equal to the hazard when all covariates are zero and therefore does not depend on individual characteristics. This component captures the way the hazard rate varies along duration. The second component is the part of hazard that depends on the subject’s characteristics λ0(x, β).
A widely used specification in survival regression allows the hazard function λ0(t, θ) = λ0(t) to be multiplied by λ0(x, β) = exp (x' β).
The survival model is:
(6)
The model (6) regression formulation is called the proportional hazards (PH) model (6). Since λ (t) can be left completely unspecified, (6) is a semiparametric model.
The Cox’s semiparametric model has been widely used in analysis of survival data to explain the effect of explanatory variables on hazard rates. The advantage of a semiparametric model is that no assumptions must be made about the shape of the hazard function.
In general regression notation, the log hazard can be used as the property of response evaluated at time T, which allows distribution and regression components to be isolated and evaluated. The PH model can be linearized with respect to x' β using the following identity:
(7)
(8)
The
interpretation of the Cox model is not directly made with the estimated
coefficient
, but instead
through exp(
) and is similar to that performed in
logistic regression. If
is the estimated
coefficient corresponding to the variable xi (continuous variable),
exp(
) represents
the relative risk when xi
increases one unit, keeping all other variables constant. For
dichotomous variables, exp(
) is an estimator of the hazard ratio (hazard
ratio = RR) and is interpreted as the increase in risk derived from the
presence xi = 1 of
each covariate in relation to absence xi = 0. The estimation
procedure is based on the partial likelihood function; more details are
available in Cox (1972).
Information analysis
The objective in duration analysis is determining the time elapsed until an event of interest occurs (40). In the context of technological adoption, this transition is regarded from the moment the technology is known until adoption happens. Through duration analysis, behavioral models are created in which personal options and technological dynamics are analyzed to be incorporated as part of the elements for adoption (4). As roles for explaining technological adoption.
For this article´s purposes, the year in which the farmer is introduced to CEZAC 06 was established as the start date and the year in which adoption occurred as the finish date or period. In certain cases, farmers had not adopted the new variety at the time the study was completed although adoption could occur afterwards. Thus, they were censored to the right, meaning, the final analysis date equals the time in which the survey was administered.
Regarding independent variables, adoption can depend on a broad set of determinants which include characteristics related to innovation, politics, economics, expectations, hierarchical structure, socio-economic atmosphere, opinions, objectives, and perceived impact (17, 23, 48). A dummy variable was included given a significant increase in adoption that occurred in 2015, thus, this variable has a value of one if adoption happened after 2015 and a value of zero otherwise.
Two types of statistical analysis were conducted: parametric and non-parametric. Non-parametric analysis of adoption intervals, which considers the nature of censored data, was carried out using the Kaplan-Meier estimated survival function. This information allowed suggestion of appropriate functional forms for a parametric analysis (27). Furthermore, this method helps represent adoption speed of different technologies and facilitates comparisons among sampled individuals in different populations. The Kaplan- Meier survival curves for each variable were obtained and the log-rank test was used at a confidence level of α = 0.05 to determine whether curves plotted were the same. Parametric analysis considered all variables collected in the survey and were analyzed through the proportional hazard Cox’s model (1972), highlighting variables that significantly influenced adoption. In addition, the likelihood ratio test, Wald test and Score test (achievenk) were applied. Data analysis was completed using R (R Core Team).
Results
Descriptive analysis of hypothetical variables
Descriptive statistics of primary variables that influence time required for farmers to adopt CEZAC 06 were determined (Table 1).
Table 1: Description of the variables used for statistical analysis (n = 80).
Tabla 1: Descripción de las variables utilizadas en el análisis estadístico (n = 80).

The 80 farmers were divided into two groups at the time of surveying, 25% were censored (non-adopters) and the rest (75 %) were adopters. Adopters had some college education, and the average age and household size was 40 years old and five members, respectively. These farmers were introduced to the improved seed through INIFAP, have attended CEZAC 06 courses, and own ~ 21 hectares of land that produce 5 t ha-1. Non-adopters only enjoyed of elementary education, and their average age and household size was 53.3 years old and 4 members, respectively. Unlike adopters, they became aware of CEZAC 06 through another farmer, had not attended courses, and only had an available land area of seven hectares that produce 8 t ha-1.
