Revista de la Facultad de Ciencias Agrarias. Universidad Nacional de Cuyo. Tomo 53(2). ISSN (en línea) 1853-8665. Año 2021.
Original article
Effect of rearing system and sex on the composition and fatty acid profile of Andinoacara rivulatus meat from Ecuador
Efecto del sistema de producción y sexo en la composición y perfil de ácidos grasos de la carne de Andinoacara rivulatus criada en Ecuador
Elena Angón 1
Martin Armando González 2
Jorge Magno Rodríguez Tobar 2
Cecilio Barba Capote 1
Antón Rafael García Martínez 1
1 Universidad de Córdoba. Departamento de Producción Animal. Ctra. Madrid-Cádiz Km. 396-a. 14071 Córdoba. España.
2 Universidad Técnica Estatal de Quevedo. Facultad de Ciencias Pecuarias. Escuela de Zootecnia. Quevedo. Ecuador.
Abstract
This study evaluated the influence of rearing system (cultured vs. wild rearing systems), and fish sex on carcass and flesh traits of A. rivulatus, raised in Ecuador. Three hundred mature specimens from A. rivulatus were captured, 150 from each origin. Slaughter yield and dress-out resulted similar for both rearing system, and average fillet yield for cultured fish was significantly higher than for wild fish, while cooking loss was significantly lower. Dress-out was significantly higher in females. Significant differences were found in wet percentage, ash, fat and protein content in both rearing systems, but only wet percentage was significantly affected by sex. Palmitic, oleic and arachidonic acids had the maximum percentage of saturated (SFA) and mono/poly unsaturated (MUFA/PUFA) fatty acids, respectively. In cultured and wild fish, differentiations were also found in PUFA/SFA, docosahexaenoic acid (DHA)/eicosapentaenoic acid (EPA), atherogenicity (IA), and thrombogenicity (IT) indices, along with P, K, Mg, Cu and Fe. Sex and rearing system significantly influenced most of the analyzed characteristics of carcass and flesh of A. rivulatus. Fillet high yield and its proximate composition categorize A. rivulatus as a suitable food. These results provide valuable nutritional information about native species for consumers in Ecuador.
Keywords: Freshwater fish; Flesh attributes; Proximate analysis; Minerals.
Resumen
Se evaluó la influencia del sistema de producción y el sexo en las características de la canal y la carne de A. rivulatus criado en Ecuador. Trescientos especímenes maduros de A. rivulatus fueron capturados, 150 de cada sistema de producción. El rendimiento de sacrificio y la canal fueron similares para ambos sistemas de producción y el rendimiento promedio de filete para los peces cultivados fue significativamente mayor en comparación con el pescado salvaje, mientras que la pérdida por cocción fue significativamente menor. El rendimiento a la canal fue significativamente mayor en hembras que en machos. Se encontraron diferencias significativas en el contenido de humedad, cenizas, grasas y proteínas en ambos sistemas de producción, pero solo la humedad se vio afectada significativamente por el sexo. Los ácidos palmítico, oleico y araquidónico presentaron el porcentaje máximo de ácidos grasos saturados y mono y poliinsaturados, respectivamente. En peces cultivados y silvestres también se encontró que difieren en los índices de PUFA / SFA, ácido docosahexaenoico (DHA) / ácido eicosapentaenoico (EPA) y aterogenicidad (IA) y trombogenicidad (IT). Hubo diferencias significativas en P, K, Mg, Cu y Fe. El sistema de cría y el sexo influyen significativamente en la mayoría de las características analizadas de la canal y la carne de A. rivulatus. El alto rendimiento de filete y su composición próxima categorizan a A. rivulatus como un alimento adecuado. Estos resultados aportan información nutricional valiosa de especies nativas para los consumidores de Ecuador.
Palabras clave: Pez de agua dulce; Características de la carne; Análisis proximal: Minerales.
Originales: Recepción: 18/11/2020
Aceptación: 06/03/2021
Introduction
Fish is an important functional food for approximately three billion people (46). It provides high quality protein, essential minerals (31) and polyunsaturated long chain omega-3 fatty acids, especially eicosapentaenoic and docosahexaenoic acids, with high nutritive value (12). Therefore, fish quality (in terms of freshness and the mentioned nutritive value) has become a strategic priority for the industry, and its inclusion in the human diet is essential (30).
In Ecuador, fishery contributes 7% of total animal protein supply. Sixty five percent comes from capture fisheries, and the remaining 35% from aquaculture. This last activity is source of employment and foreign exchange, while contributing to rural settlement and food security (15). Also, rural aquaculture has become a key component of rural livelihoods in situations where increasing population, environmental degradation, or loss of access, limit catches from wild fisheries (14). The fish species mainly caught on the coastal and Ecuadorian Amazon areas are Cichlasoma festae, Andinoacara rivulatus, Prochilodus magdalenae, Brycon alburnus, Leporinus ecuadoriensis, Hoplias microlepis and Lebiasina bimaculata, among others (15). A. rivulatus (syn. Aequidens rivulatus) or Vieja Azul, whose meat is highly appreciated by local consumers, is a colorful fish from the cichlid family distributed in the coastal waters from the Tumbes River (Perú) to the Esmeraldas River (Ecuador). They are found in low flow environments, although some inhabit more fast-flowing rivers. Its diet is mainly composed of insects and crustaceans (17). Adult males and females may reach lengths of 30 cm.
