Revista de la Facultad de Ciencias
Agrarias. Universidad Nacional de Cuyo. Tomo 55(1). ISSN (en línea) 1853-8665.
Año 2023.
Original article
About identification of features that affect the estimation of
citrus harvest
Sobre la identificación de factores que afectan la estimación de
la cosecha de cítricos
Silvia M. Mazza 1
Noelia Rico 2
Cristian F. Brenes Pérez 3
José E. Gaiad 4
Susana Irene Díaz Rodríguez
2
1 Universidad Nacional del Nordeste. Facultad de Ciencias Agrarias.
Departamento Matemática y Estadística. Cátedra Cálculo Estadístico y Biometría.
Sargento Cabral 2131. CP 3400. Corrientes. Argentina.
2 Departamento de Informática. Campus de Gijón. 33204. Gijón.
Asturias. España.
3 Laboratorio de Modelado Ecosistémico. Unidad de Acción Climática
CATIE-Centro Agronómico Tropical de Investigación y Enseñanza. Turrialba 30501-
7170. Costa Rica.
4 Universidad
Nacional del Nordeste. Facultad de Ciencias Agrarias. Departamento de
Producción vegetal. Cátedra de Fruticultura. Sargento Cabral 2131. CP 3400.
Corrientes. Argentina.
* griseldabobeda@gmail.com
Abstract
Accurate
models for early harvest estimation in citrus production generally involve
expensive variables. The goal of this research work was to develop a model to
provide early and accurate estimations of harvest using low-cost features.
Given the original data may derive from tree measurements, meteorological
stations, or satellites, they have varied costs. The studied orchards included
tangerines (Citrus reticulata x C. sinensis) and sweet oranges (C.
sinensis) located in northeastern Argentina. Machine learning methods
combined with different datasets were tested to obtain the most accurate
harvest estimation. The final model is based on support vector machines with
low-cost variables like species, age, irrigation, red and near-infrared
reflectance in February and December, NDVI in December, rain during ripening,
and humidity during fruit growth.
Keywords: MODIS; SVM; Selection of variables; Machine learning; Sweet orange; Murcott tangor.
Resumen
En la
producción de cítricos, los modelos precisos para estimación temprana de
producción involucran variables de alto costo. El objetivo de este trabajo fue
desarrollar un modelo que proporcione estimaciones tempranas y precisas
utilizando características de bajo costo. Los datos iniciales considerados
tienen diferentes costos, ya que provienen de mediciones en los árboles, de las
estaciones meteorológicas o de satélite. Los huertos de cítricos estudiados
correspondieron a mandarino (Citrus reticulata x C. sinensis) y
dos naranjas dulces (C. sinensis); ubicados en el noreste argentino. Se
han probado varios métodos de aprendizaje automático junto con diferentes
conjuntos de datos, con el objetivo de obtener la mejor estimación de
producción. El modelo final se basa en máquinas de vectores soporte con las
siguientes variables de bajo costo: especie, edad de los árboles, irrigación,
reflectancia roja e infrarroja cercana en febrero y diciembre, NDVI en
diciembre, lluvia durante madurez y humedad en periodo de crecimiento de
frutos.
Palabras clave: MODIS; SVM; Selección de variables;
Aprendizaje automático; Naranja dulce; Tangor Murcott.
Originales: Recepción: 14/12/2021
Aceptación: 06/06/2023
Introduction
According to
Federcitrus (2022), citrus production in Argentina
amounts to approximately 3.5 million tons, with sweet oranges roughly
contributing 1 million tons and Valencia late being the most important variety.
The cultivation area for Salustiana is increasing, and mandarins contribute
around 500,000 tons, with Tangor Murcott as one major type.
Estimating
citrus yield is challenging due to interannual and individual variations in
productive traits. Typically, estimation relies on agronomic conditions, tree
characteristics, historical orchard yield, and subjective observations, leading
to estimation errors ranging from 15% to 25% (Apolo-Apolo et
al., 2020). Recently, precision agriculture incorporating computing,
robotics, artificial intelligence, and remote sensing, has improved yield
estimation accuracy.
