Revista de la Facultad de Ciencias
Agrarias. Universidad Nacional de Cuyo. Tomo 57(2). ISSN (en línea) 1853-8665.
Año 2025.
Original article
Impact
of Ozone-Based Postharvest Treatment on the Quality and Shelf Life of Radish (Raphanus
sativus L.) Microgreens
Efectos
del tratamiento poscosecha con ozono en la calidad y la vida útil de
microgreens de rabanito (Raphanus sativus L.)
Roberto Felipe
Bafumo1,
Alejandra Beatriz
Camargo1, 2*
1Universidad Nacional de Cuyo. Facultad de Ciencias Agrarias.
Laboratorio de Cromatografía para Agroalimentos. Instituto de Biología Agrícola
de Mendoza. CONICET Mendoza. Almirante Brown 500. Chacras de Coria. M5528AHB.
Mendoza. Argentina.
2Universidad Nacional de Cuyo. Facultad de Ciencias Agrarias.
Cátedra de Química Analítica.
3Universidad Nacional de Cuyo. Facultad de Ciencias Agrarias.
Cátedra de Enología I.
*acamargo@fca.uncu.edu.ar
Abstract
Microgreens are
young vegetable seedlings that have garnered significant attention due to their
high concentrations of health-promoting phytochemicals. However, their highly
perishable nature presents a significant challenge for postharvest storage.
Among the various preservation technologies available, ozone treatment applied
to microgreens-an innovative and environmentally sustainable method-has not
been extensively studied. This study evaluated the effect of ozone-based
sanitization on the shelf life and quality of radish microgreens. Conventional
washing treatments using chlorinated water and tap water were compared to
ozonated water. During refrigerated storage, key quality parameters were
systematically monitored, including fresh weight loss, electrolyte leakage,
color changes, and microbial counts. Ozonated water effectively reduced the
initial aerobic mesophilic bacterial populations, with no statistically
significant differences compared to conventional chlorine treatment.
Furthermore, ozone treatment had minimal impact on color, and the weight loss
remained below 1%. Although tissue wilting was observed, it was significantly
less severe than that associated with chlorine treatment. These findings
suggest that ozonated water is a promising alternative to conventional
postharvest treatments for enhancing the shelf life and microbiological safety
of ready-to-eat microgreens.
Keywords: micro-scale
vegetables, Raphanus sativus, ozonated water, sanitization, storage
Resumen
Los microgreens son
plántulas jóvenes de hortalizas reconocidas por sus altas concentraciones de
fitoquímicos beneficiosos para la salud. Sin embargo, su naturaleza altamente
perecedera representa un desafío significativo para su almacenamiento
poscosecha. Entre las diversas tecnologías de conservación disponibles, el
tratamiento con ozono aplicado a microgreens-un método innovador y
ambientalmente sostenible- continúa escasamente investigado. Este estudio
evaluó el efecto de la sanitización con ozono sobre la vida útil y la calidad de
los microgreens de rabanito. Se compararon tratamientos convencionales de
lavado con agua clorada y agua de red frente al uso de agua ozonizada. Durante
el almacenamiento refrigerado, se monitorearon sistemáticamente parámetros de
calidad como pérdida de peso fresco, pérdida de electrolitos, cambios de color
y recuentos microbiológicos. El agua ozonizada redujo eficazmente las
poblaciones iniciales de bacterias mesófilas aerobias, sin diferencias
estadísticamente significativas respecto del tratamiento convencional con
cloro. Además, el tratamiento con ozono tuvo un impacto mínimo sobre el color,
y la pérdida de peso se mantuvo debajo del 1%. Aunque se observó marchitamiento
tisular, su severidad fue significativamente menor que la asociada al
tratamiento con cloro. Estos resultados sugieren que el agua ozonizada es una
alternativa prometedora a los tratamientos poscosecha convencionales para
mejorar la vida útil y la seguridad microbiológica de los microgreens listos
para consumir.
Palabras clave: micro-hortalizas, Raphanus
sativus, agua ozonizada, sanitización, almacenamiento
Originales: Recepción: 07/02/2025 - Aceptación: 20/10/2025
Introduction
Microgreens, the
edible seedlings of various vegetable and herb species, exhibit a short growth
cycle, typically lasting between 10 to 15 days. After this period, the stem,
cotyledons, and the first pair of true leaves are consumed. Microgreens
popularity has increased in recent years, driven by growing consumer interest
in healthy eating (15). Numerous studies
have underlined the high concentrations of bioactive compounds in microgreens,
with several health benefits-such as anticancer and antioxidant
properties-linked to their consumption (23). However, due to
their young and tender nature, microgreens are highly perishable and have a
limited postharvest shelf life.