Econometric Analysis
The Kaplan-Meier method allowed the length of time that farmers wait before adopting the CEZAC 06 garlic variety to be more closely examined (Figure 2).
Figure 2: Kaplan-Meier survival curve.
Figura 2: Curva de supervivencia de Kaplan-Meier.
The horizontal axis shows the number of years elapsed since the technology was first known until the year that the variety was adopted, and the vertical axis shows the respective probabilities. The curve shows that 62.5% of the farmers adopted the improved garlic variety in the second year after they were first introduced to it (Figure 2).
The previous statement is confirmed by the cumulative hazard function (Figure 3), where in the third year, the cumulative hazard of adoption is 0.80.
Figure 3: Accumulated risk curve.
Figura 3: Curva de riesgo acumulado.
Farmers who received information from a trained person (agricultural technician) or researcher adopted the variety.
Demonstration plots also played an important role in adoption (Figure 4).
Figure 4: Kaplan-Meier survival curve by source of information on the technology.
Figura 4: Curva de supervivencia de Kaplan-Meier por fuente de información sobre la tecnología.
The willingness of farmers to take the risk associated with adopting a new variety of garlic is an important consideration, given the uncertainty regarding several factors such as seed cost, cost of additional materials, and the application of new agricultural practices (Figure 5).
Figure 5: Kaplan-Meier survival curve based on risk perceptions.
Figura 5: Curva de supervivencia de Kaplan-Meier basada en percepciones de riesgo.
The time to adoption is associated with different combinations of covariates collected from the survey. The backward steps method was followed to determine the final list of variables to be included in the model (49). At an α = 0.05 confidence level, the null hypothesis stating that all coefficients are jointly equal to zero was rejected.
This method allowed construction of the best PH Cox´s model, with eleven covariates associated with adoption of the CEZAC 06 variety among garlic farmers and explained 98% of the variation in adoption time. The predictor based on age increases the probability of adoption by a third (Table 2).
Table 2: Cox proportional model analysis of adoption of the variety CEZAC 06 (n = 80).
Tabla 2: Resultados del modelo proporcional de Cox sobre la adopción de la variedad CEZAC 06 (n = 80).

Significance level: *** p < 0.001; ** p < 0.01, * p < 0.05.
Nivel de significancia: *** p < 0,001; ** p < 0,01, * p < 0,05
In addition, there is a greater possibility of adoption by farmers whose head of household is between 30 and 43 years old. The number of years spent garlic farming also increases the probability of adoption. Farmers who considered the increase in yield were more than six times more likely to adopt when predictive yield was not considered. Farmers with college-educated relatives were three times more willing to risk adoption than those with no college-educated family members or relatives. The variables describing income from agriculture and garlic cultivation, respectively, showed a probability five times greater and almost double for adoption, respectively. Attendance at classes and conferences on agricultural issues are also factors that influenced adoption. The variable aid received increased the probability of adopting by three times, which indicates that a greater availability of government aid increased the speed of adoption.
The predictors estimated by the PH Cox´s model (Table 2) predict that, in four years, 90% of the farmers will improved seeds (Figure 6).
Figure 6: Survival curve using Cox-model variables.
Figura 6: Curva de supervivencia utilizando variables del modelo de Cox.
Discussion
The positive effect that education has on adoption of new technology coincide with studies that indicate “… farmers with a better level of education are more likely to adopt new agricultural technologies” (52, 53). Adoption is also positively associated with relatives with more education (6), something that motivates adoption and can potentially result in larger plots and higher income. Attendance at classes and conferences on agricultural issues influenced adoption. In this sense, various authors (24, 25, 41) argue that the link between different parties through participation in courses and technical assistance could be more important than education level in predicting technology adoption.