Several
researchers have explored remote sensing and machine learning methods to
predict crop yield. Córdoba et al. (2012)
employed PCA (principal component analysis) to assess spatial covariation of
soil properties and crop yield. Teixidó et al. (2018)
developed semi-automated methods using different image capture systems and
segmentation techniques. Wang et al. (2021)
successfully tested various image capture methods by developing target image
detection technology for remote sensing images based on deep learning.
Remote
sensing data captured by civilian satellite-borne sensors enables monitoring
Earth surface at different temporal and spatial scales. Begué
et al. (2018) highlighted the convenience of using these images,
which offer low costs per unit area while providing consistent spatial and
temporal comparisons of vegetation conditions. Various vegetation indices have
been developed, including the Standard Vegetation Difference Index (NDVI) for
monitoring vegetation biomass. Arango et al. (2016a,
2016b, 2017) employed MODIS sensor images and associated variables such as
soil properties, biophysical characteristics of crop sites, cultural
treatments, and production, identifying arable land.
Machine
learning techniques, including support vector machines (SVM), random forest
(RF), and artificial neural networks (ANN), have proven effective in estimating
agricultural variables of interest. Díaz et al. (2017)
and Bóbeda et al. (2018) used machine learning
systems to predict citrus production and load, respectively. Taghizadeh
et al. (2020) employed SVM and RF algorithms to forecast land
suitability for rain-fed wheat and barley. Numerous studies have explored the
use of machine learning algorithms to predict crop yield for maize, and potato
tuber, among other crops.
The
objectives of this study are to identify low-cost and accessible variables for
estimating citrus harvest while developing a methodology for early estimation
of fruit number per tree using remote sensing and machine learning techniques.
Material and Methods
Area and Material of Study
The study
collected empirical data from citrus-producing orchards located in the
Corrientes and Entre Rios provinces, northeastern Argentina, with geographical
coordinates 27°39´39” to 31°23´59” S and 57°00´01” to 58°58´59” W. Orchard age
ranged from 7 to 30 years and varietal composition included 44% Murcott tangor
(Citrus reticulata x C. sinensis), 52% Valencia late, and 4%
Salustiana sweet oranges (C. sinensis). Among the orchards, only 40%
were irrigated, 78% of the trees were planted in sandy soil, and 22% were
planted in clayey soil. Salustiana orchards were included in the dataset to
increase variability, but further research is needed to develop a yield
estimation model for this variety.
The dataset
comprised three types of variables: tree and orchard characteristics, climatic
variables, and satellite information. Field data were collected using a
systematic random sampling method during the 2005/06 to 2015/16 seasons. The
sample included 2-3% of trees from each orchard, and the following information
was gathered:
Harvest: The
target variable is the average count of fruits per tree recorded during harvest
in each orchard.
Orchard
characteristics: This category includes species (tangerine, sweet orange);
variety (Murcott, Salustiana, Valencia late); soil type (sandy, clayey);
irrigation (presence, absence); and age.
Tree traits:
Canopy height and trunk diameter in meters. To estimate harvest time, fruits
were counted in a sampling frame of 0.125 cubic meters at 1.5 meters from the
ground and at the four cardinal points of the canopy. Then, fruits were
manually counted 60 and 30 days before the estimated harvest time. Average
number of fruits was calculated.
Climatic
variables: This category included total rainfall, average temperature, and
humidity during full bloom (September), fruit growth (December to March), and
ripening (April to July). These data were obtained from weather stations
located 5 to 45 km from the orchards.
Satellite
information: MODIS data were used to obtain near-infrared reflectance, red
reflectance, and NDVI during full bloom (September), fruit growth and ripening
(December to June). Two monthly records allowed average value calculations for
each month. NDVI is defined as

where REFnir is Reflectance in the infrared spectrum and REFred,
in the red spectrum.
