Revista de la Facultad de Ciencias Agrarias. Universidad Nacional de Cuyo. Tomo 54(1). ISSN (en línea) 1853-8665. Año 2022.

Scientific note

 

Pre-germination treatments on Ochetophila trinervis, a native Andean tree with potential use for restoration

Germinación de semillas de Ochetophila trinervis, árbol nativo de los Andes Centrales con uso potencial de restauración

 

Leandro Manuel Alvarez 1*

Cecilia Vega Riveros 1

Pablo Eugenio Villagra 1, 2

 

1 Instituto Argentino de Nivología, Glaciología y Ciencias Ambientales (IANIGLA), Centro Científico Tecnológico CONICET - Mendoza. Av. Ruiz Leal s/n. Parque General San Martín. C. P. 5500. C. C. 530. Mendoza. Argentina.

2 Universidad Nacional de Cuyo. Facultad de Ciencias Agrarias. Almirante Brown 500. Luján de Cuyo. C. P. 5505. Luján de Cuyo. Mendoza. Argentina. M5528AHB.

 

* lalvarez@mendoza-conicet.gob.ar

 

Abstract

In a climate change scenario, global forest loss had a direct impact on the hydrological cycle, making the protection of soil and water resources a central issue. In the Central Andes of western Argentina, information on Chacay (Ochetophila trinervis) mountain forests is scarce. This tree thrives along river and stream banks, fixes atmospheric nitrogen, and grows in impoverished soils. The seeds of O. trinervis are characterized by physical or physiological dormancy, and germination requires technique application. The main goal was to evaluate the effect of mechanical and chemical scarification, cold stratification, and hot water immersion on the final germination percentage, germination speed index, and the mean germination time of O. trinervis seeds. Our results show that mechanical and chemical scarification are the treatments that best inhibit seed dormancy in this species. Mechanical scarification with sandpaper is the treatment that offers a balance between effective results and an easy-to-apply technique. Sulfuric acid (SA) treatment is also efficient in breaking dormancy, but we recommend applying it under extreme careful laboratory conditions.

Keywords: Rhamnaceae; Watershed restoration; Pre-germinative treatments; Seed dormancy.

 

Resumen

La pérdida global de bosques en un escenario de cambio climático tiene un impacto directo en el ciclo hidrológico, por lo cual, la protección del suelo y los recursos hídricos adquieren una relevancia crucial. En los Andes Centrales del Oeste de Argentina, hay escasa información sobre los bosques de montaña, incluido el Chacay (Ochetophila trinervis), el cual se establece en bordes de ríos y arroyos, fija nitrógeno atmosférico y crece en suelos empobrecidos. Las semillas de O. trinervis presentan dormición física o fisiológica y la germinación es promovida mediante la aplicación de técnicas previas. El objetivo principal de nuestro estudio es evaluar el porcentaje final de germinación, el índice de velocidad de germinación y el tiempo medio de germinación en cuatro tratamientos (escarificación mecánica, escarificación química con ácido sulfúrico, estratificación fría, inmersión en agua caliente) y su control. Nuestros resultados muestran que la escarificación mecánica y química son los tratamientos que mejor inhiben la dormición de las semillas de esta especie. La escarificación mecánica con papel de lija es un tratamiento efectivo que ofrece un equi­librio entre los resultados obtenidos y una técnica sencilla de aplicación. Por otro lado, el uso de ácido sulfúrico presentó resultados óptimos de germinación, sin embargo, su apli­cación debe realizarse en condiciones de laboratorio y con extremo cuidado.

Palabras clave: Rhamnaceae; Rrestauración de cuencas; Tratamientos pre-germinativos; Dormición de semillas.

 

Originales: Recepción: 01/03/2021

Aceptación: 02/03/2022

 

  

Introduction

 

 

The global forest loss between 1990 and 2015 (3%) had a direct impact on the hydrological cycle, soil resources and provision of ecosystem services (6, 8). In the context of climate change and environmental hazards, the protection of soil and water resources becomes a central issue (13). In Argentina, land-use changes have caused annual deforestation rates of values between 200,000 ha (14) and 300,000 ha (6), which led to the sanction of the Ley de Bosques in 2007. As a result, it is necessary to develop guidelines for forest protection, focusing on distribution, conservation, and ecological restoration of the degraded areas (27).

