Revista de la Facultad de Ciencias Agrarias. Universidad Nacional de Cuyo. Tomo 53(2). ISSN (en línea) 1853-8665. Año 2021.
Original article
Evaluation of tolerance to Fusarium oxysporum and Fusarium solani in Virginia-type tobacco
(Nicotiana tabacum L.) varieties under controlled conditions in Northwestern Argentina
Evaluación de la tolerancia a Fusarium oxysporum and Fusarium solani en variedades de tabaco (Nicotiana tabacum L.) tipo Virginia bajo condiciones controladas en el noroeste de Argentina
Sebastian A. Stenglein 4
Guadalupe Mercado Cárdenas 2, 3*
1 Consejo Nacional De Investigaciones Científicas y Técnicas (CONICET). CCT-Salta. Av. Bolivia 5150 (4400). Salta. Argentina.
2 Instituto Nacional de Tecnología Agropecuaria (INTA) EEA Salta. Ruta Nac. 68 Km 172 (4403). Cerrillos. Salta. Argentina.
3 Universidad Nacional de Salta. Facultad de Ciencias Naturales. Av. Bolivia 5150 (4400), Salta, Argentina.
4 Universidad Nacional del Centro de la Provincia de Buenos Aires (UNCPBA). Facultad de Agronomía de Azul, Área de Microbiología. Laboratorio de Biología Funcional y Biotecnología (BIOLAB)-CICBA-INBIOTEC-CONICET. Republica de Italia 780. C. C. 47 (7300). Azul Provincia de Buenos Aires.
* mercado.guadalupe@inta.gob.ar
Abstract
The production of tobacco (Nicotiana tabacum L.) in Argentina is centered in the northwestern region (NWA), where the incidence of root rots and stem diseases caused by Fusarium spp. has increased considerably in recent years. This study aimed to evaluate the pathogenicity levels of isolates of the F. oxysporum and F. solani complexes in different varieties of Virginia Type tobacco. The commercial varieties MB47, PVH229, NC71, K346, K326, and K394 were inoculated with six isolates of both complexes. The variables evaluated were the incidence and severity of the symptoms. The area under the disease progress curves (AUDPC) was calculated and subjected to analysis of variance (ANOVA). Also, disease epidemiological models were fitted to the experimental data. The MB47 variety was significantly less infected and the varieties K346, K326, and K394 had the highest AUDPC means, showing susceptibility to the isolates. The disease intensity curves were adequately described by the monomolecular and logistic models. The results provide, for the first time, information about the levels of tolerance to vascular wilt and root rot under controlled conditions for the main varieties of Virginia-type tobacco grown in NWA.
Keywords: Tolerance; Nicotiana tabacum L.; FOSC; FSSC; Soil-borne diseases; Pathogenicity.
Resumen
La producción de Tabaco (Nicotiana tabacum L.) en Argentina se concentra en la Región Noroeste (NOA), donde la incidencia de las enfermedades radiculares y de tallo causadas por Fusarium spp. han aumentado en los últimos años. Este estudio, tuvo como objetivo evaluar los niveles de patogenicidad de aislamientos de los complejos F. oxysporum y F. solani en diferentes variedades de tabaco tipo Virginia. Las variedades evaluadas fueron: MB47, PVH229, NC71, K346, K326 y K394 que se inocularon con seis aislamientos de ambos complejos. Las variables evaluadas fueron incidencia (I) y severidad (S). Se calculó el área bajo las curvas de progreso de la enfermedad (ABCPE) y se sometió a análisis de varianza (ANOVA). Además, se ajustaron los datos experimentales a modelos epidemiológicos del proceso de enfermedad. La variedad MB47 resultó significativamente menos infectada y las variedades K346, K326, K394 presentaron los valores de ABCPE más altos, mostrando un comportamiento susceptible. Las curvas de intensidad de la enfermedad se describieron adecuadamente mediante los modelos monomolecular y logístico. Los resultados generados en el presente estudio proporcionan por primera vez información sobre los niveles de tolerancia al marchitamiento vascular y podredumbre radicular en condiciones controladas para las principales variedades de tabaco cultivadas en NOA.
Palabras clave: Tolerancia; Nicotiana tabacum L.; FOSC; FSSC; Enfermedades de hongos de suelo; Patogenicidad.