MODIS is
aboard the Terra and Aqua satellites. The primary product used in this study
was MOD091, which provides reflectance data for terrestrial coverage assessment
with daily temporal resolution and a spatial resolution of 250 m. NDVI and
reflectance values, as well as database organization related to orchards,
followed an automated extraction process outlined in a four-stage workflow
depicted in Figure
1 (a): (1) Orchards location, and centroids
calculation.
Figure 1(a): Steps for data extraction from MODIS sensor.
Figure 1(b): Maps t-layer containing
monthly NDVI summary for each moment (0 to t7).
Figura 1(a): Etapas del proceso de
extracción data del sensor MODIS.
Figura 1(b): t-capas de mapas con los
resúmenes mensuales de NDVI por momento (0 a 7).
(2) The
MODIS sensor time series product MOD09GQ1 download using R Statistics routine (Arango et al., 2016a). (3) NDVI estimation based on
seasons, specific time points, and orchard locations. (4) Database construction.
Data analysis
The cost
of gathering data depends on multiple factors. The most expensive aspect
involves the on-site laborious measurement of each tree. Climatic variables are
obtained from closely located weather stations. Satellite data is freely
available. Considering the costs and difficulties associated with measuring
these variables, three distinct datasets were created to examine prediction
performance based on information-collecting costs (refer to Table 1).
Table 1: Description of variables in each dataset. Harvest is the target
variable.
Tabla 1: Descripción
de variables en cada conjunto de datos. Cosecha es el valor de comparación.

Noteworthy is that the variables in dataset d1
are the cheapest, while, conversely, certain features in d3 are quite expensive
as they rely on human resources.
Methods to estimate orchard production
ANNs are
machine learning algorithms inspired by brain neural networks. They are widely
used for both classification and regression tasks across various domains,
including agriculture (9). One type of ANN is the
multilayer perceptron (MLP), which consists of multiple layers of neurons. Each
neuron receives input solely from neurons in the previous layer and provides
output exclusively to neurons in the next layer. The first layer represents
dataset input features, while the last layer represents the output. The number
of hidden layers in between is typically determined through experimentation.
During the training process, weights between adjacent neurons are adjusted to
minimize prediction error. MLP has been applied in agricultural studies (27).
SVMs
transform input data into a high-dimensional feature space using a predefined
kernel function, wherein a hyperplane is derived to capture nonlinear
relationships. SVM discovers this hyperplane by utilizing support vectors
(essential training tuples) and margins (defined by the support vectors). Even
though SVMs interpretation can be complex, they have been applied in
agriculture with high accuracy (15, 35).
RT adopt a
divide-and-conquer strategy to construct a tree. Each path from root to leaf
determines a region representing a more homogeneous subset of the input data.
Various existing regression tree-based models are characterized by different
splitting criteria, prune rules, and methods for estimating leaf values. CART
uses variance as the splitting criterion, M5 employs standard deviation
reduction, and conditional trees utilize covariance. In CART and conditional
trees, the estimated value for a leaf remains constant, while M5 approximates
it using linear regression models (21). In general, M5 outperforms CART and conditional trees in terms
of accuracy and simplicity. These models have been extensively used in
agriculture (7, 20).
Random
Forest (RF) constructs decision trees by repeatedly sampling the original
training data through bootstrapping. Each decision tree is trained on a
different random sample, resulting in trees trained on slightly different data
subsets. RF combines the individual decision trees by averaging their
predictions, reducing variance in predictions and improving overall accuracy.
By assembling a collection of decision trees, RF mitigates the risk of
overfitting and enhances model generalization performance on unseen data (16).
