Revista de la Facultad de Ciencias Agrarias. Universidad Nacional de Cuyo. Tomo 57(2). ISSN (en línea) 1853-8665. Año 2025.

Original article

 

The Native Dryland PGPR ‘Pseudomonas 42P4’ Promotes Adventitious Rooting in Woody Cuttings of Vitis spp.

La PGPR nativa de zonas áridas ‘Pseudomonas 42P4’ promueve la fomación de raíces adventicias en estacas leñosas de Vitis spp.

 

Maria Gabriela Gordillo1,

Ana Carmen Cohen1, 2,

Fanny Colombo3,

Carina Verónica González1, 2*

 

1Universidad Nacional de Cuyo. Facultad de Ciencias Agrarias. Instituto de Biología Agrícola de Mendoza (IBAM-CONICET). Almirante Brown 500. Chacras de Coria. M5528AHB. Mendoza. Argentina.

2Universidad Nacional de Cuyo. Facultad de Ciencias Agrarias. Almirante Brown 500. Chacras de Coria. M5528AHB. Mendoza. Argentina.

3Trapiche Winery. Calle Nueva Mayorga s/n. Maipú. Mendoza. Argentina. CPA: M5513

 

*cgonzalez@fca.uncu.edu.ar

 

Abstract

This study evaluated the effect of two native PGPR strains from an arid region (Mendoza, Argentina) on the rooting of woody cuttings of Vitis spp. These strains are known for their growth-promoting capacity, including auxin production. Dormant V. vinifera cv. Malbec cuttings were grafted onto four rootstocks - 1103 Paulsen, 110 Richter, 101-14 MGt and SO4. Then, basal ends of these grafted cuttings and own rooted controls were incubated for 12 h in solutions of (1) Pseudomonas 42P4 at 107 CFU mL-1, (2) Enterobacter 64S1 at 107 CFU mL-1, (3) autoclaved LB medium, (4) water, and (5) a quick-dip immersion of Indole-3-butyric acid (IBA). After treatment, the cuttings were placed in a forcing chamber at 28°C and relative humidity ~100% for 21 days. Rooting parameters and scion-rootstock union percentages were recorded. Pseudomonas 42P4 significantly promoted rooting in Malbec own-rooted cuttings. However, Enterobacter 64S1 had negative or null effects. Furthermore, Pseudomonas 42P4 enhanced rooting in Malbec grafted onto 1103 Paulsen, but not on 101-14 MGt, 110 Richter or SO4. This strain also improved graft union success on SO4, but did not affect the other rootstocks. These results suggest that a dryland native strain such as Pseudomonas 42P4 could sustainably enhance the quality of both own-rooted and grafted grapevine plants in commercial nurseries.

Keywords: PGPR, grapevine rootstock, Malbec, rooting, graft union, nursery

 

Resumen

El objetivo de este estudio fue evaluar el efecto de dos cepas PGPR nativas de zonas áridas (Mendoza, Argentina) con capacidad promotora del crecimiento (que producen auxinas) sobre el enraizamiento de estacas leñosas de Vitis spp. La base de las estacas de Vitis vinifera cv. Malbec, tanto francas como injertadas sobre cuatro portainjertos:1103 Paulsen, 110 Richter, 101-14 MGt y SO4, se incubaron durante 12 h en soluciones de 1) Pseudomonas 42P4 y 2) Enterobacter 64S1 107 UFC mL-1, 3) medio LB autoclavado, 4) agua y 5) una inmersión rápida de ácido indol-3-butírico (IBA). Posteriormente, las estacas se colocaron en una cámara de forzadura a 28°C y humedad relativa ~100% durante 21 d. Se midieron diferentes parámetros de enraizamiento y el porcentaje de unión del injerto. Los resultados mostraron que Pseudomonas 42P4, pero no Enterobacter 64S1 promovió el enraizamiento, de forma similar a IBA en estacas de Malbec. La cepa Pseudomonas 42P4 también promovió el enraizamiento de estacas injertadas sobre 1103 Paulsen, pero no sobre 101-14, 110 Richter y SO4. Además, Pseudomonas promovió la unión del injerto en SO4, pero no en 110 Richter, 1103 Paulsen y 101-14. Estos resultados sugieren que una cepa nativa de zonas áridas podría utilizarse como una herramienta sustentable para mejorar la calidad de plantas francas e injertadas de vid.

Palabras clave: PGPR, portainjertos de vid, Malbec, enraizamiento, unión del injerto, vivero

 

Originales: Recepción: 16/04/2025 - Aceptación: 06/07/2025

 

 

Introduction

 

 

A significant portion of worldwide agricultural land (45%) is dryland. Climate change (CC) threatens agroecosystems, causing detrimental effects on crop productivity (Berdugo et al., 2020; Burrel et al., 2020). Viticulture covers 7.3 million hectares of the world, with over 60% of grapes produced in drylands (OIV 2023; Flexas et al., 2010). Argentina ranks seventh, with the largest cultivated vineyard area globally. This country mainly develops irrigated viticulture in drylands (OIV 2023, INV 2023).

Grapevines are clonally propagated through one-year woody cuttings. Grafted or ungrafted woody cuttings are forced under high relative humidity (RH) and ± 27°C to stimulate adventitious root formation and scion-rootstock healing (in grafted plants). External factors (temperature, humidity, substrate aeration) and internal factors (carbohydrate reserves, hormones, and genotype) influence these processes (Hartmann et al., 2014).

Rootstocks exhibit resistance to pathogens and diseases, and confer tolerance to abiotic stresses (Hartmann et al., 2014; Ollat et al., 2016, Keller, 2020, D’Innocenzo et al., 2024). V. vinifera cultivars are generally grafted onto American Vitis spp. hybrid rootstocks due to their resistance to phylloxera (Mudge et al., 2009). Grafting is essential in most European wine-growing regions. However, outside Europe, vineyards can be planted with own-rooted V. vinifera plants.