In Mendoza province, Central-West Argentina, the information about the current distribution and conservation of mountain forests, which includes Maitén (Maytenus boaria), Luma (Escallonia myrtoidea), and Chacay (Ochetophila trinervis), is scarce (3). These woodlands play a critical role in river landscape conservation (15). Therefore, further studies are necessary to develop and implement restoration projects to reverse river use modifications and transformations related to village settlements.

Ochetophila trinervis (Gillies ex Hook. & Arn.) Poepp. ex Miers (Rhamnaceae) is a native South American tree of the Andes of Chile and western Argentina (22), found from 31° and 48° S, and between an altitude of 1,400 and 2,300 m (20). This species thrives along river and stream banks in the mountains (22), fixes atmospheric nitrogen and grows in impoverished soils (18). The study of the potential distribution of O. trinervis indicates that watercourses and related local conditions present optimal habitat suitability (24). However, there is evidence that these forests show geographical range retraction: historical sites such as the Chacay stream in the Uspallata valley exhibits signs of use and degradation (11).

Ecological features of O. trinervis highlighted this species as a suitable option for restoration projects due to its ability to stabilize watersheds and prevent flooding. Information on the environmental requirements for germination and on the eventual presence of dormancy in the seeds of focal species is a fundamental input for restoration tasks. This actinorhizal tree has dry fruits known as tricocos and small, hard seed shells (20, 22). Germination tests conducted in northern Patagonia reached 65% in previously stratified seeds (17).

Dormancy is a stage when a seed is unable to germinate under specific environmental conditions (2). This adaptive strategy allows germination to occur when suitable conditions are within the range of requirements for radicle emergence. Different species from arid environments present physical dormancy (5, 25, 26), including some species in the Rhamnaceae family (1), characterized by the presence of water-impermeable layers in the seeds (2). Dormancy interruption techniques attempt to simulate the ecological process that promotes germination, such as cold or winter conditions, mechanical abrasion from stream transport and acid softening in the digestive tract of animals during granivorous dispersal, among others. Physiological dormancy is regulated hormonally and requires cold stratification, whereas scarification is applied to break physical dormancy (1, 2).

 

 

Objective

 

 

Our objective was to evaluate the effect of mechanical and chemical scarification, cold stratification, and hot water immersion on the final germination percentage, germination speed index, and the mean germination time of O. trinervis seeds. We hypothesized that this species seeds present physiological or physical dormancy.

 

 

Materials and methods

 

 

Seed collection area

 

 

The fruit was collected in the early autumn of 2018 and 2019 on the eastern slope of Cordon del Plata, Central Andes of Mendoza, Argentina (32°59’45.12” S, 69° 15’58.85” W). In this area, the weather is semi-arid and local variability in the temperature and rainfall influences the distribution and abundance of vegetation (12), which adapts to climatic conditions of dryness and cold (4).

 

 

Experimental design

 

 

Fruit collection was carried out manually in five different forest patches located at least 250 m apart to ensure genetic diversity, including 30 individuals with healthy fruit in the surroundings of the Blanco River. Seeds were removed using a threshing device and stored at room temperature (18 ± 4°C) until evaluation. Broken and insect-damaged seeds were discarded by visual observation. Before each assay, the seeds were sterilized by immersion in commercial hypochlorite diluted at 10% for ten minutes and then washed three times in sterile water. Petri dishes of 9 cm diameter were used for the germination trials, with a cotton-wool layer over a filter paper disk. The experiment lasted 16 days, with four replicates of 25 seeds per treatment.