In order to produce and preserve this native species, a conservation programme was developed by the Subsecretary of Aquaculture of the Ministry of Agriculture, Livestock, Aquaculture and Fisheries (MAGAP, according to its initials in Spanish). In addition to improving environmental conditions and reducing pollution, this program must support aquaculture development. According to Solórzano Armijos (2016), knowledge of wild populations is necessary for improving chemical, physical and nutritional traits, as well as sensory profiles in the farmed specimens (21, 23, 39). Although morphological comparisons between cultured and wild fishes from several species have already been approached by several authors (7, 19, 21, 44), differences based on nutritional composition among cultured and wild A. rivulatus stocks, have not been studied yet. According to Mazon et al. (2018, 2020, 2021) and Gonzalez et al. (2017), productive yields of native species were influenced by genetic and environmental factors, like sex and rearing system (cultured vs. wild production). Consequently, this study aimed to evaluate the effect of rearing system and sex on the carcass and fillet traits, fatty acid composition and nutritional value of muscle tissue from A. rivulatus.
Materials and methods
Study area and experimental fish
The study was carried out in three areas of the Babahoyo River and a fish farm Center located in the Province Los Rios (Ecuador). The area has a tropical climate with average temperature of 25°C, annual rainfall of 2,400 mm and relative humidity of 82%. Water salinity did not exceed 0.1%, pH was 7.0-7.3 and temperature ranged between 19.7 and 24.7°C. Dissolved oxygen in the river and fish farm was 6.8 and 8.9 mg/l, respectively. Conductivity values were about 145 mS/cm.
Three hundred healthy adult specimens, male and female, of A. rivulatus were obtained at random from catches throughout year 2017. The sample included 300 adult specimens from Babahoyo River; 150 wild captured by local fishermen using nets, and 150 cultured. Farm rearing was carried out as follows: Three hundred and sixty initial specimens were cultured in net cages fixed in a pond bypass of the Babahoyo River. Eighteen net cages were fixed in a surface of 1 m2, submerged 1 m, and filled with 20 fish per m2, according to Rodriguez et al. (2017). In the farm, food was distributed three times/day adjusting consumption to 1.5% biomass. The diet was 32% crude protein, 7% fat, 5% crude fiber, 9% ash and 12% moisture. It was elaborated with cereal by-products, soybean meal, fish meal, corn protein concentrate, lecithin, vegetable oil, calcium carbonate, calcium phosphate, antioxidants and a premix of vitamins and minerals. From these 360 cultured fish, 150 were then sampled. Meanwhile, wild fish ate natural food based on insects and crustaceans. Males and females were morphologically differentiated.
All individuals were healthy adult fish, 2 to 3 years old, according to the number of scales, (13). In this research, no significant differences were found in number of scales according to rearing system and sex (7) ranging between 18.90 to 19.38 scales. Therefore, fish age was not considered a fixed factor.
After being caught, the specimens were kept in glass containers with 200 l dechlorinated tap water and continuous aeration. They were transported alive and introduced into two masonry tanks (capacity of 500 L, dissolved oxygen = 6.20 + 0.0 mg/L, temperature = 20.5 + 0.2°C and pH = 5.6 + 0.1). All fishes rested for 48 h before the experiment, with a fasting period of 24 h before stunning. For the experiment, water level in the tank was reduced by half; all fishes were quickly caught with a net and transferred to a plastic box (100 L), containing a mixture of 40 L of ice and 40 L of water (0.8°C), for stunning (about 20 min). Once death was certified, the fishes were identified, pH and biometric traits were performed and the specimens, in an undistorted condition, were stored in individual plastic bags at 0 + 2°C in ice, until further analysis and processing.
pH determination
Muscle pH was determined in duplicate after death (pH0), at 2 hours (pH2) and 12 hours (pH12) post mortem by inserting a pH electrode (portable meat pHmetre, HI99163, Hanna Instruments Ltd, UK) approximately 1 cm into the fillet’s right dorsal-cranial portion. The instrument was frequently calibrated using pH 4.01 and pH 7.00 buffers, and the electrode regularly cleaned to obtain consistent results.