One main problem in grapevine propagation is the differential rooting capacity of rootstocks. Rootstocks 110 Richter (110 R) and Selection Oppenheim 4 (SO4) are recalcitrant to form adventitious roots. This differs from other widely used grapevine rootstocks like 1103 Paulsen (1103 P) and 101-14 Millardet et de Grasset (101-14 MGt), which induce more root development (Keller, 2020). Low rooting capacity causes significant economic losses to nurseries. Additionally, scion-rootstock interaction plays a crucial role in rooting. The scion may affect root dry weight per woody cutting (Tandonnet et al., 2009), as the scion-rootstock union simultaneously occurs with rooting, depending on cutting reserves.

Auxins are the main phytohormones in adventitious root production of woody cuttings (Burnoni et al., 2022), though their effect varies among genotypes. For example, indole-3-butyric acid (IBA), a primary synthetic auxin used for grapevine rooting (Machado et al., 2005), promotes rooting in woody cutting of 110 R, SO4 and 101-14 MGt (Gordillo et al., 2022; Satisha et al., 2008). In contrast, IBA may promote (Satisha et al., 2008; Daskalakis et al., 2018) or not (Boeno et al., 2023; Gordillo et al., 2022) rooting of 1103 P woody cuttings. However, synthetic agrochemicals are progressively being excluded as organic and agroecological agriculture gains attention (Centeno et al., 2008).

Plant Growth-Promoting Rhizobacteria (PGPR) are plant symbiotic bacteria that colonize the rhizosphere and produce indole acetic acid (IAA)-type auxins (Glick et al., 2012; Pantoja Guerra et al., 2023). Some PGPR strains promote rooting of difficult-to-root rootstocks, while others have no effect (Isçi et al., 2019; Toffanin et al., 2016). Our group isolated and characterized two PGPR strains from Mendoza´s arid soils of Argentina. Pseudomonas 42P4 (42P4) and Enterobacter 64S1 (64S1) produce IAA (Pérez-Rodríguez et al., 2020a) and promote seedling growth of Solanum lycopersicum (Pérez-Rodríguez et al., 2022) and Capsicum annuum seedlings (Lobato Ureche et al., 2021), alleviate saline stress in tomato (Pérez-Rodríguez et al., 2022), and increase drought tolerance in Arabidopsis thaliana plants (Jofré et al., 2024). Furthermore, Pseudomonas 42P4 enhances tomato growth, yield and fruit quality under field conditions (Pérez-Rodríguez et al., 2020b). Both strains also exhibit biocontrol activity, inhibiting tomato and pepper crop diseases (unpublished data). Native strains easily adapt to edaphic conditions, resist local environmental stresses, and are more successful when inoculated into the plant rhizosphere.

PGPR improve rooting and survival of young plants of various species. However, few studies report PGPR´s effect on woody plant production or grapevine woody cuttings, specifically (Bartolini et al., 2017; Köse et al., 2003, 2005; Tofanin et al., 2016). Currently, exploring sustainable tools is imperative, especially given global warming threats, particularly challenging in drylands.

Therefore, this work evaluated the effect of two native PGPR strains from Mendoza’s arid soils, Pseudomonas 42P4 and Enterobacter 64S1, on adventitious root production of the Argentinean emblematic cultivar: Malbec, and the four most widespread rootstocks in global viticulture and Argentine arid areas: SO4, 110 R, 1103 P, and 101-14 MGt (Riaz et al., 2019). These strains, adapted to arid soils, could constitute a sustainable alternative for synthetic agrochemicals in grapevine propagation.

 

 

Materials and Methods

 

 

Bacterial Culture

 

 

Pseudomonas 42P4 (42P4) and Enterobacter 64S1 (64S1) were collected, isolated and characterized by the Plant Physiology and Microbiology Group (IBAM- FCA, CONICET-UNCuyo, Mendoza, Argentina). The partial 16S rRNA sequence of both strains was deposited in GenBank under accession numbers MT045993.1 and MT047267, respectively (Pérez-Rodríguez et al., 2020a). Inocula were prepared in 1 L Erlenmeyer Flask with 400 mL of Luria Broth (LB) culture medium (10 g Peptone, 5 g Yeast Extract, 5 g NaCl in 1 L of bidistilled H2O). Bacteria were cultured in an orbital shaker at 120 rpm and 32°C for 24 h. Strain concentration was estimated by optical density at 540 nm in a spectrophotometer according to Pérez-Rodriguez et al. (2020a). From these cultures, a dilution to 107 colony-forming units (CFU) mL–1 was prepared for each strain in PBS (phosphate buffer saline).

 

 

Plant Material, Inoculation and Rooting Conditions

 

 

Two experiments were conducted in the grapevine nursery of Grupo Peñaflor S.A. (Trapiche Winery), located in Santa Rosa, Mendoza, Argentina (33°15‘39.4” S 68°07’48.9” W). The first experiment was conducted during the 2020 season (September-October) and the second, in 2021. Cuttings (length: 40 cm and diameter: 9 mm) were collected in winter and stored at 4°C until experiment initiation.

In the first experiment, we tested different doses of Pseudomonas 42P4 and Enterobacter 64S1 on the rooting capacity of V. vinifera cv. Malbec woody cuttings. Before forcing, we applied five treatments: (1) 30-second quick immersion in 1000 ppm IBA solution (Gordillo et al. 2022); or 12-hour incubation in solutions of: (2) Pseudomonas 42P4 at 107 CFU mL-1, (3) Enterobacter 64S1 at 107 CFU mL-1, (4) autoclaved LB, and (5) tap water (control treatment) on the base (1.5 cm) of 50 woody cuttings per treatment.