As expected from previous findings, younger farmers were quicker in adopting new technology, in comparison to older farmers, who lean towards traditional farming practices (16). Age can be a decisive factor in adopting new technologies (45). Furthermore, the years spent on garlic farming increases the probability of adoption. Experienced farmers are more likely to adopt technological innovations (11). Technology adoption is a process that requires the participation of several components, among which are the producer and decision-maker. Making a decision regarding adoption is influenced by several factors that require time to resolve before adoption can take place (9). Mexican farmers demonstrate only a moderate trend toward change over time given a general attitude of mistrust toward non-traditional agricultural practices (49). However, adoption of a technological innovation is fast when farmers perceive immediate benefits, as with hybrid corn in Ethiopia, where 50% of farmers adopted it within two years (3). Timely information of good quality regarding new technology influences the farmer’s decision to adopt it (29).
Results are consistent with other literature that highlights the importance of non-economic factors that play a role in technology adoption such as access to technological information, trust, and perceived utility of various information sources (56). Extension programs given by trained personnel are potentially effective in spreading new technologies intended to increase productivity and improve rural poverty conditions (36, 41). Demonstration plots or field trips are the fastest way to communicate technological information to small farmers, followed by agricultural instructors (35). In the same way, preferences toward risk are a factor in adopting improved varieties (7, 16, 30). Thus, adoption of one component of a technological package increases the probability that farmers will adopt other essential components (57). Although adopting improved varieties contributes to increased productivity, the use must be complemented with other innovations and materials that allow them to express their full genetic potential.
Yield increase is expected to increase income, which is important not only for purchasing production materials, but also for acquiring more land, hiring more labor, and buying other non-productive assets that could help expand the crop (2).
The economic constraint model sets forth that endowment of resources is the main obstacle in short-term adoption (39, 51). Thus, farmer confidence in external public support can positively influence adoption of improved seeds. Relevant theoretical and empirical factors reported in previous studies were identified. At theoretical level, adoption of a technology follows an S-shaped sigmoidal process (19) and occurs after a certain period; in this study, after the second and third year. In addition, factors such as knowledge on the new technology were decisive for adoption to occur, which is consistent with other studies in Mexico (10, 12, 13, 58).
Age is another determinant of technology adoption that is repeated in many empirical studies, setting forth that younger producers are more likely to adopt new technologies. Finally, results agree with Mottaleb (2018) in terms of greater technology adoption as the result of initial support in the form of subsidies and technical support as a facilitator.
Conclusions
This work evaluates adoption time of the garlic variety, CEZAC 06, and the factors that influenced this decision among farmers. CEZAC 06 was adopted by 62.5% of farmers by the second year after they were first introduced to it. The decision to adopt the improved variety was significantly affected by age, years in the garlic farming industry, available hectares for urva de supervivencia utilizando variables del modelo de Cox.
production, yield, college-educated family members, income from agriculture, income from garlic farming, number of courses taken on agrarian topics, federal aid, and membership to an organization. Increased adoption of CEZAC 06 will increase yield and rural farmers could improve the quality of the bulb as a marketable surplus. This would increase income and improve household well-being. Technological innovations that significantly increase income are adopted more quickly.
The analysis also suggested that new technologies should be transmitted at higher rates to increase adoption. This can be done by implementing courses aimed at farmers with low educational backgrounds, small plots of land and low productivity levels. Courses must be short, dynamic and avoid technical language while highlighting income and production benefits derived from technological adoption. Promoting adoption of CEZAC 06 among producers will boost productivity of vegetable patches and better satisfy market demand. Government institutions play an important role by granting aid, a key investment when promoting use of efficient agricultural technologies. This work contributes to the scarce literature on the application of survival analysis to agricultural technologies. Future research should more deeply evaluate risk attitudes and extension programs.
Acknowledgements
I am grateful for Manuel Reveles Hernández’ help, researcher at the Instituto Nacional de Investigaciones Forestales, Agrícolas y Pecuarias (INIFAP) in the Campo Experimental Zacatecas and generator of the CEZAC 06 technology, and to Ramón Trejo for his great support..
1. Abbas, T.; Ali, G.; Adil, A.; Bashir, K.; Kamran, A. 2017. Economic analysis of biogas adoption technology by rural farmers: The case of Faisalabad district in Pakistan. Renewable energy. 107: 431-439.
2. Awotide, A.; Karimov, A.; Diagne, A. 2016. Agricultural technology adoption, commercialization and smallholder rice farmers’ welfare in rural Nigeria. Agricultural and Food Economics. 4(1): 3. https://doi.org/10.1186/s40100-016-0047-8.