Biometric and yield parameters
After rigor mortis, approximately 24 h post mortem, the fishes were weighed (bodyweight), measured (total and standard length) and dissected with a scalpel and scissors. Fins, scales, head, entrails, bones and fillet were removed and weighed. Head, guts and skin + fins yield was calculated according to Rutten et al. (2004). In addition, slaughter yield, dress-out, fillet yield and condition factor (K) were estimated by the following equations:


Flesh quality
After 45
minutes of filleting, surface colour of the internal side of right fillets was
recorded at three positions using a portable colourimeter (Lutron RGB-1002
Chroma Meter) equipped with light source C and a 2° observed angle, calibrated
to a white standard. Colour variables were: L* (lightness, +L* = white, -L* =
black), a* (red-green chromaticity, +a* = red, -a* = green) and b* (yellow-blue
chromaticity, +b* = yellow, -b* = blue) as recommended by CIE (1976). For each
fillet, three measurements (along the fillet) were done. Water holding capacity
was determined according to Grau & Hamm (1953), in two ways: drip loss and
cooking loss. To determine drip loss, two pieces of 5 mm × 10 mm × 20 mm fresh
muscle, were cut. These cubes were carefully suspended with a pin on the inside
of a bottle cap, not touching either side of the bottle, and stored for 24 h at
2 +°C.
The amount of drip measured between 24 h and 48 h post mortem was
expressed as percentage of the initial weight:
. To evaluate cooking
loss, the samples (approximately 30 g) were trimmed of external fat, weighed,
placed in a polyethylene bag and immersed in a water bath (JP Selecta,
Barcelona, Spain) at 80°C until internal temperature achieved 70°C. Temperature
was repeatedly monitored by a Type flexible high-temperature thermocouple
(Hanna, Instruments, EE.UU) inserted into the geometric centre of each piece.
Once the samples were cooled at room temperature (approximately 15°C) for 40
min and gently dried on filter paper, they were re-weighed. Cooking loss
percentage was calculated as follows:
Proximate composition and fatty acid profile
For proximate composition analysis, A. rivulatus fillets were homogenized using a 20.000 rpm grinder. Crude protein and fat content were measured by the block digestion method (UNE 55-020), ash was obtained at 550°C for 24 h (ISO R-936), and wet percentage was determined by drying at 103°C for 24 h (ISO R-1442) according to AOAC (2000). Fat percentage was measured according to the Soxhlet method (ISO R-1443) using a Foss Tecator AB Soxtec 2050. Analyses were determined in duplicate and expressed as mg/100g of raw meat.
Skinned and deboned muscles from individual fish, were blended into homogeneous flesh for total lipid extraction with chloroform/methanol (2:1 v/v) containing 0.01% of Butylated hydroxytoluene (BHT) as antioxidant (16). The organic solvent was evaporated under nitrogen stream and lipid content was determined gravimetrically. Aliquots of extracted lipids were converted to fatty acid methyl esters (FAME) according to Chistie (1993). FAME were separated and identified on GC Perkin Elmer Clarus 500 gas chromatograph with a flame ionization detector (FID) equipped with a TR-FAME capillary column (30 m x 0.25 mm i.d., 0.25 μm film thickness, Shinwa Inc.), using helium as carrier gas at a flow rate of 0.5 ml/min. Both injector and detector were maintained at 250 and 260°C, respectively. Oven temperature was programmed at 100°C, followed by increasing steps of 2°C/min until 220°C, with a final hold time of 20 min. Individual fatty acids were identified by comparing their retention times with those of a standard fatty acid mix Sulpeco 37 (Sigma Chemical Co. Ltd., Poole, UK). Nonadecanoic acid methyl ester (19:0 ME) was used as internal standard. Individual fatty acids were expressed as percentage of total identified fatty acids, and as mg/g muscle raw tissue. They were grouped as follows: saturated fatty acid (SFA), monounsaturated (MUFA), polyunsaturated fatty acid (PUFA), n-6 and n-3. The PUFA/SFA, DHA/EPA, Σ n-6/Σ n-3 ratios, atherogenicity (IA) and thrombogenicity (IT) indices were also calculated. IA indicates the relationship between the sum of the main saturated fatty acids and that of the main classes of unsaturated, the former being considered pro-atherogenic (favouring the adhesion of lipids to cells of the immunological and circulatory system), and the latter anti-atherogenic (inhibiting plaque aggregation and diminishing levels of esterified fatty acid, cholesterol, and phospholipids, preventing micro and macro coronary diseases). Finally, IT shows clotting tendency in blood vessels (42). IA and IT indices were calculated by using the Ulbricht and Southgate (1991) equations as follows:


Statistical analysis
A total of 300 fish flesh samples were analysed according to different parameters. Normality and homoscedasticity were checked with Kolmogorov-Smirnoff and Levene tests, respectively. Then, general linear models (GLM) with post hoc Tukey test determined effects of rearing system (wild and cultured) and sex (male and female) on carcass and fillet traits, proximate composition, fatty acid composition and trace mineral content. Differences were considered statistically significant for p < 0.05. All statistical analyses were done using Statistica 12.0 for Windows.