Originales: Recepción: 04/03/2021
Aceptación: 12/10/2021
Introduction
Tobacco (Nicotiana tabacum L.) is an economically important crop cultivated in more than 125 countries worldwide. Argentina, which is among the top ten producers, cultivates 43,815 hectares of tobacco every year, mainly in the northwestern region of the country. Virginia-type tobacco varieties represent 74% of the national production, while the other 26% corresponds to the Burley and Tobacco Creole types (28).
Fusarium wilt, caused by members of the Fusarium oxysporum species complex (FOSC), is a widespread disease that causes severe damage in tobacco-producing areas of Argentina and many countries around the world (24, 33). The tobacco wilt-causing Fusarium species have been designated as F. oxysporum f. sp. nicotianae, F. oxysporum f. sp. batatas, and F. oxysporum f. sp. vasinfectum based on their ability to cause disease on multiple hosts such as sweet potato, cotton, and tobacco (1, 2, 19, 32). Disease symptoms caused by members of FOSC may appear in the field, manifesting slow yellowing and drying of the leaves, sometimes along one side of the tobacco plant (24, 33). This pathogen causes crop losses of up to 15-20% of tobacco production (18, 30). On the other hand, Fusarium root rot is caused by members of the Fusarium solani species complex (FSSC). Disease symptoms include chlorosis and wilt, progressing from the lowest to the highest leaves. Members of FOSC and FSSC have been associated with tobacco wilt and root rot in Northwestern Argentina (NWA) (4) and other tobacco-growing regions worldwide (8, 36).
Soil-borne diseases are difficult to control, making it essential to adopt integrated management strategies. The most effective control of Fusarium wilt and root rot has been the development and use of resistant or tolerant tobacco varieties (19). In Argentina, commercial varieties with genetic resistance are not available; instead, tolerant varieties that contribute to reducing infection and minimizing yield losses are used. It has recently been reported that pathogenic isolates of FOSC and FSSC from NWA differed in their virulence levels when tested under controlled conditions in tobacco plants (4). However, the existence of specific interactions between isolates and tobacco cultivars remains unknown.
No information is available on the level of Fusarium inoculum concentrations in local soils cropped with tobacco or on the response of the varieties to these diseases. Chlamydospores are the main form of inoculum in the field, although the fungus can also produce microconidia and macroconidia (22). Once present in a field, the fungus persists for years in the absence of a susceptible host. Understanding the relationship between disease incidence and pathogen variability may allow the development of effective management strategies and a better prediction of the disease progression over time, in a context of sustainable cropping. The objectives of this study were (1) to evaluate the pathogenicity levels of isolates of FOSC and FSSC recovered from the main tobacco-growing area of Argentina; and (2) to evaluate six Virginia-Type varieties of tobacco for their resistance to FOSC and FSSC under controlled conditions.
Materials and methods
Fungal isolates and inoculum production
Six isolates of FOSC and FSSC, previously characterized (4), were used to evaluate wilt and root rot resistance on tobacco plants (Table 1).
Table 1: Origin and features of the six isolates of FOSC and FSSC, recovered from the main Virginia-type tobacco-growing area in Argentina, used in this study.
Tabla 1: Origen y características de los seis aislamientos de FOSC y FSSC, recuperados de las principales zonas de cultivo de tabaco tipo Virginia en Argentina, utilizados en este estudio.

a Species determined based on EF1-α sequence analysis, GenBank#: GenBank accession number b HP: Highly pathogenic, MP: moderately pathogenic. Isolates were characterized in a previous study (Berruezo et al. 2018).
a Especies determinadas con base en el análisis de las secuencias de EF1-α. GenBank#: GenBank número de acceso. b HP: altamente patogénicos, MP: moderadamente patogénicos. Los aislamientos fueron caracterizados en estudios previos (Berruezo et al. 2018).
Monoconidial cultures of the six tobacco pathogenic Fusarium spp. isolates were selected from the fungal collection of “Laboratorio de Sanidad Vegetal” INTA-EEA-Salta Microbial Collection, Argentina. The isolates were initially recovered from tobacco plants showing wilt and root rot symptoms in the main Virginia-type tobacco-growing area of Argentina.
For inoculum preparation, fungal colonies were grown on potato dextrose agar (PDA) at 25°C in the dark for five days (17). Microconidia suspensions were obtained by adding 10 mL of sterile distilled water to the cultures and rubbing the culture surfaces with a sterile glass rod. The suspensions were filtered through sterilized cotton, and microconidia were quantified microscopically using a hemocytometer (11).