3. Bekele, A.; Abebe, Y. 2015. Analysis of adoption spell of hybrid maize in the Central Rift Valley, Oromyia National Regional State of Ethiopia: A duration model approach. Journal Agric Econ Dev. 3 (4): 207-13. https://doi.org/10.4314/star.v3i4.30.
4. Beyene, D.; Kassie, M. 2015. Speed of adoption of improved maize varieties in Tanzania: An application of duration analysis. Technol Forecast Soc Change. 96: 298-307. https://doi. org/10.1016/j.techfore.2015.04.007.
5. Burton, M.; Rigby, D.; Young, T. 2003. Modelling the adoption of organic horticultural technology in the UK using duration analysis. Australian Journal of Agricultural and Resource Economics. 47(1): 29-54. https://doi.org/10.1111/1467-8489.00202.
6. Chirwa, E. 2005. Adoption of fertiliser and hybrid seeds by smallholder maize farmers in Southern Malawi. Development Southern Africa. 22(1): 1-12. https://doi. org/10.1080/03768350500044065.
7. Chouinard, H.; Wandschneider, R.; Paterson, T. 2016. Inferences from sparse data: An integrated, meta-utility approach to conservation research. Ecological Economics. 122: 71-78.
8. Cox, D. 1972. Regression models and life tables. J R Stat Soc. 34(2): 187-220. https://doi. org/10.1007/978-1-4612-4380-9_37.
9. Cuevas, V.; Baca, J.; Cervantes, F.; Espinoza, A.; Aguilar, J.; Loaiza, A. 2013. Factores que determinan el uso de innovaciones tecnológicas en la ganadería de doble propósito en Sinaloa, México. Revista Mexicana de Ciencias Pecuarias. 4(1): 31-46.
10. Cuevas-Reyes, V. 2019. Factores que determinan la adopción del ensilaje en unidades de producción ganaderas en el trópico seco del noroeste de México. Ciencia y Tecnología Agropecuaria. 20(3): 467-477 DOI: https://doi.org/10.21930/rcta.vol20_num3_art:1586.
11. Cuevas-Reyes, V.; Astengo, E.; Loaiza, A.; Antengo, H.; Reyes, J.; González, D.; Moreno, T. 2016. Análisis de la percepción del uso de tecnología de productores pecuarios en Sinaloa, México. Nova scientia. 8(16): 455-474. https://doi.org/10.21640/ns.v8i16.458.
12. Cuevas-Reyes, V.; Sánchez-Toledano, B.; Servín, R.; Reyes, J.; Loaiza, A.; Moreno, T. 2020. Factores determinantes del uso de sorgo para alimentación de ganado bovino en el noroeste de México. Revista mexicana de ciencias pecuarias, 11(4): 1113-1125. https://doi.org/10.22319/ rmcp.v11i4.5292.
13. Del Angel-Pérez, A.; Villagómez-Cortés, J.; Larqué-Saavedra, B.; Adame-García, J.; Tapia-Naranjo, C.; Sangerman-Jarquin, D. 2018. Preferencias y percepciones asociadas con semilla mejorada de maíz según productores de Veracruz Central, México. Rev Mex Cienc Agric. 9(1): 163- 173. https://doi.org/10.29312/remexca.v9i1.856.
14. De Souza, M.; Young, T.; Burton, M. P. 1999. Factors influencing the adoption of sustainable agricultural technologies: evidence from the State of Espı́rito Santo, Brazil. Technological forecasting and social change. 60(2): 97-112. https://doi.org/10.1016/s0040-1625(98)00040-7.
15. Feder, G.; Just, R.; Zilberman D. 1985a. Adoption of agricultural innovations in developing countries: a survey. Econ. Dev. Cult. Chang. 33: 255-297.
16. Feder, G.; Just, E.; Zilberman, D. 1985b. Adoption of agricultural innovation in developing countries: “A Survey”. Economic development and cultural change. 32: 255-298. https://doi. org/10.1086/451461.