Several factors
influence postharvest preservation of vegetables, including temperature,
humidity, gas composition during storage, packaging materials, and washing and
sanitizing methods. Chlorine is commonly used as a sanitizer in the food
industry. However, its use raises concerns regarding environmental
contamination and the potential carcinogenic effects of its gaseous byproducts
and degradation products (8, 25). In this context,
various alternative physical and chemical technologies have been developed for
postharvest applications (1). Among these,
ozone is notable for its potent antimicrobial properties and its ability to
decompose spontaneously into non-toxic byproducts (4,
30).
Numerous studies
have reported the use of ozonated water for preserving minimally processed vegetables,
including celery (30), asparagus (11), broccoli (7), spinach (18), as well as
carrots and lettuce (21). For ready-to-eat
products, microgreens undergo washing and sanitizing processes. Current
research on washing and disinfection technologies for postharvest microgreens
preservation has evaluated chlorine at various concentrations (13,
27) and its combination with citric (28) or ascorbic acid (6,
20). However, sanitizers based on novel, environmentally friendly
technologies have not been widely explored for microgreens preservation. The
use of ozonated water to extend the postharvest shelf life of microgreens is a
promising approach that, to our knowledge, remains unexplored.
The objective of this study was to compare ozonated water with
conventional treatments and assess their effects on quality of radish
microgreens during postharvest storage. We measured quality parameters like
weight loss (%), electrolyte leakage (%), color change, aerobic mesophilic
bacterial counts, and mold and yeast counts.
Materials
and Methods
Plant
Material and Harvest
Radish (Raphanus
sativus L.) microgreens were cultivated in a growth chamber under
controlled temperature conditions (24 ± 2°C) with artificial LED lighting. The
seeds were sown in trays filled with a commercial substrate composed of peat,
coconut fiber, and perlite (Cocomix, Ing. Carluccio). Germination occurred in
the dark, after which the trays were exposed to light and irrigated daily with
tap water. The microgreens were harvested 12 days after sowing using
disinfected scissors.
Washing
Treatments, Storage, and Experimental Setup
Following harvest,
the microgreens were divided into four groups and subjected to the following
washing treatments: chlorinated water (100 mg L-¹
NaClO) (19, 27), ozonated water
(0.16 mg L-¹ O₃) (30), tap water, and an
unwashed control. Chlorinated water was prepared by dissolving commercial
bleach (58 g L-¹ Cl) in tap water.
Ozonated water was generated by introducing gaseous ozone through a gas
diffuser submerged in a container of tap water. Ozone was produced using an
ozone generator (Pura® HMB2), and its concentration was monitored with a pH/ORP
controller (Walfront Model PH-803W). Each group of microgreens was immersed in
its respective sanitizing solution for 5 minutes. For the chlorinated water
treatment, a subsequent 1-minute rinse with tap water was performed. After
washing, the microgreens were centrifuged for 3 minutes using a manual
centrifuge. Three replicates of 30 grams per treatment were stored in PET
plastic containers with lids. All treatments were kept refrigerated in the dark
at 8 ± 1°C for 12 days. Samples were collected on days 0, 6, and 12 of storage
to evaluate postharvest quality parameters.
Quality
Parameters
Weight Loss
The weight of each
container was recorded using an analytical balance (Denver APX-200) at the
beginning of storage (day 0) and during storage on days 2, 6, 8, and 12. Weight
loss was expressed as a percentage (%) of the initial weight, calculated by
determining the weight difference between the initial and final weights for
each evaluation day (21).
Electrolyte
Leakage
Electrolyte
leakage, an indicator of tissue deterioration, was assessed following the
procedure outlined by Xiao et al. (2014a), with
modifications. Three-gram samples were periodically collected from each
container and shaken with 90 mL of distilled water for 15 minutes. The
electrical conductivity of the solution (μS cm-¹) was measured using a
conductivity meter (Hanna HI 8733). Electrolyte leakage values were expressed
as a percentage of the total electrolyte content, which was determined using
the same procedure on a sample that had been previously frozen at -20°C for 24
hours and thawed at the time of measurement.