In a second experiment, we evaluated Pseudomonas 42P4 on the rooting of Malbec cuttings (with 2 buds and approximately 5 cm long) grafted onto cuttings of 101-14 MGt (V. riparia × V. rupestris), SO4 (V. berlandieri × V. riparia), 1103 Paulsen, and 110 Richter (V. berlandieri × V. rupestris), with 5 buds (approximately 35 cm long and 9 mm in diameter). We used an Omega grafting machine (Fornasier Cesare & C., Italy). Each grafted cutting was 40 cm long. The grafting zone was covered with a commercial initiation wax (Guerowax Crecimiento 78, Guerola Industries, Spain) to prevent dehydration and diseases during forcing. Before forcing we applied the following treatments: (1) a 30-second quick immersion at 750 ppm IBA (Gordillo et al. 2022), and 12-hour incubations with: (2) Pseudomonas 42P4 at 107 CFU mL-1, (3) autoclaved LB, and (4) tap water (control) on the base (1.5 cm) of 50 grafted cuttings per treatment.

Subsequently, in both experiments, cuttings were horizontally placed in plastic boxes with peat (KEKKILÄ professional, https://www.kekkilaprofessional.com/). Then, cuttings were forced and maintained for 21 days at 28°C and 100% RH.

The experimental design was a completely randomized design, considering each cutting as an experimental unit.

 

 

Morphological Parameters

 

 

Treatment effect was evaluated by callus and rooting percentages, followed by root number and biomass (g) per cutting. Rooting percentage is the percentage of cuttings that produced at least one root. Callus percentage was visually determined as the proportion of the cutting base occupied by callus (0-25, 25-50, 50-75, and 75-100%). Root biomass was determined as dry weight (DW) of all adventitious roots from a cutting, oven-dried at 60°C to constant weight. In grafted cuttings, the percentage of scion-rootstock union was visually determined as well (0-25, 25-50, 50-75, and 75-100%).

 

 

Statistical Analysis

 

 

Statistical analyses were performed using the InfoStat P 2020v software (Di Rienzo et al., 2020). Rooting, callus and graft union percentages, along with root number and biomass, were analysed with Generalized Linear Models. A binomial distribution was used for the first three parameters and the Poisson distribution for the fourth. Root biomass was first tested for ANOVA assumptions (using Shapiro-Wilks test for normality and Levene test for homoscedasticity). Different letters indicate significant differences among treatments according to the post-hoc test DGC (α = 0.05). Data visualization was conducted in R (R Core Team, 2024) and the ggplot2 package (Wickham, 2016).

 

 

Results

 

 

Own-rooted Malbec cuttings

 

 

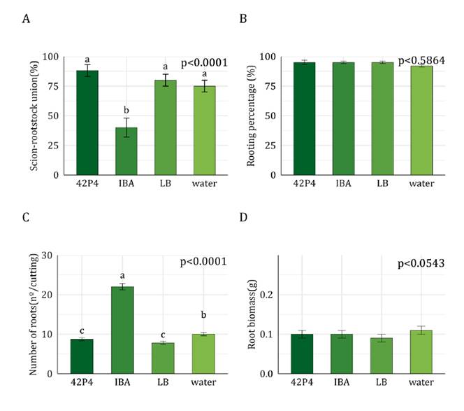
Basal callus percentage on Malbec was similar among treatments (>75%, p > 0.05) (figure 1A). Pseudomonas 42P4 and IBA 1000 ppm increased rooting percentage (>80%), compared to autoclaved LB and water treatments (70%). However, Enterobacter 64S1 decreased rooting percentage (25%) compared to water (figure 1B). The number of roots per cutting was similar in cuttings incubated with 42P4 and IBA (~ 6 roots per cutting), and higher than in the remaining treatments (~ 4 roots per cutting) (figure 1C). Root biomass per cutting was 30% higher in cuttings incubated in IBA than in 42P4. The remaining treatments yielded lower biomass (figure 1D). Pseudomonas 42P4 promoted three of the four rooting parameters compared to the water control: rooting percentage, number of roots per cutting, and root biomass. In contrast, the native Enterobacter 64S1 strain did not promote any evaluated parameter.

Based on these results, we assessed the ability of the native Pseudomonas 42P4 strain (but not Enterobacter) to promote rooting and graft union of Malbec cuttings grafted onto four grapevine rootstocks.

 

A) Callus percentage, B) Rooting percentage, C) Number of roots per cutting, and D) Root biomass per cutting.

Values correspond to adjusted means ± SEM (n=50). Data were analysed with General or Generalized Mixed Linear Models. Different letters indicate significant differences among treatments according to the post-hoc test DGC (α = 0.05).

42P4: Pseudomonas 42P4, 64S1: Enterobacter 64S1, IBA: Indole-3-butyric acid, LB: Luria Broth culture medium, water: tap water.

A) Porcentaje de callo, B) Porcentaje de enraizamiento, C) Número de raíces por estaca y D) Biomasa de raíces por estaca.

Los valores corresponden a las medias ajustadas ± EE (n=50). Los datos fueron analizados mediante Modelos Lineales Mixtos Generales o Generalizados. Letras diferentes indican diferencias significativas entre tratamientos según el test post-hoc DGC (α = 0,05).

42P4: Pseudomonas 42P4, 64S1: Enterobacter 64S1, IBA: ácido indol-3-butírico, LB: medio de cultivo Luria Broth, water: agua de red.

Figure 1. Own-rooted Malbec cuttings.

Figura 1. Estacas de Malbec a pie franco.