The following randomized treatments were defined: M= Mechanical scarification with sandpaper for 20 s and water immersion for 24 h; SA= Sulfuric acid scarification for 10 min; T5 °C= Cold stratification at 5°C for 15 days (16); T80 °C= 12 hours immersion with an initial temperature at 80°C; and Control (tC)=seeds without any treatment. The Petri dishes with the seeds were placed in a chamber (O.R.L. S.A Hornos Eléctricos) with temperature control at 25°C (±2°C) (16). Germination was defined and recorded as radical emergence to 1 mm. The sprouted seeds were counted daily for 16 days. Then, three parameters were estimated: final germination percentage, germination speed index, and mean germination time. Final germination percentage (%) was calculated as (n/N) × 100; where n is the number of germinated seeds, and N is the total number of seeds (6). Germination speed index (seeds day-1) was estimated using the Maguire index (9) = Σ(ni/ti), and mean germination time (day-1) was measured as = Σ ni × ti / Σni; where ni is the daily number of germinated seeds, and ti is the number of days spent on each count.

 

 

Data Analysis

 

 

Final germination percentage (%) was calculated as (n/N) × 100; where n is the number of germinated seeds, and N is the total number of seeds (7). Germination speed index (seeds day-1) was estimated using the Maguire index (10) = Σ(ni/ti), and mean germination time (day-1) was measured as = Σ ni × ti/ Σni; where ni is the daily number of germinated seeds, and ti is the number of days spent on each count.

Final germination percentage data were analyzed with generalized lineal models. Poisson distribution was used with log link function and the five levels treatment factor was considered as the fixed effect. Post hoc tests were performed using Tukey’s HSD. All data were calculated with the GermCalc function from SeedCalc package (21) for R software (16).

Germination speed index and mean germination time data were normalized using a log10 transformation and analyzed with ANOVA, and LSD Fisher’s test (p < 0.05) was used for means comparison. All figures present the original values of these three parameters.

 

 

Results

 

 

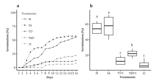
The applied treatments have significant effects on final germination percentages (LRT=292.58; Prob>Chi2 =2.2e-16), germination speed index (F value=24.74; p-value<0.0001), and mean germination time (F value=3.115; p-value=0.04). Final germination percentage values increased with M and SA treatments, exceeding the 50% germination value. These treatments presented the highest values of daily germination (Figure 1a).

 

Each letter indicates significant differences (p < 0.05, Tukey test).

Cada letra indica diferencias significativas (p < 0,05, prueba de Tukey).

Figure 1 (a): Cumulative germination percentage and (b) final germination percentage (FGP) of Ochetophila trinervis seeds under different treatments (mechanical (M), sulfuric acid (SA), temperature at 5°C and 80°C (T5°C and T80°C, respectively) and control (tC).

Figura 1 (a): Porcentaje de germinación acumulada y (b) porcentaje final de germinación (PFG) de semillas de Ochetophila trinervis bajo diferentes tratamientos (mecánico (M), ácido sulfúrico (SA), temperatura a 5°C y 80°C (T5°C y T80°C, respectivamente) y control (tC).

 

The T80 °C treatment presented intermediate values of final germination percentage (22%±2.6). The T5 °C treatment reached a low germination percentage (13%±3), the values achieved were similar to the control treatment (8%±2.8) (Figure 1b).

M and SA treatments showed the highest values for the germination speed index, with a rate between 2.1 and 3 seeds per day (Figure 2a).

 

Each letter indicates significant differences (p < 0.05, Fisher-LSD).

Cada letra indica diferencias significativas (p < 0,05, Fisher-LSD).

Figure 2(a): Germination speed index (GSI) and (b) mean germination time (MGT) of Ochetophila trinervis seeds under different pre-germination treatments (mechanical (M), sulfuric acid (SA), temperature at 5°C and 80°C (T5 °C and T80 °C, respectively) and control (tC).

Figura 2 (a): Índice de velocidad de germinación (IVG) y (b) tiempo medio de germinación (TMG) de las semillas de Ochetophila trinervis bajo diferentes tratamientos pre-germinativos (mecánico (M), ácido sulfúrico (SA), temperatura a 5°C y 80°C (T5 °C y T80 °C, respectivamente) y control (tC).

 

The temperature treatments (T5°C and T80°C) presented intermediate values for the germination speed index, with 0.6 and 0.7 germinated seeds per day, respectively. The SA treatment was the one that reached the shortest mean germination time (6 days ±0.2). Although these results are different from those obtained in the temperature treatments (T5°C and T80°C) and control (tC), they do not differ significantly from the values obtained in the M treatment (Figure 2b).