Results and discussion
Biometric and yield parameters
Live weight was significantly higher in the wild population (Table 1), which seems to indicate that artificial feeding should be improved. However, the cultivated population had a greater total length, probably a morphological adaptation to this aquatic habitat.
Table 1: Biometric measurements and yield parameters (mean value + SE) by rearing system and sex of A. rivulatus.
Tabla 1: Medidas biométricas y rendimientos (media ± ES) en cada sistema y sexo de A. rivulatus.

1 * p < 0.05; ** p < 0.01; *** p < 0.001; n.s.: not significant.
1 * p < 0,05; ** p < 0,01; *** p < 0,001; n.s.: no significativo.
These results partially agree with Vreven et al. (1998) who also indicated that confinement of domesticated fish affects their growth rate, but contrasting with our results as they observed no body elongation, along with a higher K value. Sex had a non-significant influence on both variables, attributable to the fact that catch size is conditioned by consumer demand. Rearing system and sex had a significant effect on the K factor, in agreement with González et al. (2016) in Cichlasoma festae. All wild fish and cultivated males presented higher values than all those cultivated and females. The K values obtained in this study, indicators of the status of A. rivulatus aquatic ecosystems, were higher than that recorded by Anene (2005) in four cichlid fish (4.9), and those registered for González et al. (2016) in Cichlasoma festae (3.01 and 3.62, for cultured and wild specimens, respectively) in similar habitats to those of the present study. This evidences a greater feeding capacity than the species previously mentioned.
Rearing system significantly affected head (higher in wild specimens), skin + fin and fillet yield percentages (higher in cultivated specimens), in accordance with Gonzalez et al. (2017). Meanwhile, sex significantly affected head and slaughter + end (higher in males), and gut and dress-out percentage (higher in females). Head percentage was significantly higher in wild fish, while skin + fins and fillet percentages were higher in cultured specimens. These results were similar to those found by Gonzalez et al. (2016) for Cichlasoma festae in Ecuador. Differences between systems could be attributed to fish high phenotypic plasticity, greater than any other vertebrates (6).
Flesh quality and proximate composition
Flesh quality traits of A. rivulatus are shown in Table 2.
Table 2: Flesh quality traits, water holding capacity (WHC), and proximate composition (g/100 g wet weight) (mean value + SE) by rearing system and sex of A. rivulatus.
Table 2: Características de calidad de la carne y capacidad de retención de agua (WHC) y composición proximal (g/100 g peso húmedo) (media ± ES) en cada sistema y sexo de A. rivulatus.

pH0 = pH at slaughter; pH2 = pH at 2 hours post mortem; pH12 = pH at 12 hours post mortem; L*, a* and b* = instrumental parameters color (CIE L*. a*. b*) 1 * p < 0.05; ** p < 0.01; *** p < 0.001; n.s.: not significant.
pH0 = pH al sacrificio; pH2 = pH a las 2 horas post mortem; pH12 = pH a las 12 horas post mortem; L*, a* and b* = parámetros del color (CIE L*. a*. b*) 1 * p < 0,05; ** p < 0,01; *** p < 0,001; n.s.: no significativo.
The pH0, suitable index of meat quality (25), constitutes the most important factor influencing meat texture. Minor changes in pH dramatically modify both its physical and sensory properties.
In the first 12 hours post mortem, pH values were lower in wild specimens than in cultivated ones (0.83 vs. 0.59), in accordance with Robb et al. (2000) and Roth et al. (2009) who reported that muscle pH displayed a rapid decline during the aforementioned period. However, this drop was linear and progressive, in disagreement with González et al. (2017), who had indicated a harsh drop during the first 2 hours post mortem. Even though pH values were adjusted by the temperature sensor of the pHmetre used, temperature may have generated differences in pH. High values were associated with small and stressed animals (8, 28) and influenced by rearing system, with higher values in wild specimens, to which capture procedure could contribute.
Drip loss resulted similar to the obtained by González et al. (2017), although lower than those reported by Intarak et al. (2015) in Panga fish (Pangasius bocourti Sauvage), who obtained values from 4.88% to 2.88%, with significant decreases as live weight increased. None of the studied factors, rearing system or sex, had significant influence on drip loss. Cooking loss was similar to the recorded by Gonzalez et al. (2017) in Cichlasoma festae. These authors did not find system-attributable differences, while in our study wild specimens flesh showed significantly higher values, possibly due to higher wet content.