Tobacco plant inoculation
Six commercial tobacco varieties (MB47, PVH2291, NC71, K346, K326, and K394) were evaluated. These genotypes represent the varieties most commonly used in NWA. Tobacco seeds were seeded under a hotbed with a sterile substrate (autoclaved for 30 minutes at 120°C, on two consecutive days); the seedlings were grown at 25 ± 2°C with a 12 h photoperiod (32). When the plants had grown four true leaves, they were transplanted.
The experiment was conducted following a factorial treatment. The experimental design consisted of two factors: tobacco variety (six levels) and Fusarium isolate (six levels), in a completely randomized design. Data from the two independent pathogenicity tests were combined and analyzed as one.
Each plastic pot (final volume of 400 g) containing sterile sand and mulch (autoclaved for 30 minutes at 120°C, on two consecutive days) was used as the substrate mixed in a proportion of 1/1 (vol/vol). The inoculum concentration (1 x 106 microconidia/g of the substrate) of each Fusarium oxysporum (Fo) and Fusarium solani (Fs) isolate was used. Six pots of each variety were inoculated with the deposition of 1 mL of each conidial suspension (31). Plants were maintained for 30 days in a growth chamber at 25 ± 2°C with a 12 h photoperiod. The pots were drenched periodically with sterile distilled water in order to keep the humidity of the substrate. Six pots with a non-inoculated sterile substrate of each variety were used as control.
Disease assessment
Disease progressions were analyzed by the incidence (I) and severity (S) of typical wilt and root rot symptoms. Each plant was assessed for symptom severity on a scale of 0-4 at 5-day intervals. To evaluate wilt (FOSC), the scale proposed by LaMondia and Taylor (1987) was used (0 = 0%, 1 = 1-33%, 2 = 34-66%, 3 = 67-100%, 4 = dead plants). Roots were rated for Fusarium root rot (FSSC) symptoms following a five-class rating scale (0 = no lesions, 1 = small root lesions, 2 = central root lesions, 3 = large root lesions, 4 = dead plant). The disease severity index (DSI) was calculated for each isolate using the following formula: (n1)+(n2x2)+(n3x3)+(n4x4)/no+n1+n2+n3+n4, where n0 is the number of plants in category 0 of the scale, n1 is the number of plants in category 1, n2 is the number of plants in category 2, n3 is the number of plants in category 3, and n4 is the number of plants in category 4 (15, 35). The number of healthy plants was recorded at a 5-day interval for 30 days post-inoculation (5, 10, 15, 20, 25, and 30 dpi).
Finally, the plants were cut across the stem to verify the vascular discoloration, superficially disinfected, placed onto PDA plates, and incubated for ten days. The pathogen was reisolated from all symptomatic tissue fulfilling Koch’s postulates.
Data analyses
The incidence was related to the time to describe a disease progress curve. The area under the disease progress curve (AUDPC) was calculated through the polygon method (7), subjected to analysis of variance (ANOVA), and compared using the Fisher LSD test (α = 0.05).
Additionally, the incidence data was linearized, and linear regression analysis was performed to obtain the parameters of three epidemiological models: monomolecular, logistic, and Gompertz (25). The residuals and the graphic adjustment of the experimental data and of the coefficient of determination (R2), as well as the mean squared residue, were considered for the model selection. The apparent infection rate parameter (slope) of the equation for each repetition was determined from linearized data. The slopes were then analyzed by ANOVA and used to construct a simulated disease progress curve for each isolate evaluated (initial incidence considered y0 = 0.0001; y0 * = ln [(y0 / (1-y0)]. All data analyses and model adjustments were performed using the InfoStat software (13).
Results
Tobacco variety-Fusarium isolate interaction
All six Fusarium isolates tested were pathogenic and produced different symptoms on tobacco plants depending on the species used. FOSC isolates produced mainly wilting, chlorosis, and growth reduction in tobacco plants (Supplementary Figure 1); in contrast, FSSC isolates caused root rot, with characteristic necrotic lesions and root rot symptoms (Supplementary Figure 2).
There were highly significant statistical differences in disease severity for tobacco varieties (genotypes) (p < 0.0001) and for variety x isolate interaction (p < 0.01) (Table 2).
Table 2: Mean squares from the analysis of variance for AUDPC values for the six varieties of tobacco evaluated at 30 days post-inoculation with six isolates of Fo and Fs and the interactions between them.