Lazy methods
(as KNN) are distance-based learning methods that predict output values based
on the nearest neighbors in the training set, assuming all features used to
describe the dataset are relevant, and that close examples are likely to have
the same output value. It computes distances (Euclidean or other) between
examples to classify each training example by selecting the k closest
neighbors. Since based on distances, KNN is quite sensitive to sliding scale
but can be useful when interpretability is not a requirement for modelling a
prediction problem (12).
Training and testing
Each dataset was divided
into training and test sets, with a split ratio of 75% for training and 25% for
testing. This process was repeated 50 times, ensuring unbiased results. The
training phase followed a cross-validation model with 10 folds. The tested
methods included M5, conditional trees (ctree), CART (implemented as rpart and
rpart2), SVM with polynomial kernel (svm1) or radial kernel (svm2), perceptron
with one layer (mlp) or two layers (mlpMP), k-nearest neighbors (knn), and
random forest (RF).
Model
performance was assessed through various metrics, including the root mean
square error (RMSE), commonly used for validating physical system models (6). It is defined as follows:

where:
n = the sample size
i = the output value and u is
the prediction
The mean
absolute error (MAE) quantifies the average difference between the measured
data and the estimated data (17), quantifying error magnitude
without considering direction. A lower MAE indicates a better model fit, and
can be calculated using the following formula:

Results
Machine learning + datasets comparison
Different machine learning
methods were assessed for prediction performance. Graph analysis indicated that
random forest (rf) and SVM with polynomial kernel (svm1) had the lowest MAE and
RMSE values. Across all datasets, svm1 consistently outperformed the other
methods. Statistical significance was determined after conducting one-tailed
t-tests to compare average MAE and RMSE differences for svm1 against all other
methods. All comparisons showed significant values (p≤0.05), confirming that,
for citrus production, svm1 had lower MAE and RMSE errors than other methods.
The only exception was the RF comparison using dataset d1, showing no
statistically significant difference in RMSE compared to svm1 (p=0.486). SVM
with polynomial kernel (svm1) showed the best performance in terms of MAE and
RMSE across all input datasets. Therefore, the analysis focused on evaluating
svm1 performance.
Figure
2 shows the MAE vs. RMSE comparison
obtained with svm1 using d1, d2 and d3 as inputs.
Figure 2:MAE (a) and RMSE (b)
values obtained with svm1 for datasets d1, d2, d3.
Figura 2: Valores de MAE (a) y RMSE (B) obtenidos con
svm1 para los conjuntos de datos d1, d2 y d3.
Note that
the worst performance was obtained with d1 dataset. A paired t-test compared d1
and d2 results and observed significant differences in MAE (p=1.757206-07) and
RMSE (p=1.007665-06). Thus, d2 resulted the best dataset. On the other hand, d2
and d3 show small, non-significant differences (MAE (p=8.356207-01), RMSE
(p=1.339823-01). Dataset selection was based on the variables used, considering
measurement difficulties and costs. Given tree variables were the most
difficult and expensive to collect, dataset d2 was chosen for not including
these variables. This combination method-dataset threw a prediction average
error of 3.99% with 3.7 % standard deviation for fruit number estimation. This
error results much smaller than the 10% and 46% obtained in maize yield
estimation (20).
Analysis of relevant features
As
previously demonstrated, the optimal combination for harvest prediction
involves using dataset d2 and the machine learning method svm1. However, one
SVM drawback is the complicated assessment of feature relative importance in
model construction, besides the fact that there is no standardized approach for
evaluating variable importance in SVM-based classification models.
Despite this
limitation, investigating the most relevant variables in this context remains
important. To this end, this research assumed that if SVM performance weakened
when all variables except one were used for training, then that excluded
variable was significant for model construction. To check this assumption, the
training used all variables except the one being considered, obtaining the
associated error (ei). Afterwards, each variable was ranked according to this
errors, obtaining a ranking, ri. This process was repeated 50 times, obtaining
50 different rankings, then aggregated using scoring ranking rules and
assigning each candidate with a score, finally obtaining variable importance.