 

 

Grafted Cuttings

 

 

1103 Paulsen

 

 

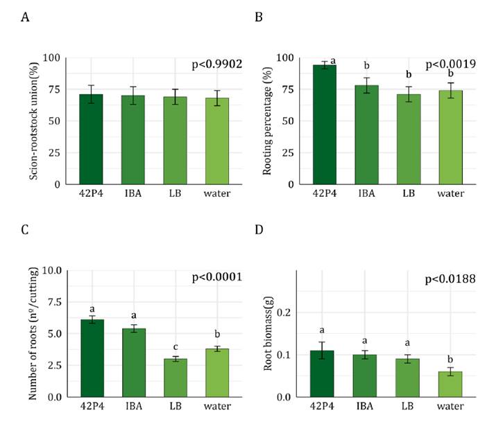
The graft union percentage (~75%) between Malbec and 1103 P rootstock, and callus percentage (~100%, p > 0.05, data not shown) were unaffected by treatments (figure 2A). Rooting percentage was higher (~90%) in cuttings incubated with Pseudomonas 42P4 (figure 2B) than in other treatments (~75%). The number of roots per cutting was duplicated in 42P4 and IBA treatments than in the controls (water and LB) (figure 2C). However, root biomass was 10% higher in cuttings incubated with 42P4 and IBA compared to the other treatments (figure 2D). Pseudomonas 42P4 promoted a 15% increase in rooting percentage compared to IBA, while matching root number and biomass results to this hormone treatment.

 

A) Scion-rootstock union percentage, B) Rooting percentage, C) Number of roots per cutting, and D) Root biomass per cutting. Values correspond to adjusted means ± SEM (n=50). Data were analysed with General or Generalized Linear Models. Different letters indicate significant differences between treatments according to the post-hoc test DGC (α = 0.05). 42P4: Pseudomonas 42P4, 64S1: Enterobacter 64S1, IBA: Indole-3-butyric acid, LB: Luria Broth culture medium, water: tap water.

A) Porcentaje de unión entre la púa y el portainjerto, B) Porcentaje de enraizamiento, C) Número de raíces por estaca y D) Biomasa de raíces por estaca. Los valores corresponden a las medias ajustadas ± EE (n=50). Los datos fueron analizados mediante Modelos Lineales Mixtos Generales o Generalizados. Letras diferentes indican diferencias significativas entre tratamientos según el test post-hoc DGC (α = 0,05). 42P4: Pseudomonas 42P4, 64S1: Enterobacter 64S1, IBA: ácido indol-3-butírico, LB: medio de cultivo Luria Broth, water: agua de red.

Figure 2. Rootstock 1103 Paulsen.

Figura 2. Portainjerto 1103 Paulsen.

 

 

101-14 MGt

 

 

The scion-rootstock union percentage between Malbec and 101-14 MGt rootstock decreased by 25% when cuttings were incubated with IBA compared to the other treatments (figure 3A). Callus percentage (~100%, p>0.05) (data not shown), rooting percentage (~100%), and root biomass of 101-14 MGt were not affected by the treatments (figure 3B and 3D). The IBA treatment increased the number of roots per cutting (20 roots per cutting) compared to the water control (10 roots per cutting) (figure 3C), while 42P4 and LB treatments decreased this variable to 7 roots per cutting compared to the water control. Inoculation of 101-14 rootstock cuttings with the 42P4 native strain did not promote rooting or graft union.

 

A) Scion-rootstock union percentage, B) Rooting percentage, C) Number of roots per cutting, and D) Root biomass per cutting. Values correspond to adjusted means ± SEM (n=50). Data were analyzed with General or Generalized Linear Models. Different letters indicate significant differences between treatments according to the post-hoc test DGC (α = 0.05). 42P4: Pseudomonas 42P4, 64S1: Enterobacter 64S1, IBA: Indole-3-butyric acid, LB: Luria Broth culture medium, water: tap water.

A) Porcentaje de unión entre la púa y el portainjerto, B) Porcentaje de enraizamiento, C) Número de raíces por estaca y D) Biomasa de raíces por estaca. Los valores corresponden a las medias ajustadas ± EE (n=50). Los datos fueron analizados mediante Modelos Lineales Mixtos Generales o Generalizados. Letras diferentes indican diferencias significativas entre tratamientos según el test post-hoc DGC (α = 0,05). 42P4: Pseudomonas 42P4, 64S1: Enterobacter 64S1, IBA: ácido indol-3-butírico, LB: medio de cultivo Luria Broth, water: agua de red.

Figure 3. Rootstock 101-14 MGt.

Figura 3. Portainjerto 101-14 MGt.

 

 

110 Richter

 

 

Graft union percentage between Malbec and 110 R rootstock was higher in autoclaved LB compared to the other treatments (figure 4A). However, callus percentage (~100%, p > 0.05, data not shown), rooting percentage (~75%), and root biomass per cutting were similar among treatments (figure 4B and 4D). Root number per cutting was higher in cuttings incubated with IBA (4 roots per cutting) than in other treatments (2.5 roots per cutting) (figure 4C). Pseudomonas 42P4 did not promote rooting or graft union of 110 R.

 

A) Scion-rootstock union percentage, B) Rooting percentage, C) Number of roots per cutting, and D) Root biomass per cutting. Values correspond to adjusted means ± SEM, n=50. Data were analysed with General or Generalized Linear Models. Different letters indicate significant differences between treatments according to the post-hoc test DGC (α = 0.05). 42P4: Pseudomonas 42P4, 64S1: Enterobacter 64S1, IBA: Indole-3-butyric acid, LB: Luria Broth culture medium, water: tap water.