Tabla 2: Análisis de varianza para los valores de ABCPE para las seis variedades de tabaco evaluadas a los 30 días después de la inoculación con los seis aislamientos de Fo y Fs y las interacciones entre ellos.

These results clearly suggest that the disease progression may vary according to the Fusarium isolate and tobacco varieties.
Aggressiveness of Fusarium isolates
All the isolates caused high disease incidence in tobacco plants after 30 dpi. Significant differences (p < 0.05) were observed in the mean DSI scores between isolates (Table 3).
Table 3: Mean Disease Severity Index (DSI) and the AUDPC registered at 30 days post-inoculation for the tobacco varieties and Fo and Fs isolates evaluated.
Tabla 3: Media del Índice de Severidad de Enfermedad (DSI) y ABCPE registrados a los 30 días después de la inoculación para las variedades de tabaco y los aislamientos Fo y Fs evaluados.

a Different letters indicate statistically significant differences (p ≤ 0.05). Comparison by the Fisher LSD test (α = 0.05). VC: Variation coefficient.
a Diferentes letras indican diferencias estadísticamente significativas (p ≤ 0,05). Comparación por prueba de Fisher LSD (α = 0,05). CV: coeficiente de variación.
The highest DSI scores were registered for Fo27 and Fo15, while the lowest DSI score was found for Fs98. As expected, the results obtained from the DSI scores were related to the mean AUDPC values of the isolates. These results suggest a differential behavior of Fusarium isolates for disease development on tobacco plants. Tobacco varieties differed significantly (p < 0.05) based on the mean DSI scores. K394 and NC71 showed the highest and lowest DSI scores, respectively.
Varietal performance of Fusarium infection
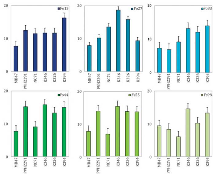
All tobacco varieties showed significantly different levels of tolerance against the infection caused by the six Fusarium isolates evaluated. MB47 and NC71 were significantly less infected than the other varieties, which registered low AUDPC values (Figure 1).
Figure 1: Interaction between the Fusarium oxysporum and Fusarium solani isolates and the six tobacco varieties evaluated (Fisher’s LSD test, α = 0.05). Vertical bars represent the standard deviation.
Figura 1: Interacción entre los aislamientos Fusarium oxysporum and Fusarium solani y las seis variedades de Tabaco evaluadas (prueba de Fisher’s LSD, α = 0,05). Barras verticales representan la desviación estándar.
Besides, MB47 resulted in a greater degree of tolerance to FOSC isolates, followed by PVH2291 and NC71. For FSSC isolates, the varieties NC71 and MB47 exhibited better behavior under controlled conditions. In contrast, K346, K326, and K394 had high AUDPC scores, resulting in susceptible behavior for all the isolates of Fusarium analyzed (Table 4).
Table 4: Fo and Fs isolates evaluated and mean of the AUDPC registered at 30 days post-inoculation.
Tabla 4: Aislamientos de Fo y Fs evaluados y media del ABCPE registrado a los 30 días después de la inoculación.

1 Mean values of the AUDCP. Comparison by the Fisher LSD test (α = 0.05). 2LSD: Least significant difference to compare Fusarium wilt and root rot.
1 Media del ABCPE. Comparación por prueba de Fisher LSD (α = 0,05). 2LSD: Diferencia menos significativa para comparar el marchitamiento por Fusarium y podredumbre radicular.
Model adjustment
The disease intensity curves were adequately described by the monomolecular and logistic models (Table 5).
Table 5: Statistical parameters applied for model selection and description of the F. oxysporum and F. solani complexes.
Tabla 5: Parámetros estadísticos aplicados para la selección del modelo y descripción de los complejos F. oxysporum y F. solani.

a Adjusted models; b apparent infection rate; c adjusted coefficient of determination; d mean square error; e p probability associated with the model.
a Ajuste del modelo; b tasa de infección aparente; c coeficiente de determinación ajustado; d cuadrado medio del error; e probabilidad asociada al modelo.
These models were the ones that were best adjusted based on the residue graphs and adjusted determination coefficients (R2). The equation that represents the incidence (y) as a function of time (t) was calculated as follows: y = 1- (1-y0) exp (-rt); then the equation that defines the logistic model was y = 1 / [1 + {-lny0 / (1- y0) + rt]. To control the fulfillment of the assumptions of the analysis, we requested the student residual vs. predicted graphs, and Q-Q plot to confirm the normality of the model data.