Color
Determination
Color changes were measured using an 8 mm-aperture colorimeter
(Konica Minolta Chroma Meter CR-400), which was calibrated to a standard white
tile (Y 93.5, x 0.3114, y 0.3190). The CIELAB color space coordinates were
recorded in quintuplicate for each sample on the transparent surface of the
container. Measurements were taken at random locations on each sample to obtain
color data from all parts of the microgreens, including both cotyledons and
stems. The parameters a* (redness/greenness), b* (yellowness/blueness), and L*
(lightness, ranging from 0 = black to 100 = white) were recorded (9). Hue Angle and
Chromaticity were calculated from the a* and b* values using the following
formulas:

The Hue Angle (h°)
denotes the color tone and is expressed on a circular scale, where 0°/360°
corresponds to red, 90° to yellow, 180° to green, and 270° to blue (29). Chromaticity
reflects the overall color intensity or saturation, with brighter colors (i.e.,
less white or black) exhibiting higher C* values.
Total
Aerobic Mesophilic Bacterial Count (AMB)
To assess microbial
quality, five-gram pooled samples per treatment were periodically taken in
sterile stomacher bags (BPS-750, Microclar) and homogenized for 5 minutes with
50 mL of sterile peptone water (3, 12). Serial dilutions
of these suspensions were plated in duplicate on Plate Count Agar. The plates
were incubated for 24 hours at 30°C, after which the colony-forming units
(CFUs) were counted. Results were expressed as log CFU g-¹ (19).
Total Yeast
and Mold Count (Y&M)
Using the same
suspensions described for the total aerobic mesophilic bacterial count, serial
dilutions were plated in duplicate on Potato Dextrose Agar. The plates were
incubated for 48 hours at 22°C, and the CFU count was subsequently performed.
Results were expressed as log CFU g-¹ (19,
27).
Statistical
Analysis
For each parameter
evaluated, three replicates were analyzed per treatment on each sampling day
during storage. Results were expressed as means ± standard deviation.
Statistical analyses were performed using Infostat V.2020 software. Data were
subjected to analysis of variance (ANOVA) with general and mixed linear models.
Mean values for treatments, as well as their interactions, were compared using
Duncan’s Multiple Range Test (DGC) (p ≤ 0.05).
Results
Weight
Loss
The weight of radish microgreens was influenced by storage time
in interaction with the washing treatments (table 1). Weight loss
reached approximately 0.97% by the end of the experiment (day 12).
Table 1. ANOVA
for weight loss, electrolyte leakage, lightness, chroma, hue angle, aerobic
mesophilic bacterial counts, and yeast and mold counts of radish microgreens
stored at 8°C for 12 days.
Tabla
1. ANOVA de la pérdida de peso,
pérdida de electrolitos, luminosidad, croma, ángulo de tono, recuento de
bacterias aerobias mesófilas y recuento de mohos y levaduras de
micro-hortalizas de rabanito almacenadas a 8°C durante 12 días.

NS,
*, and ** denote non-significant or significant effects at p ≤ 0.05, and p ≤
0.01, respectively.
WL:
weight loss, EL: electrolyte leakage, L*: lightness, C*: chroma, h°: hue angle,
AMB: aerobic mesophilic bacteria, Y&M: yeast and mold.
NS,
*, y ** indican efectos no significativos o significativos para p ≤ 0,05, y p ≤
0,01, respectivamente.
WL:
pérdida de peso, EL: pérdida de electrolitos, L*: luminosidad, C*: croma, h°:
ángulo de tono, AMB: bacterias aerobias mesófilas, Y&M: mohos y levaduras.
Significant differences in weight loss were observed among the
washing treatments only during the later stages of storage, starting from day 8
onwards (figure
1).
On days 8 and 12, weight loss in the ozone-treated and unwashed control was
significantly greater than in the chlorine and tap water treatments. The
differences between the unwashed/ozone treatments and the chlorine/tap water
treatments were 0.10% on day 8 and 0.17% on day 12.
Vertical
bars represent ± standard error. Significant differences between wash
treatments (within the same time point) according to DGC Test (p ≤ 0.05) are
indicated with different lowercase letters above the plots.
Las
barras verticales representan ± error estándar. Las diferencias significativas
entre los tratamientos de lavado (dentro del mismo día de muestreo) según la
Prueba DGC (p ≤ 0,05) se indican con letras minúsculas diferentes sobre los
gráficos.
Figure
1. Effect of the washing treatments on weight loss (%)
of radish microgreen during 8°C storage (n=3).
Figura
1. Efecto de los tratamientos de
lavado sobre la pérdida de peso (%) en micro-hortalizas de rabanito durante el
almacenamiento a 8°C (n=3).
Electrolyte
Leakage
Figure 2 and table 1, show the effect
of washing treatments * storage time on electrolyte leakage in radish
microgreens. All treatments exhibited a significant increase in electrolyte
leakage over time, which was visualized as an increased tissue wilting.