Fish composition is affected by several factors such as size, temperature, salinity, rearing system and feeding, among others (18). According to Chandrashetkar and Desthale (1993), normal variations between fish constituents are: 66-81% wet, 16-21% protein, 0.2-25% fat and 1.2-1.5% ash. Proximate analysis (Table 2) resulted similar to that reported by Mashaii et al. (2012) for ash (1.38-1.59%), wet percentage (75.2-76.9%) and total fat (2.48-4.88%), while resulted higher than protein content (17.4-17.9%) in cultured Oncorhynchus mykiss. Concerning crude protein content, our results were also higher than those obtained for Cyprinus carpio (16% wet weight) (14) and for Cichlasoma festae (17.33% wet weight) (20) but similar to the 18.4-20.8% reported for the Cichlidae family (36). Gonzalez-Artola (2004) classified fish according to fat content, into lean fish (fat less than 2%), low-fat fish (fat 2-4%), medium fat fish (fat 4-8%) and high-fat fish (fat more 8%). Thus, based on this classification, A. rivulatus could be considered a medium fat fish. In agreement with previous studies (1, 5, 20, 31), rearing system significantly influenced every analyzed variable. Cultured specimens possessed higher ash, fat and protein, and lower wet percentage than wild ones. Female fish flesh had higher wet percentage than males. Differences between culture and wild specimens could probably be due to a high dietary protein level in cultured fish feed.
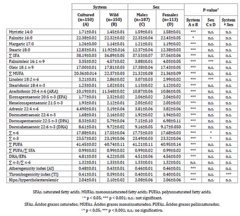
Fatty acid profile
Fish body composition suffers changes in response to diet and environmental conditions. Differences in fatty acid composition between rearing systems could be attributable to differences between cultured and wild specimens. Significant differences in fatty acid content were found between cultured and wild fish, except for ratio n-3/n-6, which was similar between both systems (Table 3).
Table 3: Fatty acid composition (mean value + SE) according to rearing system and sex of A. rivulatus.
Table 3: Composición de ácidos grasos (media ± ES) en cada sistema y sexo de A. rivulatus.

However, sex had little influence on fatty acids profile. SFA and PUFA percentages were higher in cultured fish, whereas MUFA content, was lower, probably given to the low content of oleic and palmitoleic acids in cultured fish feed. Assimilation patterns of dietary fatty acids in fish muscle reflect the content of dietary lipid sources (1). The major fatty acids identified in both fish were palmitic, oleic, stearic, arachidonic, docosahexaenoic and docosapentaenoic acids.
Palmitic acid was the primary saturated fatty acid, contributing, approximately, with 58.6% and 60.8% of total SFA content for cultured and wild fish, respectively, lower than those obtained by Alasalvar et al. (2002). Meat from cultured specimens had a higher SFA content than that of wild ones (40.18% vs. 38.33%), in accordance with Łuczynsk et al. (2014). Thus, the remaining fatty acids found in both fish (about 56%) were mono and polyunsaturated fatty acids.
Oleic acid was identified as the primary MUFA in both rearing systems, significantly higher in wild fish, in accordance with Alasalvar et al. (2010). This fatty acid has an exogenous origin, probably owed to the diet (27).
Regarding PUFA content, significantly higher levels were found for cultured fish. According to Martínez et al. (2010) and Busetto et al. (2008), n-6 fatty acid content was significantly higher in cultured fish. Arachidonic acid was the dominant fatty acid in both fish, significantly higher in wild fish and greater than that obtained by Łuczynsk et al. (2014), Jabeen et al. (2011) and Martínez et al. (2010). This acid is a prostaglandin and thromboxane precursor (37), probably facilitating blood clotting by attaching to endothelial cells during wound healing.
In the n-3 fatty acids family, docosahexaenoic and docosapentaenoic acids were the most abundant, achieving greater values than for C. festae in similar climatic conditions (20). However, eicosapentaenoic acid values were lower than those obtained by Gonzalez et al. (2017) for C. festae in Ecuador. Given that DHA and EPA are key components for human healthy diets (29), suitable choices of dietary lipids in cultured fish would allow improving fatty acids profile, especially in n-3 PUFAs.
In our study, no differences between rearing systems were found in n-3/n-6 ratio (1.32 for all data). These values were higher than those obtained by González et al. (2017) in C. festae and Hoseini et al. (2013), in farmed Hypophthalmichthys nobilis and Ctenopharyngodon idella. Simopoulos (2008) suggested that n-3⁄n-6 ratio should be kept between 1:1 and 1:4.
Nutritional quality was evaluated through atherogenicity (IA) and thrombogenicity (IT) indices determining the potential impact on human health. Mean values of IA and IT indices were 0.48 and 0.41 for cultured fish and 0.43 and 0.39 for wild specimens, lower than the reported by Šimat et al. (2015). However, in contrast with Šimat et al. (2015), in cultured fish, IA and IT were significantly higher.
Conclusions
Rearing system and sex significantly influence most of the analyzed characteristics of carcass and flesh of A. rivulatus. High fillet yield and its proximate composition categorize A. rivulatus as a suitable food. The results obtained from this study indicate that proximate composition of fillet of cultured A. rivulatus is more adequate than those of wild A. rivulatus, since cultured fish contains higher n-3 and n-6 PUFA percentages and adequate n-3/n-6 ratio.