A) Porcentaje de unión entre la púa y el portainjerto, B) Porcentaje de enraizamiento, C) Número de raíces por estaca y D) Biomasa de raíces por estaca. Los valores corresponden a las medias ajustadas ± EE (n=50). Los datos fueron analizados mediante Modelos Lineales Mixtos Generales o Generalizados. Letras diferentes indican diferencias significativas entre tratamientos según el test post-hoc DGC (α = 0,05). 42P4: Pseudomonas 42P4, 64S1: Enterobacter 64S1, IBA: ácido indol-3-butírico, LB: medio de cultivo Luria Broth, water: agua de red.

Figure 4. Rootstock 110 Richter.

Figura 4. Portainjerto 110 Richter.

 

 

SO4

 

 

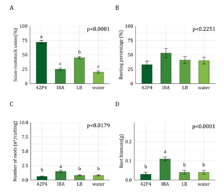
Union percentage between Malbec and SO4 was higher in cuttings incubated with 42P4 compared to the other treatments (50% higher than IBA and water, and 25% higher than the LB treatment) (figure 5A). Callus percentage (~80%, p>0.05) and rooting percentage (40%) of the SO4 rootstock were similar among treatments (figure 5B). Root number and biomass per cutting were higher in cuttings incubated with IBA than in other treatments (figure 5C and 5D). Pseudomonas 42P4 did not promote rooting but increased scion-rootstock union percentages.

 

A) Scion-rootstock union percentage, B) Rooting percentage, C) Number of roots per cutting, and D) Root biomass per cutting. Values correspond to adjusted means ± SEM (n=50). Data were analysed with General or Generalized Linear Models. Different letters indicate significant differences between treatments according to the post-hoc test DGC (α = 0.05). 42P4: Pseudomonas 42P4, 64S1: Enterobacter 64S1, IBA: Indole-3-butyric acid, LB: Luria Broth culture medium, water: tap water.

A) Porcentaje de unión entre la púa y el portainjerto, B) Porcentaje de enraizamiento, C) Número de raíces por estaca y D) Biomasa de raíces por estaca. Los valores corresponden a las medias ajustadas ± EE (n=50). Los datos fueron analizados mediante Modelos Lineales Mixtos Generales o Generalizados. Letras diferentes indican diferencias significativas entre tratamientos según el test post-hoc DGC (α = 0,05). 42P4: Pseudomonas 42P4, 64S1: Enterobacter 64S1, IBA: ácido indol-3-butírico, LB: medio de cultivo Luria Broth, water: agua de red.

Figure 5. Rootstock SO4.

Figura 5. Portainjerto SO4.

 

 

Discussion

 

 

This study is the first to report applications of native PGPR strains from drylands in grapevine propagation. We found that a Pseudomonas PGPR can improve rooting in vine woody cuttings. We evaluated the ability of two native PGPR from arid zones, Pseudomonas 42P4 and Enterobacter 64S1, to stimulate rooting of ungrafted and grafted Vitis woody cuttings. Concerning Malbec’s rooting, Pseudomonas 42P4 improved rooting compared to the control, matching IBA results (figure 1, and figure 6).

 

Chart sectors show the evaluated variables: rooting percentage, number of roots, and root biomass per cutting. Green indicates significant promotion of the parameter compared to the water control. Red indicates lower values, and yellow indicates no significant differences among means. 42P4: Pseudomonas 42P4, 64S1: Enterobacter 64S1, IBA: indole-3-butiric acid, water: tap water.

Los sectores del gráfico muestran las variables evaluadas: porcentaje de enraizamiento, número de raíces y biomasa de raíces por estaca. El color verde indica que el tratamiento promovió significativamente el parámetro en comparación con el control con agua; el color rojo indica una disminución en los valores observados, y el color amarillo indica que no hubo diferencias significativas entre las medias. 42P4: Pseudomonas 42P4, 64S1: Enterobacter 64S1, IBA: ácido indol-3-butírico, wáter: agua de red.

Figure 6. Malbec. Coloured rings represent the treatments (water, IBA, 42P4, and 64S1).

Figura 6. Malbec. El gráfico representa a los tratamientos (agua, IBA, 42P4 y 64S1) como anillos.

 

Conversely, Enterobacter 64S1 failed to promote rooting of Malbec cuttings. Concerning grafted material, Pseudomonas 42P4’s promoted rooting and graft union in a rootstock-dependent fashion, enhancing rooting in 1103 Paulsen, but not affecting the other rootstocks (figure 2, figure 3, figure 4, figure 5 and figure 7).

Optimal auxin concentrations stimulate adventitious rooting, while higher concentrations are inhibitory (Garay-Arroyo et al., 2014). The root-promoting effect of Pseudomonas 42P4 on Malbec own-rooted woody cuttings could be attributed to IAA production by this bacterium (Perez-Rodriguez et al., 2020a).

 

Each chart represents a treatment (water, IBA, 42P4) as rings. Chart sectors show the evaluated variables rooting percentage, number of roots, and root biomass per cutting. Green indicates significant promotion of the parameter compared to the water treatment; red indicates lower values, and yellow indicates no significant differences among means. 42P4: Pseudomonas 42P4, IBA: indole-3-butiric acid, water: tap water.

Cada gráfico representa los tratamientos (agua, IBA, 42P4) como anillos. Los sectores del gráfico muestran las variables evaluadas: porcentaje de enraizamiento, número de raíces y biomasa de raíces por estaca. El color verde indica que el tratamiento promovió significativamente el parámetro en comparación con el tratamiento con agua; el color rojo indica una disminución en los valores observados, y el color amarillo indica que no hubo diferencias significativas entre las medias. 42P4: Pseudomonas 42P4, IBA: ácido indol-3-butírico, wáter: agua de red.

Figure 7. Rootstocks A) 1103 Paulsen, B) 101-14 MGt, C) 110 Richter and D) SO4.