Moreover, electrolyte loss increased differentially depending on the treatment,
which is confirmed by the significant treatment × storage time (T × W)
interaction. Tap water resulted in higher leakage compared to chlorine, and
chlorine showed more leakage than ozone.
Vertical
bars represent ± standard error. Significant differences between wash
treatments (within the same time point) according to DGC Test (p ≤ 0.05) are
indicated with different lowercase letters above the plots.
Las
barras verticales representan ± error estándar. Las diferencias significativas
entre los tratamientos de lavado (dentro del mismo día de muestreo) según la
Prueba DGC (p ≤ 0,05) se indican con letras minúsculas diferentes sobre los
gráficos.
Figure
2. Effect of the washing treatments on electrolyte
leakage (%) of radish microgreen during 8°C storage (n=3).
Figura
2. Efecto de los tratamientos de
lavado sobre la pérdida de electrolitos (%) en micro-hortalizas de rabanito
durante el almacenamiento a 8°C (n=3).
The unwashed
control exhibited the lowest electrolyte loss compared to all washing
treatments, this difference becoming more pronounced as storage time
progressed.
Among the
treatments involving wetting, by the end of the storage period, ozone treatment
significantly reduced electrolyte leakage compared to chlorine and tap water.
Tap water treatment, which involved wetting without disinfection, resulted in
the greatest electrolyte loss compared to the other treatments.
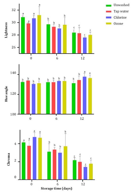
Color
Washing effects on color were evaluated by considering the
coordinates of lightness (L*), chroma (C*), and hue angle (h°) (table 1). No significant
effects of the washing treatments were observed for C* or h°. Storage time had
a significant effect on all three color parameters, with a significant
treatment × time interaction for h° (figure 3).
Vertical
bars represent ± standard error. Significant differences between wash
treatments (within the same time point) according to DGC Test (p ≤ 0.05) are
indicated with different lowercase letters above the plots.
Las
barras verticales representan ± error estándar. Las diferencias significativas
entre los tratamientos de lavado (dentro del mismo día de muestreo) según la
Prueba DGC (p ≤ 0,05) se indican con letras minúsculas diferentes sobre los
gráficos.
Figure
3. Effect of the washing treatments on color
coordinates of radish microgreen during 8°C storage (n=3).
Figura
3. Efecto de los tratamientos de
lavado sobre las coordenadas de color en micro-hortalizas de rabanito durante
el almacenamiento a 8°C (n=3).
Lightness values, regardless of
the treatment, decreased approximately 8% by the end of storage, from around 30
to 28.
Hue angles exhibited minimal variation under the tested
conditions. Significant increases in h° were only observed on day 12 in
microgreens washed with chlorine and ozone. However, this variation was less
than 3% and visually imperceptible (figure 4).
Figure
4. Image of radish microgreens subjected to different
washing treatments during 12 days of storage at 8±1°C.
Figura
4. Imagen de micro-hortalizas de
rabanito sometidas a diferentes tratamientos de lavados almacenadas a 8°C
durante 12 días.
Chroma values decreased
significantly in all samples as storage time progressed, from an average of 4.3
to 1.8. Chroma was the most affected color parameter by time, with a reduction
of over 50%.
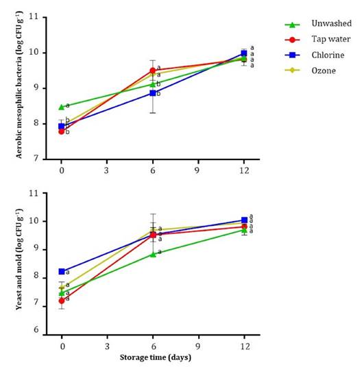
Total Aerobic Mesophilic
Bacterial Count (AMB)
Aerobic mesophilic bacterial
populations increased significantly over time for all sanitization treatments (table 1). However, a significant
interaction between treatment and storage time was observed (figure 5).
Vertical
bars represent ± standard error. Significant differences between wash
treatments (within the same time point) according to DGC Test (p ≤ 0.05) are
indicated with different lowercase letters above the plots.
Las
barras verticales representan ± error estándar. Las diferencias significativas
entre los tratamientos de lavado (dentro del mismo día de muestreo) según la
Prueba DGC (p ≤ 0,05) se indican con letras minúsculas diferentes sobre los
gráficos.
Figure
5. Effect of the washing treatments on aerobic
mesophilic bacteria and yeast & mold populations of radish microgreen
during 8°C storage (n=3).