1. Alasalvar, C.; Taylor, K. D. A.; Zubcov, E.; Shahidi, F.; Alexis, M. 2002. Differentiation of cultured and wild sea bass (Dicentrarchus labrax): total lipid content, fatty acid and trace mineral composition. Food chemistry. 79: 145-150. DOI: https://doi.org/10.1016/S0308- 8146(02)00122-X.
2. Alasalvar, C.; Grigor, J. M.; Ali, Z.; 2010. Practical evaluation of fish quality by objective; subjective; and statistical testing. Handbook of Seafood Quality, Safety and Health Applications. 11-28. DOI: https://doi.org/10.1002/9781444325546.ch2.
3. Anene, A. 2005. Condition factor of four cichlid species of a man-made lake in Imo State, Southeastern Nigeria. Turkish Journal of Fisheries and Aquatic Sciences. 5: 47-45.
4. AOAC. 2000. Official methods of analysis (17th ed.). Association of Official Analytical Chemists. Gaithersburg. MD. USA.
5. Busetto, M. L.; Moretti, V. M.; Moreno-Rojas, J. M.; Caprino, F.; Giani, I.; Malandra, R.; Bellagamba, F.; Guillou, C. 2008. Authentication of farmed and wild turbot (Psetta maxima) by fatty acid and isotopic analyses combined with chemometrics. Journal of Agricultural and Food Chemistry. 56: 2742-2750. DOI: https://doi.org/10.1021/jf0734267.
6. Cabral, H. N.; Marques, J. F.; Rego, A. L.; Catarino, A. I.; Figueiredo, J.; Garcia, J. 2003. Genetic and morphological variation of Synaptura lusitanica Capello, 1868, along the Portuguese coast. Journal of Sea Research. 50: 167-175. DOI: https://doi.org/10.1016/S1385- 1101(03)00060-1.
7. Caéz, J.; González, A.; González, M. A.; Angón, E.; Rodríguez, J. M.; Peña, F.; Barca, C. García, A. 2019. Application of multifactorial discriminant analysis in the morphostructural differentiation of wild and cultured populations of Vieja Azul (Andinoacara rivulatus). Turkish Journal of Zoology. 43: 516-530. DOI: 10.3906/zoo-1903-31.
8. Carrasco-García, A. A.; Pardío-Sedas, V. T.; León-Banda, G. G.; Ahuja-Aguirre, C.; Paredes-Ramos, P.; Hernández-Cruz, B. C.; Murillo, V. V. 2020. Effect of stress during slaughter on carcass characteristics and meat quality in tropical beef cattle. Asian-Australasian journal of animal sciences. 33(10): 1656-1665. DOI: https://doi.org/10.5713/ajas.19.0804.
9. Chandrashekar, K.; Deosthale, Y. G. 1993. Proximate composition, amino acid, mineral, and trace element content of the edible muscle of 20 Indian fish species. Journal of Food Composition and Analysis. 6: 195-200. DOI: https://doi.org/10.1006/jfca.1993.1021.
10. Chistie, W. 1993. Preparation of ester derivatives of fatty acids for chromatographic analysis. Adv Lipid Method 2: 69-111.
11. CIE. 1976. Commission Internationale de l’Éclairage.; Technical Report Colorimetry. CIE. 15:1-72.
12. Domenichiello, A. F.; Kitson, A. P.; Bazinet, R. P. 2015. Is docosahexaenoic acid synthesis from α-linolenic acid sufficient to supply the adult brain? Progress in lipid research. 59: 54-66. DOI: 10.1016/j.plipres.2015.04.002.
13. FAO. 1975. Manual de Ciencia pesquera Parte 2 - Métodos para Investigar los Recursos y su Aplicación. Roma. http://www.fao.org/3/f0752s/F0752S00.htm (descargado el 4 de mayo de 2021).
14. FAO. 2008. The state of world fisheries and aquaculture. Fisheries and Aquaculture Department, Food and Agriculture Organization of the United Nations. Rome.
15. FAO. 2014. The state of world fisheries and aquaculture. Opportunities and challenges. Fisheries and Aquaculture Department. Food and Agriculture Organization of the United Nations.
16. Folch, J.; Lees, M.; Sloane-Stanley, G. H.; 1957. A simple method for the isolation and purification of total lipids from animal tissues. Journal of Biological Chemistry. 226: 497-509.
17. Galvis, G.; Mojica, J.; Camargo, M. 1997. Peces del Catatumbo. Ecopetrol-Oxy-Shell-Asociacion cravo Norte. D´Vinni Edit. Ltda, Bogotá D.C., Colombia.
18. González-Artola, S. 2004. Chemical; Physical and Sensorial Compositions of Farmed and Wild Yellow Perch (Perca flavescens), Southern Flounder (Paralichthys lethostigma) and Coho Salmon (Oncorhynchus kisutch). Faculty of the Virginia Polytechnic Institute and State University. EEUU.