Figura 7. Portainjertos A) 1103 Paulsen, B) 101-14 MGt, C) 110 Richter y D) SO4.

 

However, as Enterobacter produces an in vitro higher concentration of auxins than Pseudomonas 42P4 (six times more) (Perez-Rodriguez et al., 2020a), an excessive concentration of IAA may have led to an inhibitory effect. Considering this, we had previously tested lower Enterobacter dilutions (104, 105 and 106 CFU mL-1) and observed no rooting promotion. Another plausible explanation is the plant recognizing Enterobacter as a pathogen. However, this would indicate a species-specific response. In this regard, we previously reported Enterobacter promoted growth in pepper and tomato (Perez-Rodriguez et al., 2020a; Lobato Ureche et al., 2021).

Rooting capacity varied with rootstock (Keller 2020; Ollat et al., 2016). We found that 101-14 MGt showed the highest rooting compared with the control treatment, followed by 1103 P and 110R, while SO4 had the lowest rooting (figure 2, figure 3, figure 4, and figure 5). SO4 (Berlandieri-Riparia family), 1103 P (Berlandieri-Rupestris family), and 110R (Berlandieri-Rupestris family) were expected to have lower rooting capacity than 101-14 MGt (Riparia-Rupestris family), because they are hybrids of V. berlandieri, an American difficult-to-root Vitis species (Keller et al., 2020; Riaz et al., 2019). Cuttings of 1103 P incubated with Pseudomonas 42P4 showed increased rooting compared to the control. Additionally, rooting percentage was 15% higher than with the synthetic rooting agent IBA, which only promoted two of the four assessed parameters. However, contrasting reports exist regarding IBA’s effectiveness in 1103 P (Boeno et al., 2023; Daskalakis et al., 2018; Gordillo et al., 2022; Satisha et al., 2008). Rooting of 110 R, 101-14, and SO4 cuttings inoculated with Pseudomonas showed no significant improvements compared to the control. Isçi et al. (2019) evaluated a commercial bacteria consortium on Ramsey rootstock after nursery forcing, successfully increasing rooting percentage and root DW compared to IBA. Rootstock response to Pseudomonas 42P4 and IBA treatments may depend on genetic diversity and the presence of inhibitors (Wilson and Van Staden, 1990).

Scion-rootstock union percentage in SO4 cuttings inoculated with Pseudomonas 42P4 was threefold higher than in water or with IBA (75% vs. 25%). This result aligns with Köse et al. (2005), who reported that Pseudomonas BA8 promoted graft union of the Italia and Beyaz Çavuş scions onto 41B and 5BB rootstocks. Similarly, Toffanin et al. (2016) evaluated the effect of inoculating nine rootstock cuttings with Azospirillum brasilense Sp245 and found improved union only in 1103 P grafted onto Sangiovese. Likewise, A. brasilense Sp245 only improved the union of Colorino grafted onto 420A (Bartolini et al., 2017). Our native Pseudomonas’ failure to improve graft union in three out of the four evaluated rootstocks could be explained by impaired polar auxin transport. Auxins may not have moved towards the rootstock-scion union, but rather accumulate at the cutting’s basal end, probably given its genetic origin. V. riparia and V. berlandieri develop callus on both extremities, while V. rupestris predominantly forms it on the upper extremity (Galet, 1993).

Considering the Vitis genus cuttings lack preformed root primordia, adventitious root formation is a prerequisite for successful cutting propagation (Hartmann et al., 2014). Once cuttings are removed from the plant (wounding), a series of wound responses occur, and de novo adventitious root generation proceeds. De novo adventitious rooting involves four stages: cell dedifferentiation (possibly medullary rays in grapevine), cell proliferation, development and organization of root primordia, and growth of root primordia (Hartmann et al., 2014). In early rooting stages, high auxin concentrations either from buds or exogenous sources like IAA are necessary for dedifferentiation and cell proliferation (Hartmann et al., 2014; Jarvis, 1986). Under our conditions, the native Pseudomonas synthetised and exuded IAA into the medium where bacteria had grown and cuttings were incubated. Although we do not know whether the strains can colonise cuttings endophytically or epiphytically, we believe bacteria may have produced IAA in the medium, promoting rooting. Currently, IBA and NAA are the most commonly used auxins in nurseries (Waite et al., 2014). Synthetic growth regulators often excessively used, can be sufficiently replaced by organic products for plant rooting, at least for some species and varieties (Atak et al., 2024). However, further investigation should consider the mechanisms underlying bacterium-plant interaction between Pseudomonas 42P4 and Vitis spp. and long-term effects.

 

 

Conclusions

 

 

Pseudomonas 42P4, but not Enterobacter 64S1 promoted rooting (rooting percentage, root number and biomass per cutting) of Malbec cuttings reaching similar values as IBA 1000 ppm. Furthermore, this strain increased 1103 P rooting (rooting percentage, root number and biomass per cutting), compared to the water treatment, but. This was not observed in 101-14 MGt, 110 R or SO4. In 1103 P, this strain increased rooting percentage, exceeding IBA treatment. Pseudomonas 42P4 also increased SO4 graft union threefold compared to IBA and water. The use of this bacterium, native to arid soils, enhances rooting parameters of ungrafted and grafted V. vinifera cv. Malbec cuttings. This capacity of Pseudomonas 42P4 presents a promising sustainable alternative for improving grapevine production in commercial nurseries.

 

Acknowledgements

The authors would like to thank Diana Segura, Micaela Perez-Rodriguez, Martín López, Walter Tulle and Carlos Blanquer for their assistance with morphological measurements.