Figure 2 presents the adjusted curves for FOSC and FSSC.
Figure 2: Progression of Fusarium wilt and root rot in six varieties of Virginia-type tobacco. a) Fusarium oxysporum and b) Fusarium solani.
Figura 2: Progreso del marchitamiento vascular por Fusarium y podredumbre radicular en las seis variedades de Tabaco tipo Virginia, a) Fusarium oxysporum y b) Fusarium solani.
Different curves in the same plot represent each of the three Fusarium isolates belonging to each complex. Using these models, it was confirmed that the final amount of disease increases in a monomolecular model in most of the isolates. The slopes of the adjusted equations for each isolate concentration were evaluated by ANOVA (VC= 4.44), and the results are shown in Table 6.
Table 6: Analysis of the variance of the mean slope coefficients for the linearized model.
Tabla 6: Análisis de la varianza de los coeficientes de pendiente media para el modelo linealizado.

*Different letters indicate statistically significant differences (p ≤ 0.05). Comparison by the Fisher LSD test (α = 0.05).
*Letras diferentes indican diferencias estadísticamente significativas (p ≤ 0,05). Comparación por prueba de Fisher LSD (α = 0,05).
Discussion
This work represents the first analysis of the behavior of commercial varieties of tobacco against pathogenic isolates of the Fusarium oxysporum species complex (FOSC) and Fusarium solani species complex (FSSC) in Argentina. The varieties exhibited differential behavior against the isolates. FOSC isolates were associated with typical wilting symptoms, like slow yellowing and occasional drying of the leaves along one side of the plant. The presence of Fusarium solani has been recently detected for the first time in the region as a pathogen causing stunting, wilting, necrosis, and death in the tobacco plant (4).
The most effective and sustainable control against wilt and root rot diseases caused by soil-borne pathogens resides in the use of resistant genotypes. However, the existence of a narrow genetic basis among commonly used tobacco varieties has been established (37, 38). The situation of flue-cured tobacco may be an extreme example of the impact of stringent quality requirements and conservative breeding strategies on the narrow genetic base of germplasm pools. Many of the cultivars recently developed involved crosses with K326, a widely cultivated variety with high quality and performance but susceptible to pathogenic soil fungi (29). In this study, K394 under controlled conditions resulted in the variety with the highest DSI and AUDPC, in spite of it being registered as moderately tolerant to pathogenic soil fungi (10).
Modern breeding strategies are also impacting genetic diversity through the wide-scale release of F1 hybrid tobacco cultivars with cytoplasmic male sterility (23). In the present study, the varieties with the best performance were the hybrids MB47, PVH2291, and NC71. The relatively new hybrid variety MB47, registered as tolerant to Fusarium oxysporum, showed low DSI and AUDPC for FOSC and FSSC. In addition, the hybrid variety PVH2291 performed well for the FOSC, while NC71 did so for the FSSC. In a previous study, the molecular analysis of 17 Virginia-type tobacco varieties from northwestern Argentina, based on microsatellite markers, revealed that these three varieties showed greater genetic divergence than the rest (12). Therefore, we highlight the importance of knowing the degree of tolerance of the varieties to be cultivated. This knowledge, along with the determination of the inoculum amount present in the soil, will allow an effective selection of the variety to be incorporated into the production process.
Varied levels of susceptibility of tobacco varieties to Fusarium oxysporum, with different degrees of severity between the Virginia and Burley types, have been reported (34). However, there are no reports for members of FSSC associated with tobacco in the NWA region. There are reports for FSSC for other crops such as beans, passion fruit, and soybean (6, 9, 26). In soybean cultivation, this behavior was also observed with Fusarium graminearum in tests under controlled conditions (5). A recent study reported transgenic lines of tobacco with significantly increased resistance to Fusarium solani, with no wilting or root rot symptoms after 30 dpi (3). However, genetic resistance to black shank (Phytophthora parasitica) and bacterial wilt (Ralstonia solanacearum) was only incorporated into some varieties of tobacco (23). Furthermore, the tobacco varieties used in the NWA region show differential susceptibility to root rot (Rhizoctonia solani) (27). The main Virginia-type tobacco varieties cultivated in the NWA exhibited varying degrees of tolerance to FOSC and FSSC, manifesting the characteristic symptoms of each disease. In the varieties studied, no resistance mechanism is at work, but varying degrees of tolerance have been shown, which do not interfere with the growth of the host, tolerate the infection and have adequate performance (13). In the field, variable tolerance levels are commonly observed with very high inoculum potentials and favorable environmental conditions (20).