Figura
5. Efecto de los tratamientos de
lavado sobre los recuentos de bacterias aerobias mesófilas y los mohos y levaduras
en micro-hortalizas de rabanito durante el almacenamiento a 8°C (n=3).
The unwashed control showed an initial bacterial load of 8.49
log CFU g-¹. All
washing treatments equally reduced aerobic mesophilic bacterial counts by
approximately 0.6 log CFU g-¹. After 6 days of storage, all samples showed
an increase in aerobic mesophilic bacteria counts, with the unwashed control
exhibiting the slowest growth rate (0.64 log CFU g-¹). By day 12, bacterial counts increased
significantly across all treatments. Treatments no longer differed
significantly from the unwashed control, however, the unwashed and chlorine
treatments showed higher growth rates.
Total Yeast and
Mold Count (Y&M)
Yeast and mold counts were
significantly affected by both storage time and washing treatment, although no
significant interaction between treatment and time was observed (table 1).
Regardless of the washing
treatment, yeast and mold counts increased significantly during storage.
Initial counts were approximately 7.65 log CFU g-¹, rising to 9.89 log CFU g-¹ by the end of storage (figure 5).
Regarding the effect of washing
treatment, tap water and unwashed control samples exhibited lower counts (8.76
log CFU g-¹) than
chlorine and ozonated water treatments (9.19 log CFU g-¹).
Discussion
This study
evaluated the effects of different washing treatments on quality and shelf life
of radish microgreens during refrigerated storage.
Regarding weight
loss, washing treatments showed no significant differences in weight loss until
later stages of storage, consistent with findings from other microgreens
storage studies (28). After day 8,
ozone and unwashed control treatments differed significantly from chlorine and
tap water in weight loss. However, the recorded values were low and practically
negligible for this parameter. Maximum mean weight loss observed at the end of
storage on day 12 was 0.97%. Although these values are lower than those
reported in other studies (10), similar results
were found in daikon radish microgreens stored in the dark (26). Our experiment
was conducted in a domestic refrigerator that remains dark when closed; thus,
the results suggest that dark storage may contribute to reducing weight loss.
By keeping the stomata closed, transpiration-induced weight loss may be
reduced. Therefore, it can be concluded that the postharvest treatments
evaluated in our study performed acceptably with respect to weight loss.
Electrolyte leakage
is a key indicator of cell membrane damage and subsequent tissue deterioration,
which can result from physiological stress or mechanical injury. It is closely
associated with postharvest shelf life, as it reflects the extent of senescence
in fresh-cut vegetables (10, 13, 15). In radish
microgreens, washing treatments significantly increased electrolyte leakage
over time. Furthermore, our results are consistent with several studies
reporting a sharp increase in electrolyte loss after approximately 6 to 8 days
of storage (10, 13, 17). The lower
electrolyte leakage observed in the unwashed control compared to the washing
treatments aligns with findings in the literature for microgreens (13). The high moisture
content in the packages due to washing likely promoted microbial growth, which
in turn contributed to tissue damage and increased electrolyte leakage. Among
the washing treatments, ozonated water resulted in the lowest electrolyte
leakage compared to chlorine and tap water, which agrees with similar studies
in lettuce (25). Electrolyte
leakage occurs when the integrity of the cell membrane is compromised, often
due to oxidation of the phospholipids and unsaturated fatty acids that
constitute the membrane. Both chlorine and ozone are oxidizing agents, with
ozone being the stronger oxidizer of the two (24). Despite its
higher oxidizing potential, ozone at 0.16 ppm caused less tissue damage than
chlorine at 100 ppm. The lower ozone concentration may explain the reduced wilting
compared to standard chlorine disinfection.
Sample visual
appearance was analyzed by measuring surface color during storage, serving as
an indicator of senescence progression. The washing treatments showed no effect
on hue angle or chromaticity, aligning with previous studies indicating that
disinfectants typically do not alter color (6,
7, 25). In this regard, it is crucial that treatments applied to
extend the shelf life of vegetables do not negatively affect their visual
quality.
The lightness (L*)
values observed were consistent with those reported in other studies on radish
microgreens (16). The decrease in
L* over time, reflected by tissue darkening, was likely caused by browning (6).