17. Feder, G.; Umali, D. 1993. The adoption of agricultural innovations. Technol Forecast Soc Change. 43(3-4): 215-39.
18. Ghadim, A.; Pannell, D.; Burton, M. 2005. Risk, uncertainty, and learning in adoption of a crop innovation. Agricultural Economics. 33(1): 1-9. https://doi.org/10.1111/j.1574- 0862.2005.00433.x.
19. Griliches, Z. 1957. Hybrid Corn: An exploration in the economics of technology change. Econométrica. 25: 501-22.
20. INAFED (Instituto Nacional para el Federalismo y el Desarrollo Municipal) 2020. Enciclopedia de los municipios y delegaciones de México. http://www.inafed.gob.mx/work/enciclopedia/EMM32zacatecas/mediofisico.html [March 30, 2020].
21. INEGI. 2020. Censo de Población y Vivienda. http://cuentame.inegi.org.mx/monografias/informacion/zac/poblacion/ (accessed on 30 march 2021).
22. Infoaserca. 2018. Claridades agropecuarias. https://info.aserca.gob.mx/claridades/revistas/068/ca068.pdf
23. Kallas, Z.; Serra, T.; Gil, J. 2010. Farmers’ objectives as determinants of organic farming adoption: the case of Catalonian vineyard production. Agric Econ. 41(5): 409-23. https://doi. org/10.1111/j.1574-0862.2010.00454.x.
24. Kaliba, R.; Mazvimavi, K.; Gregory, L.; Mgonja, M.; Mgonja, M. 2018. Factors affecting adoption of improved sorghum varieties in Tanzania under information and capital constraints. Agric Econ. 6(1): 18. https://doi.org/10.1186/s40100-018-0114-4.
25. Kalirajan, P.; Shand, T. 1985. Types of education and agricultural productivity: a quantitative analysis of Tamil Nadu rice farming. The Journal of Development Studies. 21(2): 232-243. https://doi.org/10.1080/00220388508421940.
26. Kassie, M.; Shiferaw, B.; Muricho, G. 2011. Agricultural technology, crop income, and poverty alleviation in Uganda. World Development. 39(10): 1784-1795. https://doi.org/10.1016/j. worlddev.2011.04.023.
27. Kiefer, N. 1988. Economic duration data and hazard functions. J Econ Lit. 26(2): 646-79.
28. Lai, C. 2016. Design and Security impact on consumers’ intention to use single platform E-payment, Interdisciplinary Information Sciences. 22(1): 111-122. https://doi.org/10.4036/ iis.2016.r.05.
29. Lambrecht, I.; Vanlaue, B.; Merckx, R.; Maertens, M. 2014. Understanding the process of technology adoption. Mineral Fertilizer in Eastern DR. Congo. World Development. (59): 132-146. https://doi.org/10.1016/j.worlddev.2014.01.024.
30. Liu, T.; Bruins, J.; Heberling, T. 2018. Factors influencing farmers’ adoption of best management practices: A review and synthesis. Sustainability. 10(2): 432. https://doi.org/10.3390/ su10020432.
31. López, M.; Filipello, M. 1994. Maize seed industries revisited: Emerging roles of the public and private sectors. CIMMYT World Maize Facts and Trends: Maize Seed Industries Maize seed industries revisited: Emerging roles of the public and private sectors. Prime. Emerg Roles Public Priv Sect Mex DF.
32. Macías, M.; Maciel, H.; Velásquez, R. 2007. San Marqueño: nuevo clon de ajo tipo perla y su tecnología de producción. Campo Experimental Pabellón-Instituto Nacional de Investigaciones, Forestales, Agrícolas y Pecuarias (INIFAP). Aguascalientes, Aguascalientes, México. Folleto técnico N°: 29. 34 p.
33. Marchetti, M.; Ghirardi, A.; Masciulli, A.; Carobbio, A.; Palandri, F.; Vianelli, N.; Cattaneo, D. 2020. Second cancers in MPN: Survival analysis from an international study. American journal of hematology. 95(3): 295-301. https://doi.org/10.1002/ajh.25700.
34. Mottaleb, K. A. 2018. Perception and adoption of a new agricultural technology: Evidence from a developing country. Technology in Society. 55: 126-135. https://doi.org/10.1016/j.techsoc.2018.07.007.