In the present study, AUDPC was found to be a useful parameter in comparing the incidence of the disease over time to describe the behavior of commercial varieties versus isolates from both complexes. Similar results were observed in chickpea, where the AUDPC made it possible to identify the behavior of varieties and races of F. oxysporum f sp. ciceris under controlled conditions (30). The disease incidence data of the isolates evaluated were adjusted to monomolecular and logistic growth models. Madden et al. (2007) relate the monomolecular model to monocyclic epidemics, where the inoculum comes from previous epidemics, while they associated the logistic model with polycyclic epidemics, where there is inoculum movement from diseased to healthy plants. In the present study, the adjustment of only three isolates to the logistic models can be attributed to inoculum density in soil, and root growth with or without lesion expansion on roots might affect the dynamics of root disease epidemics (16, 18).
This is the first study providing useful information on the relationship established between pathogen aggression and degree of tolerance in tobacco varieties in Argentina. The results revealed that the infection caused by Fusarium isolates depends on the identification of the inoculum present in the soil and the degree of tolerance of the varieties used. Given the great variability observed in the Fusarium complexes studied, it would be interesting to increase the number of isolates and the tobacco genotypes evaluated and to add other possible interactions in the pathosystem, such as the interaction with nematodes, to identify resistant genotypes.
Conclusions
The varieties that exhibited the best performance under controlled conditions were determined, and the genetic materials used were characterized. The existence of a narrow genetic base in the commonly used tobacco varieties requires the search for new sources of resistance to the main diseases that affect the crop in the region. The results found suggest that the varieties NC71, MB47, and PVH2291 should be incorporated into breeding programs to obtain genotypes with higher levels of tolerance to vascular wilting and root rot. However, field studies are necessary to determine the health behavior and yield of the varieties evaluated under growing conditions. In addition, it would be of great interest to carry out additional studies to determine the density of inoculum present in tobacco soils for both complexes to establish disease control strategies.
Acknowledgements
The authors like to thank Instituto Nacional de Tecnología Agropecuaria (INTA) and Consejo Nacional de Investigaciones Científicas y Técnicas (CONICET) from Argentina for providing a doctorate fellowship for the first author and support by means of research grants (INTA PNIND 1108072).
1. Alves-Santos, F. M.; Martinez-Bermejo, D.; Rodrıguez-Molina, M. C.; Dieza, J. J. 2007. Cultural characteristics, pathogenicity and genetic diversity of Fusarium oxysporum isolates from tobacco fields in Spain. Physiological and Molecular Plant Pathology. 71: 26-32.
2. Armstrong, G. M.; Armstrong, J. K. 1968. Formae specials and races of Fusarium oxysporum causing a tracheomycosis in the syndrome diseases. Phytopathology. 58(9): 1242-1246.
3. Badrhadad, A.; Nazarian-Firouzabadi, F.; Ismaili, A. 2018. Fusion of a chitin-binding domain to an antibacterial peptide to enhance resistance to Fusarium solani in tobacco (Nicotiana tabacum). Biotech. 8: 391.
4. Berruezo L. A.; Cárdenas, G. E.; Harries, E. M.; Stenglein, S. A.; Curti, R. N.; Rodriguero, M. S.; Galván, M. Z. 2018. Characterization of Fusarium species associated with tobacco diseases in Northwestern Argentina. European Journal Plant Pathology. 151: 1065-1079.
5. Bonacci, M.; Barros, G. 2019. Genetic diversity and pathogenicity on root seedlings from three soybean cultivars of Fusarium graminearum isolated from maize crop residues. Revista de la Facultad de Ciencias Agrarias. Universidad Nacional de Cuyo. Mendoza. Argentina. 51(1): 147-160.
6. Bueno, C. J.; Fischer, I. H.; Rosa, D. D.; Firmino, A. C.; Harakava, R.; Oliveira, C. M.; Furtado, E. L. 2014. Fusarium solani f. sp. passiflorae: a new forma specialis causing collar rot in yellow passion fruit. Plant Pathology. 63(2): 382-389.