Hue angle values
were observed within the 90° to 180° quadrant, indicating yellow to green
colors. The h° increases on day 12 in chlorine- and ozone-washed microgreens
indicate a shift toward a green-blue hue with reduced yellow. Yellowing due to
chlorophyll degradation is a common phenomenon during storage (6,
26). The observed shift from green to blue in our study may be
attributed to an incipient browning process. Browning is generally caused by
the oxidation of phenolic compounds, leading to the formation of brown pigments
such as melanin (10). Given that both
chlorine and ozone are oxidizing agents (25), the color change
observed may signal the onset of oxidation.
Chroma (C*), which
reflects the saturation or intensity of color (16,
26), decreased significantly over time, suggesting a loss of color
intensity during postharvest storage. Similar effects have been reported in
microgreens of other species, where a general reduction in chromaticity during
storage is associated with browning (10).
Regarding the
populations of aerobic mesophilic bacteria, differences in the effect of
washing treatments were observed depending on storage time. The initial
population in the unwashed control was high, typical of leafy vegetables, and
slightly above levels reported for other microgreen species (6,
13). Nonetheless, all washing treatments were effective in reducing
the bacterial load. Notably, ozonated water at 0.16 ppm was as effective in
reducing bacterial counts as chlorine. This result is consistent with studies
demonstrating the efficacy of ozonated water on other vegetables, such as
fresh-cut celery, cilantro, and broccoli (7,
24, 30). The bacterial rebound after 6 days in washed samples, matching
or exceeding unwashed control, aligns with findings from other microgreen
studies (27). Washing treatments may promote
microbial growth due to residual moisture and tissue damage from postharvest
handling (2, 13, 14, 23, 27). Therefore, if any
washing treatment were to be applied for ready-to-eat microgreens, it would be
advisable to consume them before 6 days of storage. This recommendation aligns
with current safety standards for fresh-cut salads, which suggest a shelf life
of 5 to 7 days (22).
The initial yeast
and mold counts were comparable to those reported in other microgreen species (14,
27, 28). In contrast to the findings for aerobic mesophilic bacteria
(AMB), none of the washing treatments reduced the initial Y&M populations
compared to the unwashed control. Specifically, chlorine disinfection has been
reported to exhibit intermediate sensitivity to yeasts and strong resistance to
mold spores. Additionally, bacteria are generally more sensitive to ozone than
yeasts and fungi (8). Lower counts in
the unwashed control suggest that soaking microgreens, even with sanitizers,
may be ineffective against fungal growth. These results are consistent with
several studies indicating that washing treatments for microgreens can hinder
effective decontamination. Such treatments can compromise product quality and
potentially lead to microbial growth rebounds, that exceed those observed in
unwashed samples (2, 13, 14, 23, 27).
Conclusions
This study
evaluated the effect of aqueous ozone disinfection on the postharvest quality
and shelf life of radish microgreens. The results demonstrate that ozonated
water at 0.16 ppm was effective in preserving the microgreens during storage at
8°C. The initial load of aerobic mesophilic microorganisms was reduced without
altering weight, color, or causing substantial wilting compared to other
treatments. Based on these findings, ozone treatment is proposed as a viable
alternative for the postharvest preservation of ready-to-eat radish
microgreens. In this sense, it would be interesting to further evaluate the
effects of different ozone concentrations to determine the optimal dose.
However, given that microgreens have low tolerance to washing
processes, it is essential to develop dry disinfection technologies to extend
their shelf life. In light of this, further research is needed to explore the
potential of gaseous ozone as an alternative disinfection method for
microgreens.
Acknowledgements
This research was supported by Proyecto SIIP 2022 06/A007T1
UNCuyo, Proyecto PIP 2021 736 CONICET, and Proyecto PICT 2019 03278 Préstamo
BID.
1. Ali, A.; Yeoh, W. K.; Forney, C. & Siddiqui, M. W. 2017.
Advances in postharvest technologies to extend the storage life of minimally
processed fruits and vegetables. Critical Reviews in Food Science and
Nutrition. 58(15): 2632-2649. https://doi.org/10.1080/10408398.2017.13 39180
2. Ali, S.; Nawaz,
A.; Naz, S.; Ejaz, S.; Hussain, S.; Anwar, R. 2022. Decontamination of
Microgreens. In: Shah, M.A., Mir, S.A. (eds) Microbial Decontamination of Food.
https://doi. org/10.1007/978-981-19-5114-5_6
3. Baenas, N.;
Gómez-Jodar, I.; Moreno, D. A.; García-Viguera, C. & Periago, P. M. 2017.
Broccoli and radish sprouts are safe and rich in bioactive phytochemicals.