35. Murage, W.; Obare, G.; Chianu, J.; Amudavi, M.; Pickett, J.; Khan, R. 2011. Duration analysis of technology adoption effects of dissemination pathways: a case of ‘push-pull’technology for control of striga weeds and stemborers in Western Kenya. Cult Prot. 30: 531-538.
36. Nakano, Y.; Tsusaka, W.; Aida, T.; Pede, O. 2018. Is farmer-to-farmer extension effective? The impact of training on technology adoption and rice farming productivity in Tanzania. World Development. 105: 336-351. https://doi.org/10.1016/j.worlddev.2017.12.013.
37. Nemati, M.; Ansary, J.; Nemati, N. 2020. Machine-Learning Approaches in COVID-19 Survival Analysis and Discharge-Time Likelihood Prediction Using Clinical Data. Patterns. 1(5): 100074. doi:10.1016/j.patter.2020.100074.
38. Ofori, E.; Griffin, T.; Yeager, E. 2020. Duration analyses of precision agriculture technology adoption: What’s influencing farmers’ time-to-adoption decisions? Agricultural Finance Review. Vol. ahead-of-print No. ahead-of-print. https://doi.org/10.1108/AFR-11-2019-0121
39. Quintero Peralta, M. A.; Gallardo-Cobos, R. M.; Sánchez-Zamora, P. 2020. The need for extra-agrarian peasant strategies as a means of survival in marginal rural communities in Mexico. Revista de la Facultad de Ciencias Agrarias. Universidad Nacional de Cuyo. Mendoza. Argentina. 52(1): 246-260.
40. Ragasa, C.; Thornsbury, S.; Joshi, S. 2017. Dynamics of EU food safety certification: a survival analysis of firm decisions. Agric Econ. 5(1): 11. https://doi.org/10.1186/s40100-017-0080-2.
41. Ramírez-Gómez, C. J.; Robledo Velasquez, J.; Aguilar-Avila, J. 2020. Trust networks and innovation dynamics of small farmers in Colombia: An approach from territorial system of agricultural innovation. Revista de la Facultad de Ciencias Agrarias. Universidad Nacional de Cuyo. Mendoza. Argenitna 52(2): 253-266.
42. Reveles, M.; Valle, R.; Alvarado, D.; Rubio, S. 2011. CEZAC 06: nueva variedad de ajo tipo Jaspeado para la región norte centro de México. Revista mexicana de ciencias agrícolas. 2(4): 601- 606. https://doi.org/10.29312/remexca.v2i4.1647.
43. Reveles, M.; Cid, A.; Trejo, R. 2014. Densidad relativa de bulbos de ajo variedad Barretero, característica sobresaliente del nuevo genotipo para Zacatecas. Actualidades y desafíos de la Investigación en Recursos Bióticos de Zonas Áridas. 627-633.
44. Rodríguez, R.; Donnet, L.; Jácome, S.; Jolalpa, J.; López, D.; Domínguez, C.; Moctezuma, G.; Espinoza, J.; Cepeda, J.; Rentería, I.; Sauceda, G. 2015. Caracterización de la demanda de semillas mejoradas de maíz en tres agro-ambientes de producción de temporal en México. Rodríguez, R; Donnet, L; editors. México. 170 p.
45. Rogers, E. 2003. Difussion of Innovations. 5th ed. New York. USA: The Free Press.
46. Sánchez-Toledano, B.; Zegbe, A.; Rumayor, A.; Moctezuma, G. 2013. Estructura económica competitiva del sector agropecuario de Zacatecas: un análisis por agrocadenas. Revista Mexicana de Agronegocios. 33(28): 552-563.
47. Sánchez-Toledano, B.; Zegbe, J.; Rumayor, A. 2013. Propuesta para evaluar el proceso de adopción de las innovaciones tecnológicas. Rev. Mex. Cien Agríc. 4(6): 855-868. https://doi. org/10.29312/remexca.v4i6.1154.
48. Sánchez-Toledano, B.; Kallas, Z.; Gil, J. 2017. Importancia de los objetivos sociales, ambientales y económicos de los agricultores en la adopción de maíz mejorado en Chiapas, México. Revista de la Facultad de Ciencias Agrarias. Universidad Nacional de Cuyo. Mendoza. Argentina. 49(2): 269-287.