 

 

Discussion and conclusions

 

 

Our findings support the hypothesis that the seeds of O. trinervis show physical dormancy because either mechanical (M) or chemical scarification (SA) techniques achieved the highest germination values. The hot water immersion treatment (T80°C) performs poorly, similar to trials on other Rhamnaceae species from Australia (23). Regarding the stratified procedure (T5°C), our results show the lowest germination values, similar to the control treatment (tC). According to this outcome, seed dispersal is likely to occur through transport by streams or by ingestion by wildlife.

The cold stratification treatment (T5°C) seems viable for northwest Patagonia (17), where lower temperatures than in our study area can induce a winter pause and O. trinervis seeds do not need scarification to achieve a high germination rate. This observation differs from our results and the procedures applied to Discaria tomatou, a Rhamnaceae species from New Zealand, where scarification techniques also promote higher germination rates (9). The differences between each experiment could be explained by climate contrast between the study sites, the seed dispersal mechanisms and would imply a high interspecific variability.

In this study, we seek to adjust a simple and effective technique for the germination of O. trinervis, a tree with forestation potential and watershed restoration capacity. Our results indicate that mechanical scarification (M) might be a practical option for seedling germination in the Central Andes of Western Argentina. Sulfuric acid (SA) treatment is also efficient in breaking dormancy, but we recommend applying it under extreme careful laboratory conditions. Further study should focus on seed viability and other environmental factors that potentially regulate the germination process, such as temperature, humidity and light exposure.

 

Acknowledgments

We want to thank Jorgelina Altamirano and Juan Manuel Ríos for technical and equipment support at the Environmental Chemistry Laboratory, Raquel Lothringer and Rosemary Scoffield for language edition, which improved the quality of the manuscript. We also thank Gualberto Zalazar, Diego Zeverini, and Aldana Calderón Archina for greenhouse assistance and seed collection. We performed all procedures at CCT CONICET- Mendoza.

 

References

1. Baskin, C. C.; Baskin, J. M. 1998. Seeds. Ecology, biogeography, and evolution of dormancy and germination. Academic Press. San Diego. California. USA. 666 p.

2. Baskin, J. M.; Baskin, C. C. 2004. A classification system for seed dormancy. Seed Science Research. 14: 1-16.

3. Besio, L.; González Loyarte, M. M.; Peralta, I. E. 2011. Conservation status of Maytenus boaria Mol. (maitén) forests in narrow mountain valleys (San Carlos, Mendoza, Argentina). Revista de la Facultad de Ciencias Agrarias. Universidad Nacional de Cuyo. Mendoza. Argentina. 43: 57-73.

4. Burkart, R.; Bárbaro, N. O.; Sánchez, R. O.; Gómez, D. A. 1999. Eco-regiones de la Argentina. Administración de Parques Nacionales. Secretaría de Recursos Naturales y Desarrollo Sustentable. Presidencia de la Nación. Buenos Aires, Argentina. p 42.

5. Dágata, S. L.; Fernández, M. E.; Passera, C. B. 2021. Environmental factors affecting seed quality and germination of Mimosa ephedroides (Fabaceae), an endemic shrub from Monte Desert, Argentina. Revista de la Facultad de Ciencias Agrarias . Universidad Nacional de Cuyo. Mendoza. Argentina. 53(1): 139-149. https://doi.org/10.48162/rev.39.014

6. FAO. 2015. Global Forest Resources Assessment. p 253.

7. ISTA &#091;International Seed Testing Association&#093;. 2015. Chapter 5: The germination test. En: International rules for seed testing. Zurich, Switzerland. 5-56.

8. Keenan, R. J.; Reams, G. A.; Achard, F.; de Freitas, J. V.; Grainger, A.; Lindquist, E. 2015. Dynamics of global forest area: Results from the FAO Global Forest Resources Assessment 2015. Forest Ecology and Management. 352: 9-20.

9. Keogh, J. A.; Bannister, P. 1992. A method for inducing rapid germination in seed of Discaria toumatou Raoul. New Zealand Journal of Botany. 30: 113-116.