Postharvest Biology and Technology. 127: 60-67.
http://dx.doi.org/10.1016/j.postharvbio.2017.01.010
4. Botondi, R.;
Barone, M. & Grasso, C. 2021. A review into the effectiveness of ozone
technology for improving the safety and preserving the quality of fresh-cut
fruits and vegetables. Foods. 10(4): 748. https://doi.org/10.3390/foods10040748
5. Casajús, V.;
Perini, M.; Ramos, R.; Lourenco, A. B.; Salinas, C.; Sánchez, E.; Fanello, D.;
Civello, P.; Frezza, D. & Martínez, G. 2021. Harvesting at the end of the
day extends postharvest life of kale (Brassica oleracea var. sabellica).
Scientia Horticulturae. 276: 109757. https://doi. org/10.1016/j.scienta.2020.109757
6. Chandra, D.;
Kim, J. G.; Kim, Y. P. 2012. Changes in microbial population and quality of
microgreens treated with different sanitizers and packaging films.
Horticulture, Environment, and Biotechnology. 53(1): 32-40. https://doi.org/10.1007/s13580-012-0075-6
7. Das, B. K.; Kim,
J. G. 2010. Microbial quality and safety of fresh-cut broccoli with different
sanitizers and contact times. Journal of Microbiology and Biotechnology. 20(2):
363-369. https:// doi.org/10.4014/jmb.0907.07009
8. Deng, L. Z.;
Mujumdar, A. S.; Pan, Z.; Vidyarthi, S. K.; Xu, J.; Zielinska, M. & Xiao,
H. W. 2019. Emerging chemical and physical disinfection technologies of fruits
and vegetables: a comprehensive review. Critical Reviews in Food Science and Nutrition.
60(15): 2481-2508. https://doi.or g/10.1080/10408398.2019.1649633
9. Di Rienzo J. A.;
Casanoves F.; Balzarini M. G.; Gonzalez, L.; Tablada, M.; Robledo, C. W.
InfoStat versión 2020. Centro de Transferencia InfoStat. FCA. Universidad
Nacional de Córdoba. Argentina. URL http://www.infostat.com.ar
10. Ghoora, M. D.;
Srividya, N. 2020. Effect of packaging and coating technique on postharvest
quality and shelf life of Raphanus sativus L. and Hibiscus sabdariffa
L. microgreens. Foods. 9(5): 653. https://doi.org/10.3390/foods9050653
11. Huyskens-Keil,
S.; Hassenberg, K.; Herppich, W. B. 2012. Impact of postharvest UV-C and ozone
treatment on textural properties of white asparagus (Asparagus officinalis L.).
Journal of Applied Botany and Food Quality. 84(2): 229.
12. Işık, H.;
Topalcengiz, Z.; Güner, S. & Aksoy, A. 2020. Generic and Shiga
toxin-producing Escherichia coli (O157:H7) contamination of lettuce and
radish microgreens grown in peat moss and perlite. Food Control. 111: 107079.
https://doi.org/10.1016/j.foodcont.2019.107079
13. Kou, L.; Luo,
Y.; Yang, T.; Xiao, Z.; Turner, E. R.; Lester, G. E.; Wang, Q. 2013.
Postharvest biology, quality and shelf-life of buckwheat microgreens. LWT-Food
Science and Technology. 51(1): 73-78. https://doi.org/10.1016/j.lwt.2012.11.017
14. Kou, L.; Yang,
T.; Liu, X.; Luo, Y. 2015. Effects of Pre-and Postharvest Calcium Treatments on
Shelf Life and Postharvest Quality of Broccoli Microgreens. HortScience horts.
50(12): 1801-1808. https://doi.org/10.21273/HORTSCI.50.12.1801
15. Kyriacou, M.
C.; Rouphael, Y.; Di Gioia, F.; Kyratzis, A.; Serio, F.; Renna, M.; De Pascale,
S.; Santamaria, P. 2016. Micro-scale vegetable production and the rise of
microgreens. Trends in Food Science & Technology. 57(Part A): 103-115.
https://doi.org/10.1016/j.tifs.2016.09.005
16. Kyriacou, M.;
El-Nakhel, C.; Graziani, G.; Pannico, A.; Soteriou, G. A.; Giordano, M.;
Ritieni, A.; De Pascale, S.; Rouphael, Y. 2019. Functional quality in novel
food sources: Genotypic variation in the nutritive and phytochemical
composition of thirteen microgreens species. Food Chemistry. 227: 107-118.
https://doi.org/10.1016/j.foodchem.2018.10.098.