19. González, M. A.; Rodriguez, J. M.; Angón, E.; Martínez, A.; Garcia, A.; Peña, F. 2016. Characterization of morphological and meristic traits and their variations between two different populations (wild and cultured) of Cichlasoma festae, a species native to tropical Ecuadorian rivers. Archiv fuer Tierzucht. 59: 435-444. DOI: https://doi.org/10.5194/aab-59-435-2016.
20. González, M.; Angón, E.; Rodriguez, J.; Moya, A.; García, A Peña, F. 2017. Yield, flesh parameters, and proximate and fatty acid composition in muscle tissue of wild and cultured Vieja Colorada (Cichlasoma festae) in tropical Ecuadorian river. Spanish Journal of Agricultural Research. 15: 1-10. DOI: https://doi.org/10.5424/sjar/2017153-10271.
21. Gonzalez-Martinez, A.; Lopez, M.; Molero, H. M.; Rodriguez, J.; Gonzalez, M.; Barba, C.; García, A. 2020. Morphometric and meristic characterization of native chame fish (Dormitator latifrons) in Ecuador using multivariate analysis. Animals. 10: 1805. https://doi.org/10.3390/ ani10101805.
22. Grau, R.; Hamm, R.; 1953. Eine einfache Methode zur Bestimmung der Wasser bindung in Muskel. Naturwissenschaften. 40: 29-30.
23. Harlioğlu, A. G.; Aydin, S.; Yilmaz, Ö. 2012. Fatty acid, cholesterol and fat-soluble vitamin composition of wild and captive freshwater crayfish (Astacus leptodactylus). Food Science and Technology Food Science and Technology International. 18: 93-100. DOI: https://doi. org/10.1177/1082013211414261.
24. Hoseini, M.; Baboli, M. J.; Sary, A. A.; 2013. Chemical composition and fatty acids profile of farmed Big head carp (Hypophthalmichthys nobilis) and Grass carp (Ctenopharyngodon idella) filet. Aquaculture, Aquarium, Conservation and Legislation-International Journal of the Bioflux Society (AACL Bioflux). 6(3): 202-210.
25. Huss, H. H. 1995. Quality and quality changes in fresh fish (N° 348). Food and Agriculture Organization (FAO). Rome.
26. Intarak, I.; Lhasudta, P.; Jathurasitha, S.; Wicke, M.; Kreuzer, M. 2015. Effects of Slaughter Weight on Carcass and Meat Characteristics of Punga Fish (Pangasius bocourti Sauvage). Agriculture and Agricultural Science Procedia. 5: 164-169. DOI: https://doi.org/10.1016/j. aaspro.2015.08.025.
27. Jabeen, F.; Chaudhry, A. S. 2011. Chemical compositions and fatty acid profiles of three freshwater fish species. Food Chemistry. 125: 991-996. DOI: https://doi.org/10.1016/j. foodchem.2010.09.103.
28. Lancaster, J. M.; Buseman, B. J.; Weber, T. M.; Nasados, J. A.; Richard, R. P.; Murdoch, G. K.; Price, W. J.; Colle, M. J.; Bass, P. D. 2020. Impact of beef carcass size on chilling rate, pH decline, display color, and tenderness of top round subprimals. Translational animal science. 4(4): 1-12. DOI: 10.1093/tas/txaa199.
29. Leaf, A.; Weber, P. C. 1988. Cardiovascular effects of n-3 fatty acids. New England Journal of Medicine. 318: 549-557. DOI: 10.1056/NEJM198803033180905.
30. Łuczyńska, J.; Paszczyk, B.; Łuczyński, M. J. 2014. Fatty acid profiles in marine and freshwater fish from fish markets in northeastern Poland. Archives of Polish Fisheries. 22: 181-188. DOI: https://doi.org/10.2478/aopf-2014-0018.
31. Martínez, B.; Miranda, J. M.; Nebot, C.; Rodriguez, J. L.; Cepeda, A.; Franco, C. M. 2010. Differentiation of farmed and wild turbot (Psetta maxima): proximate chemical composition, fatty acid profile, trace minerals and antimicrobial resistance of contaminant bacteria. Food Science and Technology International. 16: 435-441. DOI: 10.1177/1082013210367819.
32. Mashaii, N.; Mosaddegh, M. H.; Sarsangi, H.; Rajabipour, F.; Ghorghi, A.; Bitaraf, A.; Mozaffari-Khosravi, H. 2012. Proximate and fatty acid composition in muscle tissues of rainbow trout, Oncorhynchus mykiss, cultured in Yazd province of Iran. Walailak Journal of Science and Technology. 9: 317-325. DOI: https://doi.org/10.2004/wjst.v9i4.276.