Although many different ways may obtain a consensus ranking (28, 29, 30, 31, 32), the Borda count is a quite
simple convex-ranking-rule (8), already successfully
applied similarly by Rúa et al. (2023).
The 10 more
important variables were species, age, irrigation, red reflectance in February
and December, near-infrared reflectance in February and December, NDVI in
December, rain during ripening, and humidity during fruit growth.
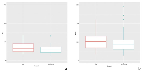
To check
this “variable importance estimation”, svm1 was trained with a new dataset
called d2-filtered, using only the 10 most important variables selected above. Figure
3 compares svm1 trained with d2 and with
d2-filtered. Note that training svm1 with d2-filtered seems to reduce MAE and
RMSE, although not significantly (MAE, p=0.05455, RMSE, p=0.2808).
Figure 3: Comparison of MAE and RMSE
using svm1 with d2 and d2 - filtered.
Figura 3: Comparación
de MAE y RMSE empleando svm1 con d2 y d2 - filtrado.
Thus, by
using only these 10 most relevant variables, performance is not affected, and
costs are reduced.
Discussion
This work
evaluated several machine learning methods for low-cost orchard production
estimation. These previously tested models determined volume, fruit number to
harvest, or crop yield, using different remote sensors and yielding results in
agreement with our research. RF and SVM resulted the best performance methods (14, 15).
Leroux et al. (2019) compared a linear regression
model with RF and found that RF outperformed the linear model and estimated
maize yield two months before harvest using only data from the vegetative
period. Han et al. (2019) explored four
machine-learning regression methods (linear regression, SVM, ANN, and RF)
modelling maize above-ground biomass using remote-sensing data.
ANN and SVM
were considered difficult to interpret while the RF model gave the most
balanced results, with low error and a high ratio of explained variance for the
training and tested set. Feng et al. (2020) used
machine learning-based integration with remotely sensed data to improve
capabilities in monitoring agricultural drought.
Maya Gopal & Bharghavi (2019) evaluated features for
accurate crop yield prediction and demonstrated that the RF model performed
better. The variables used were planting area, number of tanks, number of tube
wells and open wells, canal length for irrigation, amount of fertilizers
consumed, seed quantity, cumulative rainfall, cumulative global solar
radiation, and maximum, average and minimum temperatures.
Nyalala et al. (2019) developed a computer vision
system for tomato volume and mass estimation based on depth images and several
regression models. SVM showed significant advantages over other supervised
learning algorithms. Kurtulmus et al. (2013)
investigated various techniques for peach number estimation in a canopy,
including SVM, ANN, and discriminant analysis. SVM demonstrated superior
performance in certain scenarios, consistent with our findings. After
evaluating multiple methods, RF and SVM with a polynomial kernel resulted the
most effective, with the latter performing significantly better than other
approaches across all datasets.
Figure 3, shows harvest estimation using low-cost information
related to species, season, tree age, soil type, irrigation, temperature, rain,
and humidity, as well as satellite data at different moments. Begué et al. (2018) found similar results. Available
literature on remote sensing for mapping cropping practices, concludes that
testing at local scale is highly dependent on ground data. Robson
et al. (2017) found a consistent positive correlation between
vegetation index using near-infrared band 1 and red edge band with total fruit
weight and average fruit size, concluding that orchard location and growing
season influence this relationship. In the same line, Rahman
& Zhang (2017) evaluated high-resolution satellite imagery for mango
yield estimation by integrating tree crown area and spectral vegetation
indices. They used ANN models, considering that the combination of these types
of data allows estimating total fruit yield and fruit number with high
accuracy. In addition, our estimation with almost 4% error for fruit number per
tree, resulted in better fittings than those obtained by Leroux
et al.(2019).
The method presented in this study represents an improvement over Bóbeda et al. (2018), who relied on on-field
information and the RT procedure to estimate fruit number in sweet orange and
tangerine, with 29% error.