17. Lu, Y.; Dong,
W.; Yang, T.; Luo, Y.; Chen, P. 2021. Preharvest UVB application increases
glucosinolate contents and enhances postharvest quality of broccoli
microgreens. Molecules. 26(11): 3247. https://doi.org/10.3390/molecules26113247
18. Mersinli, E.;
Koyuncu, M. A.; Erbaş, D. 2021. Quality retention of minimally processed
spinach using low-dose ozonated water during storage. Turkish Journal of
Agriculture and Forestry. 45(2): 133-143. https://doi.org/10.3906/tar-2004-75
19. Paradiso, V.
M.; Castellino, M.; Renna, M.; Gattullo, C. E.; Calasso, M.; Terzano, R.;
Allegretta, I.; Leoni, B.; Caponio, F.; Santamaria, P. 2018. Nutritional
characterization and shelf-life of packaged microgreens. Food & function.
9(11): 5629-5640. https://doi.org/10.1039/ C8FO01182F
20. Patil, M.;
Sharma, S.; Sridhar, K.; Anurag, R. K.; Grover, K.; Dharni, K.; Mahajan, S.;
Sharma, M. 2024. Effect of postharvest treatments and storage temperature on
the physiological, nutritional, and shelf-life of broccoli (Brassica
oleracea) microgreens. Scientia Horticulturae. 327: 112805.
https://doi.org/10.1016/j.scienta.2023.112805
21. Paulsen, E.;
Barrios, S.; Baenas, N.; Moreno, D. A.; Heinzen, H.; Lema, P. 2018. Effect of
temperature on glucosinolate content and shelf life of ready-to-eat broccoli
florets packaged in passive modified atmosphere. Postharvest Biology and
Technology. 138: 125-133. https://doi. org/10.1016/j.postharvbio.2018.01.006
22. Sarron, E.; Gadonna-Widehem, P.; Aussenac, T. 2021. Ozone
treatments for preserving fresh vegetables quality: A critical review. Foods.
10(3): 605. https://doi.org/10.3390/ foods10030605
23. Turner, E. R.;
Luo, Y.; Buchanan, R. L. 2020. Microgreen nutrition, food safety, and shelf
life: A review. Journal of food science. 85(4): 870-882.
https://doi.org/10.1111/1750- 3841.15049
24. Wang, H.; Feng,
H.; Luo, Y. 2004. Microbial reduction and storage quality of fresh-cut cilantro
washed with acidic electrolyzed water and aqueous ozone. Food Research
International. 37(10): 949-956. https://doi.org/10.1016/j.foodres.2004.06.004
25. Wang, J.; Wang,
S.; Sun, Y.; Li, C.; Li, Y.; Zhang, Q. & Wu, Z. 2019. Reduction of Escherichia
coli O157: H7 and naturally present microbes on fresh-cut lettuce using
lactic acid and aqueous ozone. RSC advances. 9(39): 22636-22643.
https://doi.org/10.1039/C9RA03544C
26. Xiao, Z.;
Lester, G. E.; Luo, Y.; Xie, Z. K.; Yu, L. L. & Wang, Q. 2014a. Effect of
light exposure on sensorial quality, concentrations of bioactive compounds and
antioxidant capacity of radish microgreens during low temperature storage. Food
chemistry. 151: 472-479. https://doi. org/10.1016/j.foodchem.2013.11.086
27. Xiao, Z.; Luo,
Y.; Lester, G. E.; Kou, L.; Yang, T.; Wang, Q. 2014b. Postharvest quality and
shelf life of radish microgreens as impacted by storage temperature, packaging
film, and chlorine wash treatment. LWT - Food Science and Technology. 55(2):
551-558. http://doi.org/10.1016/j. lwt.2013.09.009
28. Yan, H.; Li,
W.; Chen, H.; Liao, Q.; Xia, M.; Wu, D.; Liu, C.; Chen, J.; Zou, L.; Peng, L.;
Zhao, G.; Zhao, J. 2022. Effects of storage temperature, packaging material and
wash treatment on quality and shelf life of Tartary buckwheat microgreens.
Foods. 11(22): 3630. https://doi. org/10.3390/foods11223630
29. Zappia, A.; De
Bruno, A.; Torino, R.; Piscopo, A.; Poiana, M. 2018. Influence of light
exposure during cold storage of minimally processed vegetables (Valeriana sp.).
Journal of Food Quality. 2018(1): 4694793. https://doi.org/10.1155/2018/4694793
30. Zhang, L.; Lu, Z.; Yu, Z. & Gao, X. 2005. Preservation
of fresh-cut celery by treatment of ozonated water. Food control. 16(3):
279-283. https://doi.org/10.1016/j.foodcont.2004.03.007