33. Mazón-Paredes, E.; Herrera, M.; Mazón, M.; García, A.; Delgado, M.; Guzmán, J. L. 2018. Digestibilidad aparente de dietas con torta de palmiste sobre el rendimiento productivo de la especie nativa Cichlasoma festae en la etapa de cría. Revista Ecuatoriana de Investigaciones Agropecuaria. 2(2): 28-35. DOI: http://dx.doi.org/10.31164/reiagro.v2n2.4.
34. Mazón-Paredes, E.; Rodríguez, M. H.; Paredes, M. M.; Martínez, A. G.; Paredes, C. M.; Guerrero, J. L. G. 2020. Productive performance of the Guayas cichlid (Mesoheros festae) fed palm meal based diets during the juvenile stage. Hidrobiológica. 30(3): 251-258.
35. Mazón-Paredes, E.; Guzmán-Guerrero, J. L.; Mazón-Paredes, M.; García-Martinez, A.; Mazón-Paredes, C.; Herrera-Rodriguez, M. 2021. Productive performance of the” Green terror”(Andinoacara rivulatus) fish during the fattening stage when fed diets with passion fruit cake (Passiflora edulis). Revista Científica. FVC-LUZ / Vol. XXX(3): 117-125.
36. Perea, A.; Gómez, E.; Mayorga, Y.; Triana, C. Y. 2008. Caracterización nutricional de pescados de producción y consumo regional en Bucaramanga, Colombia. Archivos latinoamericanos de nutrición. 58: 91-97.
37. Pompeia, C.; Lima, T.; Curi, R. 2003. Arachidonic acid cytotoxicity: can arachidonic acid be a physiological mediator of cell death? Cell biochemistry and function. 21: 97-104. DOI: 10.1002/cbf.1012.
38. Robb, D. H. F.; Kestin, S. C.; Warriss, P. D. 2000. Muscle activity at slaughter: I. Changes in flesh colour and gaping in rainbow trout. Aquaculture. 182: 261-269. DOI: https://doi.org/10.1016/ S0044-8486(99)00273-2.
39. Rodríguez, J. M.; Angón, E.; González, M. A.; Perea, J.; Barba, C.; García A. 2017. Allometric relationship and growth models of juveniles of Cichlasoma festae (Perciforme: Cichlidae), a freshwater species native in Ecuador. Revista de Biología Tropical. 65: 1185-1193. DOI: http://dx.doi.org/10.15517/rbt.v65i3.26173.
40. Roth, B.; Birkeland, S.; Oyarzun F. 2009. Stunning, pre slaughter and filleting conditions of Atlantic salmon and subsequent effect on flesh quality on fresh and smoked fillets. Aquaculture. 289: 350-356. DOI: https://doi.org/10.1016/j.aquaculture.2009.01.013.
41. Rutten, M.; Bovenhuisb, H.; Komenan, H. 2004. Modeling fillet traits based on body measurements in three Nile tilapia strains (Oreochromis niloticus L.). Aquaculture. 231: 113-122. DOI: https://doi.org/10.1016/j.aquaculture.2003.11.002.
42. Šimat, V.; Bogdanović, T.; Poljak, V.; Petričević, S. 2015. Changes in fatty acid composition, atherogenic and thrombogenic health lipid indices and lipid stability of bogue (Boops boops Linnaeus, 1758) during storage on ice: Effect of fish farming activities. Journal of Food Composition and Analysis. 40: 120-125. DOI: https://doi.org/10.1016/j.jfca.2014.12.026.
43. Simopoulos, A. P. 2008. The importance of the omega-6/omega-3 fatty acid ratio in cardiovascular disease and other chronic diseases. Experimental Biology and Medicine. 233: 674-688. DOI: 10.3181/0711-MR-311.
44. Solomon, S. G.; Okomoda, V. T.; Ogbenyikwu, A. I. 2015. Intraspecific morphological variation between cultured and wild Clarias gariepinus (Burchell) (Clariidae; Siluriformes). Archives of Polish Fisheries. 23: 53-61. DOI: https://doi.org/10.1515/aopf-2015-0006.
45. Solórzano Armijos, A. A. 2016. Cultivo intensivo de A. rivulatus (vieja azul) con diferenciación en la cantidad de alimento en un sistema cerrado de recirculación de agua. Tesis de Grado. Guayaquil, Ecuador.
46. Tveterås, S.; Asche, F.; Bellemare, M. F.; Smith, M. D.; Guttormsen, A. G.; Lem, A.; Lien, K.; Vannuccini, S. 2012. Fish is food-the FAO’s fish price index. PLoS One. 7(5). e36731.
47. Ulbricht, T. L. V.; Southgate, D. A. T. 1991. Coronary heart disease: seven dietary factors. The Lancet. 338: 985-992.
48. Vreven, E. J.; Adèpo-Gourène, B.; Agnèse, J. F.; Teugels, G. G. 1998. Morphometric and allozyme in populations and cultured strains of the Nile tilapia Oreochromis niloticus (Teleostei; Cichlidae). Belgian Journal of Zoology. 128: 23-34.