The 10
finally selected variables agree with previous research. Genotype and tree-age
effects on citrus production are well-known and significant traits (25) for fruit number estimation in
citrus. Concerning humidity, rainfall, and irrigation, plant optimal water
intake is necessary for optimal plant growth and development. Kern et al. (2018) found an association between
rain and yield in winter crops. NDVI and reflectance values for yield
estimation resulted as previous yield predictors, based on the conclusions of Kern et al. (2018) and Lopresti
et al. (2015). In addition, noteworthy is that several of the most
important features are measured during early crop stages.
Conclusions
This study presents a
methodology using SVM for accurate estimations of fruit count per tree in
Murcott tangor and Valencia late sweet oranges. The SVM model employs a
polynomial kernel and considers several variables, such as species, tree age,
irrigation conditions, rainfall during fruit maturation (April to July),
humidity during fruit growth (December to March), red and near-infrared
reflectance in February, and NDVI, near-infrared, and red reflectance in
December. Easily obtainable ground variables, including species, tree age, and
irrigation conditions, were recorded in each orchard. Meteorological stations
provided rainfall and humidity data, while civilian satellites offered
information. Estimations rely on low-cost variables obtained early in the determination
process. The proposed estimation method enables safe and accurate anticipation
of harvests at a reduced cost, demonstrating practicality and applicability.
1. Apolo-Apolo, O.; Martínez-Guanter, J.; Egea, G.; Raja, P.;
Pérez-Ruiz, M. 2020. Deep learning techniques for estimation of the yield and
size of citrus fruits using a uav. European Journal of Agronomy. DOI
https://doi.org/10.1016/j.eja.2020.126030
2. Arango, R. B.; Campos,
A.; Combarro, E. F.; Canas, E. R.; Díaz, I. 2016a. Mapping cultivable land from
satellite imagery with clustering algorithms. International Journal of Applied
Earth Observation and Geoinformation. 49: 99-106. DOI
https://doi.org/10.1016/j.jag.2016.01.009
3. Arango, R. B.; Díaz,
I.; Campos, A.; Canas, E. R.; Combarro, E. F. 2016b. Automatic arable land
detection with supervised machine learning. Earth Science Informatics. 9(4):
535-545. DOI 10.1007/s12145-016-0270-6
4. Arango, R. B.; Campos,
A. M.; Combarro, E. F.; Canas, E. R.; Díaz, I. 2017. Identification of
agricultural management zones through clustering algorithms with thermal and
multispectral satellite imagery. Int. J. Uncertain. Fuzziness Knowl. Based
Syst. 25 (Supplement-1): 121-140. DOI 10.1142/S0218488517400062
5. Begué, A.; Arvor, D.;
Bellon, B.; Betbeder, J.; De Abelleyra, D.; Ferraz, R.; Lebourgeois, V.;
Lelong, C.; Simões, M.; Verón, S. 2018. Remote sensing and cropping practices:
A review. Remote Sensing. 10(1). DOI https://doi.org/10.3390/rs10010099
6. Bergmeir, C.; Triguero,
I.; Molina, D.; Aznarte, J.; Benitez, J. M. 2012. Time series modeling and
forecasting using memetic algorithms for regime-switching models. IEEE
Transactions on Neural Networks and Learning Systems. 23(11): 1841-1847. DOI
10.1109/TNNLS.2012.2216898
7. Bóbeda, G. R. R.;
Combarro, E. F.; Mazza, S.; Giménez, L. I.; Díaz, I. 2018. Using regression
trees to predict citrus load balancing accuracy and costs. International
Journal of Computational Intelligence Systems. 12(1): 79.
https://doi.org/10.2991/ijcis.2018.25905183
8. Borda, J. C. 1781.
Mémoire sur les Elections au Scrutin. Histoire de l’Académie Royale des
Sciences, Paris.
9. Cook, T. R. 2020.
Neural Networks. Springer International Publishing, Cham. 161-189.