This study was supported through funding from Fondo para la Investigación Científica y Tecnológica de Argentina (FONCYT, PICT 2020-3618 to ACC); Universidad Nacional de Cuyo (SIIP-UNCUYO M021-T1 to CVG and ACC), Fundación Williams (to ACC) and CONICET (PIP-KA1 11220210100195CO to ACC and CVG).

ACC and CVG are CONICET researchers and UNCUYO Professors, MGG is a PhD fellow from CONICET and FC is a member of Trapiche winery staff.

 

References

Atak, A. (2024). Climate change and adaptive strategies on viticulture (Vitis spp.). Open Agriculture, 9, 1-16. https://doi.org/10.1515/opag-2022-0258

Bartolini, S., Carrozza, G., Scalabrelli, G., & Toffanin, A. (2017). Effectiveness of Azospirillum brasilense Sp245 on young plants of Vitis vinifera L. Open Life Sciences, 12, 365-372. https://doi. org/10.1515/biol-2017-0042

Berdugo, M., Delgado-Baquerizo, M., Soliveres, S., Hernandez-Clemente, R., Zhao, Y., Gaitan, JJ, Gross, N., Saiz, H., Maire, V., & Lehmann, A. (2020). Global ecosystem thresholds driven by aridity. Science, 367, 787-790. https://doi.org/10.1126/science.aay5958

Boeno, D., & Zuffellato-Ribas, KC. (2023). A quantitative assessment of factors affecting the rooting of grapevine rootstocks (Vitis vinifera L.). Acta Scientiarum Agronomy, 45. https://doi. org/10.4025/actasciagron.v45i1.57987

Brunoni, F., Vielba, JN, & Sanchez, C. (2022). Plant growth regulators in tree rooting. Plants, 11(6), 805. https://doi.org/10.3390/plants11060805

Burrel, AL, Evans, JP, & De Kauwe, MG. (2020). Anthropogenic climate change has driven over 5 million km2 of drylands towards desertification. Nature Communications, 11, 3853. https://doi. org/10.1038/s41467-020-17710-7

Centeno, A., & Gómez del Campo, M. (2008). Effect of root-promoting products in the propagation of organic olive (Olea europaea L. cv. Cornicabra). HortScience, 43(7), 2066-2069. https:// doi.org/10.21273/HORTSCI.43.7.2066

Daskalakis, I., Biniari, K., Bouza, D., & Stavrakaki, M. (2018). The effect that indolebutyric acid (IBA) and position of cane segment have on the rooting of cuttings from grapevine rootstocks and from Cabernet Franc (Vitis vinifera L.) under conditions of a hydroponic culture system. Scientia Horticulturae, 227, 79-84. https://doi.org/10.1016/j.scienta.2017.09.024

D’Innocenzo, SH, Escoriaza, G, Diaz, ME. (2024). First report of the causal agent of vine crown gall in Mendoza, Argentina. Revista de la Facultad de Ciencias Agrarias. Universidad Nacional de Cuyo. Mendoza. Argentina. 56(2): 87-96. DOI: https://doi.org/10.48162/rev.39.139

Di Rienzo, JA, Casanoves, F., Balzarini, MG, Gonzalez, L., Tablada, M., & Robledo, CW. (2020). InfoStat 2020/P. https://www.infostat.com.ar/

Flexas, J., Galmés, J., Gallé, A., Gulías, J., Pou, A., Ribas-Carbó, M., Tomas, M., & Medrano, H. (2010). Improving water use efficiency in grapevines: Potential physiological targets for biotechnological improvement. Australian Journal of Grape and Wine Research, 16, 106 121. https://doi.org/10.1111/j.1755-0238.2009.00057.x

Galet, P. (1993). Précis de viticulture. Dehan Ed.

Garay-Arroyo, A., de La Paz Sánchez, M., García-Ponce, B., Álvarez-Buylla, ER & Gutiérrez, C. (2014). La homeostasis de las auxinas y su importancia. Revista de Educación Bioquímica, 33(1), 13-22.

Glick, BR. (2012). Plant growth-promoting bacteria: Mechanisms and applications. Scientifica, 2012, 963401. https://doi.org/10.6064/2012/963401

Gordillo, MG, Cohen, AC, Roge, M., Belmonte, M., & González, CV. (2022). Effect of quick-dip with increasing doses of IBA on rooting of five grapevine rootstocks grafted with ‘Cabernet Sauvignon’. Vitis, 61(3), 147-152. http://dx.doi.org/10.5073/vitis.2022.61.147-152

Hartmann, HT, Kester, DE, Davies, FT, Jr., & Geneve, RL. (2014). Plant propagation: Principles and practices (8th ed.). Pearson.

Instituto Nacional de Vitivinicultura. (2023). Superficie cultivada con viñedos en Argentina. https:// www.argentina.gob.ar/inv/vinos/estadisticas

Isçi, B., Kacar, E., & Altindisli, A. (2019). Effects of IBA and plant growth-promoting rhizobacteria (PGPR) on rooting of ramsey american grapevine rootstock. Applied Ecology and Environmental Research, 17(2), 4693-4705. http://dx.doi.org/10.15666/aeer/1702_46934705

Jarvis, BC. (1986). Endogenous control of adventitious rooting in non-woody species. En M. B. Jackson (Ed.), New root formation in plants and cuttings (p. 137-162). Martinus Nijhoff Publishers. https://doi.org/10.1007/978-94-009-4358-2_6

Jofré, MF, Mammana, S., Pérez-Rodríguez, MM, Silva, MF, Gómez, F., & Cohen, AC. (2024). Native rhizobacteria improve drought tolerance in tomato plants by increasing endogenous melatonin levels and photosynthetic efficiency. Scientia Horticulturae, 329, 112984. http://dx.doi.org/10.1016/j.scienta.2024.112984