10. Maguire, J. D. 1962. Speed of germination: aid in selection and evaluation for seedling emergence and vigor. Crop Science. 2: 176-177.

11. Martínez Carretero, E. 2000. Vegetación de los Andes Centrales de la Argentina. El valle de Uspallata, Mendoza. Boletín de la Sociedad Argentina de Botánica. 34(3-4): 127-148.

12. Méndez, E. 2004. La vegetación de los Altos Andes I. Pisos de vegetación del flanco oriental del Cordón del Plata (Mendoza, Argentina). Boletín de la Sociedad Argentina de Botánica. 39: 227-253.

13. Miura, S.; Amacher, M.; Hofer, T.; San-Miguel-Ayanz, J.; Ernawati; Thackway, R. 2015. Protective functions and ecosystem services of global forests in the past quarter-century. Forest Ecology and Management. 352: 35-46.

14. Montenegro, C.; Gasparri, I.; Manghi, E.; Strada, M.; Bono, J.; Parmuchi, G. 2004. Informe sobre deforestación en Argentina. Unidad de Manejo del Sistema de Evaluación Forestal. Dirección de Bosques, Secretaría de Ambiente y Desarrollo Sustentable. Buenos Aires. República Argentina. p 8.

15. Naiman, R. J.; Décamps, H. 1997. The ecology of interfaces: riparian zones. Annual Review of Ecology and Systematics. 28: 621-658.

16. R Core Team. 2020. R: a language and environment for statistical computing. Version 4. 0. 3. R Foundation for Statistical Computing, Vienna. Austria. p 3770.

17. Reyes, M. F.; Gobbi, M. E.; Chaia, E. E. 2011. Reproductive ecology of Ochetophila trinervis in Northwest Patagonia. Functional Plant Biology. 38: 720-727.

18. Reyes, M. F.; Chaia, E. E.; Gobbi, M. E. 2018. Effects of different herbivores on an actinorhizal species in Northwest Patagonia. Plant Ecology. 219: 1185-1195.

19. Roig, F. A.; Villalba, R.; Ripalta, A. 1988. Climatic factors in Discaria trinervis growth in Argentine Central Andes. Dendrochronologia. 6: 61-70.

20. Schmelter, A. 2002. La influencia de la temperatura en el crecimiento de Discaria trinervis en la cordillera mendocina. En Trombotto, D.; R. Villalba, R. (Editores). IANIGLA, 30 años de investigación básica y aplicada en ciencias ambientales. Instituto Argentino de Nivología, Glaciología y Ciencias Ambientales. Mendoza, República Argentina. 35-39.

21. Silva, L. J. da; Medeiros, A. D. de; Oliveira, A. M. S. 2019. SeedCalc, a new automated R software tool for germination and seedling length data processing. Journal of Seed Science. 41: 250-257.

22. Tortosa, R. D. 1983. El género Discaria (Rhamnaceae). Boletín de la Sociedad Argentina de Botánica. 22: 301-335.

23. Turner, S. R.; Merritt, D. J.; Baskin, C. C.; Dixon, K. W.; Baskin, J. M. 2005. Physical dormancy in seeds of six genera of Australian Rhamnaceae. Seed Science Research. 15: 51-58.

24 Vezzani, N. A. 2019. Distribución potencial de los bosques de Ochetophila trinervis (chacay) en el Centro-Oeste de Argentina. Trabajo final de Maestría de Ingeniería Ambiental. Universidad Nacional de Cuyo. Mendoza. Argentina. p. 67.

25. Villagra, P. E. 1995. Temperature effects on germination of Prosopis argentina and P. alpataco (Fabaceae, Mimosoideae). Seed Science and Technology. 23: 639-646.

26. Villagra, P. E. 1997. Germination of Prosopis argentina and P. alpataco seeds under saline conditions. Journal of Arid Environments. 37: 261-267.

27. Villagra, P. E.; Alvarez, J. A. 2019. Determinantes ambientales y desafíos para el ordenamiento forestal sustentable en los algarrobales del Monte, Argentina. Ecología Austral. 29: 146-155.