10. Córdoba, M.; Bruno,
C.; Balzarini, M.; Costa, J. L. 2012. Principal component analysis with
georeferenced data. An application in precision agriculture. Revista de la
Facultad de Ciencias Agrarias. Universidad Nacional de Cuyo. Mendoza.
Argentina. 44(1): 27-39.
11. Díaz, I.; Mazza, S.
M.; Combarro, E. F. C.; Giménez, L. I.; Gaiad, J. E. 2017. Machine learning
applied to the prediction of citrus production. Spanish journal of agricultural
research. 15(2): 7-28. DOI ttps://doi.org/10.5424/sjar/2017152-9090
12. Díaz, E.;
Fernández-Plaza, C. I.; Alonso, A.; González, C.; Díaz, I. 2021. Machine
learning as a tool to study the influence of chrono-disruption in preterm
births. Journal of Ambient Intelligence and Humanized Computing. DOI
10.1007/s12652-021-02906-6
13. Federcitrus. 2022. La
actividad citrícola. The Argentine Citrus Industry. https://www.federcitrus.org/estadisticas/
14. Feng, P.; Wang, B.;
Yu, Q. 2020. Machine learning-based integration of remotely sensed drought
factors can improve the estimation of agricultural drought in south-eastern
Australia. Agricultural Systems, 173: 303-316. DOI
https://doi.org/10.1016/j.agsy.2019.03.015
15. Han, L.; Yang, G.;
Dai, H.; Xu, B.; Yang, H.; Feng, H.; Li, Z.; Yang, X. 2019. Modeling maize
above-ground biomass based on machine learning approaches using UAV
remote-sensing data. Plant Methods. 15(1). DOI 10.1186/s13007-019-0394-z
16. Hastie, R.; Tibshirani, J. F. 2017. The Elements of
Statistical Learning Data Mining, Inference, and Prediction. Springer. DOI
https://doi.org/10.1007/BF02985802
17. Hyndmana, R.; Koehlerb, A.
2006. Another look at measures of forecast accuracy. International Journal of
Forecasting. 22(4): 679-688. DOI https://doi.org/10.1016/j.ijforecast.2006.03.001
18. Kern, A.; Barcza, Z.; Marjanovic, H.; Arendas, T.; Fodor, N.;
Bonis, P.; Bognar, P.; Lichtenberger, J. 2018. Statistical modelling of crop
yield in central Europe using climate data and remote sensing vegetation
indices. Agricultural and Forest Meteorology. 260-261, 300-30. DOI
https://doi.org/10.1016/j.agrformet.2018.06.009
19. Kurtulmuş, F.; Lee, W.
S.; Vardar, A. 2013. Immature peach detection in colour images acquired in
natural illumination conditions using statistical classifiers and neural
network. Precision Agriculture. DOI 10.1007/s11119-013-9323-8
20. Leroux, L.; Castets,
M.; Baron, C.; Escorihuela, M. J.; Bégué, A.; Lo Seen, D. 2019. Maize yield
estimation in west Africa from crop process-induced combinations of
multi-domain remote sensing indices. European
Journal of Agronomy .
108: 11-26. DOI: 10.1016/j.eja.2019.04.007
21. Loh, W. Y. 2011.
Classification and regression trees. WIREs Data Mining and Knowledge Discovery.
1(1): 14-23. DOI 10.1002/widm.8
22. Lopresti, M.F.; Di
Bella, C.M.; Degioanni, A.J. 2015. Relationship between MODIS-NDVI data and
wheat yield: A case study in Northern Buenos Aires province, Argentina,
Information Processing in Agriculture. 2 (2): 73-84.
https://doi.org/10.1016/j.inpa.2015.06.001
23. Maya Gopal, P.;
Bhargavi, R. 2019. A novel approach for efficient crop yield prediction.