7. Campbell, C. L.; Madden, L. V. 1990. Introduction to plant disease epidemiology. Wiley, N. J.
8. Chehri, K.; Salleh, B.; Zakaria, L. 2015. Morphological and phylogenetic analysis of Fusarium solani species complex in Malaysia. Microbial Ecology. 69: 457-471.
9. Chitrampalam, P.; Nelson Jr, B. 2016. Multilocus phylogeny reveals an association of agriculturally important Fusarium solani species complex (FSSC) 11, and clinically important FSSC 5 and FSSC 3+ 4 with soybean roots in the north central United States. Antonie van Leeuwenhoek. 109(2): 335-347.
10. COPROTAB. 2010. Buenas Prácticas Agrícolas (BPA). Variedades de tabaco Virginia flue cured e híbridos de tabaco Virginia Flue Cured. www.coprotab.com/archivos/cartillas_SBPA/cartilla_02.pdf (fecha de consulta: febrero 2021).
11. Costa, S. S.; Matos, K. S.; Tessmann, D. J.; Seixas, C.; Pfenning, L. 2015. Fusarium paranaense sp. nov., a member of the Fusarium solani species complex causes root rot on soybean in Brazil. Fungal Biology. 120(1): 51-60.
12. Cuellar, D.; Aparicio, M.; Mercado Cárdenas, G. E.; Galván, M. Z. 2013. Variabilidad genética en germoplasma de tabaco tipo Virginia empleando marcadores moleculares. Ciencia y tecnología de los cultivos Industriales. Año 3. N°4.
13. Deadman, M. L. 2006. Epidemiological consequences of plant disease resistance. In the Plant disease epidemiology. In: Cooke B.N.; Gareth, D.; Kaye, B. (eds). Springer The Netherlands. 139-157.
14. Di Rienzo, J. A.; Casanoves, F.; Balzarini, M. G.; Gonzalez, L.; Tablada, M.; Robledo, C. W. 2017. InfoStat Grupo InfoStat, FCA, Universidad Nacional de Córdoba. Argentina. http://www.infostat.com.ar.
15. Fujinaga, M.; Ogiso, H.; Shinohara, H.; Tsushima, S.; Nishimura, N.; Togawa, M.; Saito, H.; Nozue, M. 2005. Phylogenetic relationships between the lettuce root rot pathogen Fusarium oxysporum f. sp. lactucae races 1, 2, and 3 based on the sequence of the intergenic spacer region of its ribosomal DNA. Journal of General Plant Pathology. 71(6): 402-407.
16. Gongora-Canul, C.; Nutter, F. W.; Leandro, L. 2012. Temporal dynamics of root and foliar symptoms of soybean sudden death syndrome. European Journal Plant Pathology. 132(l): 71-79.
17. Holguín-Peña, R. J.; Medina-Hernández, D.; Vázquez-Islas, G.; Nieto-Navarro, F.; Rueda Puente, E. O. 2021. Anti-infective properties of medicinal plants from the Baja California peninsula, Mexico for the treatment of Fusarium oxysporum f. sp. basilici in organic sweet basil (Ocimum basilicum). Revista de la Facultad de Ciencias Agrarias. Universidad Nacional de Cuyo. Mendoza. Argentina. 53(1): 234-244.
18. Jeger, M. J. 1987. The influence of root growth and inoculum density on the dynamics of root disease epidemics: Theoretical analysis. New Phytologist. 107: 459-478.
19. LaMondia, J. A. 1990. Pathogenicity and vegetative compatibility of Fusarium oxysporum isolated from tobacco. Tobacco International. 192(22): 58-61.
20. LaMondia, J. A. 2015. Fusarium wilt of tobacco Crop Protection. 73: 73-77.
21. LaMondia, J. A.; Taylor, G. S. 1987. Influence of the tobacco cyst nematode (Globodera tabacum) on Fusarium wilt of Connecticut broadleaf tobacco. Plant Disease. 71(12): 1129-1132.
22. Leslie, J.; Summerell, S. 2006. The Fusarium laboratory manual. Blackwell Publishing (Ed). Iowa. USA. 388.
23. Lewis, R. S.; Nicholson, J. S. 2007. Aspects of the evolution of Nicotiana tabacum L. and the status of the United States Nicotiana germplasm collection. Genetic Resources and Crop Evolution. 54: 727-740.