Keller, M. (2020). The science of grapevines (3rd ed.). Elsevier. https://doi.org/10.1016/B978-0-12- 816365-8.00001-4

Köse, C., Güleryüz, M., Şahin, F., & Demirtaş, İ. (2003). Effects of some plant growth promoting rhizobacteria (PGPR) on rooting of grapevine rootstocks. Acta Agrobotanica, 56(1), 47-52. https://doi.org/10.5586/aa.2003.005

Köse, C., Güleryüz, M., Şahin, F., & Demirtaş, İ. (2005). Effects of some plant growth promoting rhizobacteria (PGPR) on graft union of grapevine. Journal of Sustainable Agriculture, 26(2), 139-147. https://doi.org/10.1300/J064v26n02_10

Lobato Ureche, MA, Perez-Rodriguez, MM, Ortiz, R., Monasterio, RP, & Cohen, AC. (2021). Rhizobacteria improve the germination and modify the phenolic compound profile of pepper (Capsicum annuum L.). Rhizosphere, 18, 100334. https://doi.org/10.1016/j. rhisph.2021.100334

Machado, MP, Mayer, JLS, Ritter, M., & Biasi, LA. (2005). Indole butyric acid on rooting ability of semihardwood cutting of grapevine rootstock ‘VR 043-43’ (Vitis vinifera x Vitis rotundifolia). Revista Brasileira de Fruticultura, 27(3), 476-479. https://doi.org/10.1590/S0100-29452005000300032

Mudge, K., Janick, J., Scofield, S., & Goldschmidt, EE. (2009). A history of grafting. Horticultural Reviews, 35, 437-483. https://doi.org/10.1002/9780470593776.CH9

OIV (International Organization of Vine and Wine). (2023). State of the world vine and wine sector. https://www.oiv.int/node

Ollat, N., Bordenave, L., Tandonnet, JP, Boursiquot, JM, & Marguerit, E. (2016). Grapevine rootstocks: Origins and perspectives. Acta Horticulturae, 1136, 11-22. https://doi.org/10.17660/ ActaHortic.2016.1136.2

Pantoja Guerra, M., Valero Valero, N., & Ramírez, CA. (2023). Total auxin level in the soil-plant system as a modulating factor for the effectiveness of PGPR inocula: A review. Chemical and Biological Technologies in Agriculture, 10, 6. https://doi.org/10.1186/s40538-022-00370-8

Pérez-Rodríguez, MM, Piccoli, P., Anzuay, MS., Baraldi, R., Neri, L., Taurian, T., Lobato Ureche, MA, Segura, DM, & Cohen, AC. (2020a). Native bacteria isolated from roots and rhizosphere of Solanum lycopersicum L. increase tomato seedling growth under a reduced fertilization regime. Scientific Reports, 10, 1-14. https://doi.org/10.1038/s41598-020-72507-4

Pérez-Rodríguez, MM, Pontin, M., Lipinski, V., Botini, R., Piccoli, P., & Cohen, AC. (2020b). Pseudomonas fluorescens and Azospirillum brasilense increase yield and fruit quality of tomato under field conditions. Journal of Soil Science and Plant Nutrition, 20(3), 1614-1624. https://doi. org/10.1007/s42729-020-00233-x

Pérez-Rodríguez, MM, Pontin, M., Piccoli, P., Lobato Ureche, MA, Gordillo, MG, Funes Pinter, I., & Cohen, AC. (2022). Halotolerant native bacteria Enterobacter 64S1 and Pseudomonas 42P4 alleviate saline stress in tomato plants. Physiologia Plantarum, 174(1), 13472. https://doi. org/10.1111/ppl.13742

R Core Team. (2024). R: A language and environment for statistical computing. R Foundation for Statistical Computing. https://www.R-project.org/

Riaz, S., Pap, D., Uretsky, J., Laucou, V., Boursiquot, JM, & Kocsis, L. (2019). Genetic diversity and parentage analysis of grape rootstocks. Theoretical and Applied Genetics, 132(6), 1847-1860. https:// doi.org/10.1007/s00122-019-03320-5

Satisha, J., & Asdule, PG. (2008). Rooting behaviour of grape rootstocks in relation to IBA concentration and biochemical constituents of mother vines. Acta Horticulturae, 785, 121-125. https:// doi.org/10.17660/ActaHortic.2008.785.14

Tandonnet, JP, Cookson, SJ, Vivin, P., & Ollat, N. (2009). Scion genotype controls biomass allocation and root development in grafted grapevine: Scion/rootstock interactions in grapevine. Australian Journal of Grape and Wine Research, 16(1), 290-300. https://doi.org/10.1111/ j.1755-0238.2009.00090.x

Toffanin, A., D’Onofrio, C., Carroza, GP, & Scalabrelli, G. (2016). Use of beneficial bacteria Azospirillum brasilense Sp245 on grapevine rootstocks grafted with ‘Sangiovese’. Acta Horticulturae, 1136, 24. https://doi.org/10.17660/ActaHortic.2016.1136.24

Waite, H., Whitelaw-Weckert, M., & Torley, P. (2014). Grapevine propagation: Principles and methods for the production of high-quality grapevine planting material. New Zealand Journal of Crop and Horticultural Science, 43(2), 144-161. https://doi.org/10.1080/01140671.201 4.978340

Wickham, H. (2016). ggplot2: Elegant graphics for data analysis. Springer-Verlag. https://ggplot2. tidyverse.org

Wilson, PJ, & Van Staden, J. (1990). Rhizocaline, rooting co-factors, and the concept of promoters and inhibitors of adventitious rooting - A review. Annals of Botany, 66(4), 479-490. https://doi. org/10.1093/oxfordjournals.aob.a088051