Computers and Electronics in Agriculture. 165: 104968. DOI
https://doi.org/10.1016/j.compag.2019.104968
24. Nyalala, I.; Okinda,
C.; Nyalala, L.; Makange, N.; Chao, Q.; Chao, L.; Yousaf, K.; Chen, K. 2019.
Tomato volume and mass estimation using computer vision and machine learning
algorithms: Cherry tomato model. Journal of Food Engineering. DOI
https://doi.org/10.1016/j.jfoodeng.2019.07.012
25. Palacios, J. 2013.
Citricultura. Talleres Gráficos Alfa Beta S. A.
26. Rahman, A. A.; Zhang,
X. 2017. Prediction of cooling load for a standing wave thermoacoustic
refrigerator through artificial neural network technique. Energy Procedia.
Proc. of the 9th International Conference on
Applied Energy. 142: 3780-3786. DOI https://doi.
org/10.1016/j.egypro.2017.12.276
27. Refonaa, J.; Lakshmi,
M. 2021. Remote sensing-based rainfall prediction using big data assisted
integrated routing framework. Journal of Ambient Intelligence and Humanized
Computing. DOI. 10.1007/s12652-020-02726-0
28. Rico, N.;
Pérez-Fernández, R.; Díaz, I. 2019. Incorporating ranking rules into k nearest
neighbours. IEEE International Conference on Fuzzy Systems (FUZZ-IEEE). 1-6.
DOI 10.1109/FUZZ-IEEE.2019.8858892
29. Rico, N.;
Pérez-Fernández, R.; Díaz, I. 2020. The Borda Count as a Tool for Reducing the
Influence of the Distance Function on kmeans. Lecture Notes in Computer
Science. 12344:450-461. DOI https://doi.org/10.1007/978-3-030-61705-9_37
30. Rico, N.; Vela, C. R.;
Pérez-Fernández, R.; Díaz, I. 2021. Reducing the computational time for the
Kemeny method by exploiting Condorcet properties. Mathematics. 9(12): 1380. DOI
https://doi.org/10.3390/math9121380
31. Rico, N.; Vela, C. R.;
Díaz, I. 2023a. Reducing the time required to find the Kemeny ranking by
exploiting a necessary condition for being a winner. European Journal of
Operational Research. 305(3): 1323-1336. DOI
https://doi.org/10.1016/j.ejor.2022.07.031
32. Rico, N.; Alonso, P.;
Díaz, I. 2023b. Kemeny ranking aggregation meets the GPU. Journal of
Supercomputing. 1-18. DOI https://doi.org/10.1007/s11227-023-05058-w
33. Robson, A.; Rahman,
M.; Muir, J. 2017. Using worldview satellite imagery to map yield in avocado (Persea
americana): A case study in Bundaberg, Australia. Remote Sensing. 9: 1223.
DOI 10.3390/rs9121223
34. Rúa, A. F.; Rico, N.;
Alonso, A.; Díaz, E.; Díaz, I. 2023. Ranking the effect of
chronodisruption-based biomarkers in reproductive health. Neural Computation
and Applications. 35(8): 5697- 5720.
35. Taghizadeh-Mehrjardi,
R.; Nabiollahi, K.; Rasoli, L.; Kerry, R.; Scholten, T. 2020. Land suitability
assessment and agricultural production sustainability using machine learning
models. Agronomy. 10(4). DOI 10.3390/agronomy10040573
36. Teixidó, P.; Gómez-Galón, J. A.; Gómez-Bravo, F.;
Sánchez-Rodríguez, T.; Alcina, J.; Aponte, J. 2018. Low-power low-cost wireless
flood sensor for smart home systems. Sensors. 18(11). DOI 10.3390/s18113817
37. Wang, Y.; Yang, H.; Luo, L.;
Hu, X.; Lan, H. 2021. Innovation of agricultural digital business model based
on remote sensing image target detection and embedded network. Journal of
Ambient Intelligence and Humanized Computing. DOI 10.1007/s12652-021-03258-x