24. Lucas, G. 1975. Diseases of Tobacco. Biological Consulting Associates Box 5726 Raleigh. 174-190.
25. Madden, L. V.; Hughes, G.; Bosch, F. 2007. The study of plant disease epidemics. St Paul MN. APS.
26. Martínez-Garnica, M.; Nieto-Munoz, F.; Hernandez-Delgado, S.; Mayek-Perez, N. 2014. Pathogenic and genetic characterization of Mexican isolates of Fusarium solani f. sp. phaseoli (Burk.) Snyd. & Hans. Revista de la Facultad de Agronomía de la Universidad del Zulia. 31: 539-557.
27. Mercado Cárdenas, G. E. 2016. Aspectos biológicos y epidemiológicos de enfermedades del tabaco causadas por Rhizoctonia solani, en el noroeste argentino. Tesis presentada para optar al título de Doctor de la Universidad Nacional de Buenos Aires. Área Ciencias Agropecuarias. 208 p.
28. Miniagri. 2016. Informe de productos regionales. Ministerio de Agroindustria. Presidencia de la Nación. http://www.agroindustria.gob.ar/sitio/areas/tabaco/produccion_mercados/interno. (fecha de consulta: febrero 2021).
29. Moon, H. S.; Nicholson, J. S.; Heineman, A.; Lion, K.; van der Hoeven, R.; Hayes, A. J.; Lewis, R. S. 2009. Changes in genetics diversity of U.S. Flue-Cured Tobacco Germplasm over Seven Decades of Cultivar Development. Crop Science. 49: 498-506.
30. Navas-Cortes, J. A.; Alcala-Jimenez, A. R.; Hau, B.; Jiménez-Díaz, R. M. 2000. Influence of inoculum density of races 0 and 5 of Fusarium oxysporum f. sp. ciceris on development of Fusarium wilt in chickpea cultivars. European Journal Plant Pathology. 106: 135-146.
31. Olalde-Lira, G. G.; Raya Montaño, Y. A.; Apáez Barrios, P.; Vargas-Sandoval, M.; Pedraza Santos, M. E.; Raymundo, T.; Valenzuela, R.; Lara-Chávez, M. B. N. 2020. Characterization of Fusarium spp., a Phytopathogen of avocado (Persea americana Miller var. drymifolia (Schltdl. and Cham.)) in Michoacán, México. Revista de la Facultad de Ciencias Agrarias . Universidad Nacional de Cuyo. Mendoza. Argentina. 52(2): 301-316.
32. Rodríguez-Molina, M. C.; Morales-Rodríguez, M. C.; Palo, C.; Osuna, M. D.; Iglesias, M. J.; García, J. A. 2013. Pathogenicity, vegetative compatibility and RAPD analysis of Fusarium oxysporum isolates from tobacco fields in Extremadura. European journal of Plant Pathology. 136(3): 639-650.
33. Shew, H. D.; Lucas, G. B. 1991. Compendium of tobacco diseases. St Paul, M. N. APS. 68 p.
34. Tjamos, S. E.; Markakis, E. A.; Antoniou, P.; Paplomatas, E. 2006. First record of Fusarium wilt of tobacco in Greece imported as seedborne inoculum. Journal of Phytopathology. 154(4): 193-196.
35. Yang, Z.; Lin, Y.; Chen, H.; Zou, W.; Wang, S.; Guo, Q.; Chen, X. 2018. A rapid seedling assay for determining sweetpotato Resistance to Fusarium Wilt. Crop Science. 58: 1558-1565.
36. Yang, M.; Cao, J.; Zheng, Y.; Wang, J.; Zhou, H.; He, M.; Yu, L. 2020. First report of Fusarium root rot of tobacco caused by Fusarium solani in Lincang, China. Plant Disease. 104(5): 1541.
37. Zhang, N.; O’Donnell, K.; Sutton, D.; Nalim, F. A.; Summerbell, R. C.; Padhye, A.; Geiser, D. M. 2006. Members of the Fusarium solani species complex that cause infections in both humans and plants are common in the environment. Journal of Clinical Microbiology. 44: 2186-2190.
38. Zhang, H.; Liu, X.; He, C.; Yang, Y. 2008. Genetic diversity among Flue-cured tobacco cultivars based on RAPD and AFLP markers. Brazilian Archives of Biology and Technology. 51(6): 1097-1101.
https://drive.google.com/file/d/13k1VdyONBwVn44hyE3pxW38sb_MIJQjC/view?usp=sharing