49. Sánchez-Toledano, B.; Kallas, Z.; Palmeros, O.; Gil, J. 2018. Determinant factors of the adoption of improved maize seeds in Southern Mexico: A survival analysis approach. Sustainability. 10(10): 3543. https://doi.org/10.3390/su10103543.
50. Schroeder, C.; Onyango, K.; Ranabhat, N.; Jick, N.; Parzies, H.; Gemenet, D. 2013. Potentials of hybrid maize varieties for small-holder farmers in Kenya: a review based on swot analysis. African J food, Agric Nutr Dev. 13(2).
51. Seymour, G.; Doss, C.; Marenya, P.; Meinzen-Dick, R.; Passarelli, S. 2016. Women’s empowerment and the adoption of improved maize varieties: evidence from Ethiopia, Kenya, and Tanzania (N° 333-2016-14640).
52. Shiferaw, A.; Okello, J.; Reddy, V. 2009. Adoption and adaptation of natural resource management innovations in smallholder agriculture: reflections on key lessons and best practices. Environment, Development and Sustainability. 11: 601-619. https://doi.org/10.1007/s10668- 007-9132-1.
53. Shiferaw, B.; Kassie, M.; Jaleta, M.; Yirga, C. 2014. Adoption of improved wheat varieties and impacts on household food security in Ethiopia. Food Policy. 44: 272-284. https://doi. org/10.1016/j.foodpol.2013.09.012.
54. SIAP. 2018. Avances de siembras y cosechas por estado y año agrícola. Secretaría de Agricultura, Ganadería, Desarrollo Rural, Pesca y Alimentación. http://infosiap.siap.gob.mx:8080/agricola_siap_gobmx/ResumenProducto.do [March 15, 2020].
55. Teklewold, H.; Kassie, M.; Shiferaw, B. 2013. Adoption of multiple sustainable agricultural practices in rural Ethiopia. Journal of Agricultural Economics. 64(3): 597-623. https://doi. org/10.1111/1477-9552.12011.
56. Tomas, L.; Barnes, P.; Sutherland, A.; Thomson, S.; Burnett, F.; Mathews, K. 2018. Impact of information transfer on farmers’ uptake of innovative crop technologies: a structural equation model applied to survey data. The Journal of Technology Transfer. 43(4): 864-881. https:// doi.org/10.1007/s10961-016-9520-5.
57. Tura, M.; Aredo, D.; Tsegaye, W.; La Rovere, R.; Tesfahun, G.; Mwangi, W.; Mwabu, G. 2010. Adoption and continued use of improved maize seeds: case study of Central Ethiopia. Afr. J. Agric. Res. 5(17): 2350-2358.
58. Uzcanga, N.; Larqué, B.; Del Ángel, A.; Rangel, M.; Cano, A. 2017. Preferencias de los agricultores por semillas mejoradas y nativas de maíz en la Península de Yucatán, México. Rev Mex Cienc Agric. (5): 1021-1033. https://doi.org/10.29312/remexca.v8i5.105.
59. Velásquez, R.; Medina, M.; Rubio, S. 2002. Guía para el manejo de la pudrición blanca del ajo en Zacatecas. Folleto Técnico N° 9. Campo Experimental Zacatecas-INIFAP. Calera, Zac. Méx. 20 p.
60. World Bank Agriculture for Development. World Development Report 2008 World Bank, Washington D.C. 2008. https://openknowledge.worldbank.org/handle/10986/5990 Accessed 6th Apr 2021.
61. Zepp, G.; Harwood, J.; Somwaru, A. 1996. Garlic: An economic assessment of the feasibility of providing multiple-peril crop insurance. Economic research service, U.S. Department of agriculture for the office of risk management. 48 p.
62. Zhang, G.; Wang, Q.; Yang, M.; Yao, X.; Qi, X.; An, Y.; Guo, X. 2020. Spaad: an online tool to perform survival analysis by integrating gene expression profiling and long-term follow-up data of 1319 pancreatic carcinoma patients. Molecular carcinogénesis. 59(3): 304-310. https:// doi.org/10.1002/mc.23154.