Evaluation of territorial sustainability in intermediate cities. Study applied to the city of Río Cuarto (Prov. de Córdoba- Argentina)
María de los Angeles Galfioni, Gabriela I. Maldonado y Américo J. Degioanni
mgalfioni@hum.unrc.edu.ar, gimaldonado@hum.unrc.edu.ar, adegioanni@ayv.unrc.edu.ar
Universidad Nacional de Río Cuarto, Prov. de Córdoba, Argentina
Enviado 16/12/2019 – Aceptado 13/05/2020
Galfioni, María de los Angeles; Maldonado, Gabriela I. y. Degioanni, Américo J. (2020). “Evaluación de la sostenibilidad territorial en ciudades intermedias. Estudio aplicado a la ciudad de Río Cuarto (Prov. de Córdoba- Argentina).” En Proyección: estudios geográficos y de ordenamiento territorial. Vol. XIV, (27). ISSN 1852 -0006, (pp. 26 - 56). Instituto CIFOT, Universidad Nacional de Cuyo.Mendoza.
Resumen
A partir de 1980 se comienza a evidenciar en la ciudad de Río Cuarto un alto consumo de suelo en la periferia y un aumento de la superficie edificada en altura en el área núcleo tradicional, incrementado así la demanda de suelo para urbanizar. Dicho crecimiento de rasgos similares a un modelo de tipo difuso y fragmentado, ha generado a su vez la aparición y profundización de desequilibrios territoriales. Ante esta situación, surge la necesidad de contribuir con alguna herramienta que ayude a la identificación de problemáticas, potencialidades y limitaciones que presenta la actual dinámica urbana, como aporte a la planificación y gestión en el marco de un Desarrollo Territorial Sostenible.
Así, el presente trabajo tiene como objetivo general identificar un conjunto de indicadores que permitan evaluar la sostenibilidad territorial de los escenarios derivados de los procesos de crecimiento urbano, tomando como estudio de caso la ciudad de Río Cuarto.
Para la consecución del objetivo, se parte de la explicitación del procedimiento realizado para la definición de las variables de análisis e indicadores seleccionados, para la posterior construcción y cálculo del Índice de Sostenibilidad Territorial (IST) por radio censal y la interpretación de los resultados obtenidos.
Palabras claves: expansión urbana difusa / desequilibrios territoriales / indicadores de sostenibilidad territorial
Abstract
As of 1980, a high consumption of land on the periphery and an increase in the area built in height in the traditional core area began to be evident in the city of Río Cuarto, resulting in an increase in the demand for land to urbanize, which results in a type of diffuse and fragmented growth, concomitant to the emergence and deepening of territorial imbalances. Given this situation, there is a need to contribute with some tool that helps to identify problems, potentials and limitations presented by the current urban dynamics, as a contribution to planning and management within the framework of Sustainable Territorial Development.
Thus, the present work has as a general objective to identify a set of indicators that allow evaluating the territorial sustainability of the scenarios derived from the processes of urban growth, taking as a case study the city of Río Cuarto.
In order to achieve the objective, it is based on the explanation of the procedure performed for the definition of the objectives, the analysis variables and selected indicators, for the subsequent construction and calculation of the Territorial Sustainability Index (IST) by census radius and the interpretation of the results obtained.
Keywords:
diffuse urban expansion / territorial imbalances/
territorial sustainability indicators
Introducción
Según un informe de la Population Reference Bureu a cargo de Torrey (2004), la población urbana se está triplicando en todo el mundo en las últimas décadas. Por lo tanto, en los próximos años más de la mitad de la población del planeta vivirá en áreas urbanas. Dicho proceso, estrechamente vinculado con la reestructuración económica global iniciada durante el cuarto del siglo XX, no sólo puede considerarse como un proceso demográfico en el que los espacios urbanos pasaron a convertirse en puntos geoestratégicos de atracción de los excedentes de población, sino también como un proceso económico, en el cual se hacen presentes la inversión de capitales que generan diferentes lógicas de apropiación y uso del espacio.
En este sentido, a partir de la década de los ‘70 y acentuándose hacia principios de los ´90, comienza una discusión en torno a las formas de expansión de las metrópolis hacia un modelo difuso, caracterizado por un consumo creciente de suelo, con una baja densidad poblacional. Asimismo, comienza a evidenciarse un proceso de suburbanización residencial -con predominio de viviendas familiares- y de descentralización de los sectores terciarios e industriales hacia la periferia, lo que contribuye a la difuminación de los límites entre lo urbano-rural (Azcárate Luxán et al., 2008; Buzai, 2006; Dematteis, 1998; Janoschka, 2002), encontrando rasgos de comportamiento diferenciales según las realidades urbanas que se traten.
Dichos rasgos tendenciales de crecimiento han generado en los grandes centros urbanos diversos problemas, sobre todo en lo referente a la demanda de suelo-vivienda, la cobertura de los servicios públicos y la presión sobre los componentes del medio físico. Todo lo anterior, acontece conjuntamente a un crecimiento acelerado de ciudades intermedias, con un impacto significativo en la reconfiguración de los territorios a nivel interurbano e intraurbano. Ambas tendencias han generado una creciente preocupación en torno a las condiciones e implicancias que éstas conllevan con relación a la sostenibilidad territorial y a la calidad de vida de sus habitantes (Ministerio de Planificación Federal, Inversión Pública y Servicios, 2011).
A partir de este análisis y diagnóstico sobre las actuales tendencias de crecimiento urbano que se están dando a nivel mundial, se ha encontrado cierto grado de familiaridad con los eventos emergentes en la ciudad de Río Cuarto (provincia de Córdoba) en la actualidad. Dicha ciudad, de categoría intermedia por su tamaño poblacional y función de proveedora de bienes y servicios al ámbito interurbano y regional, ha experimentado a partir de 1980 una profundización de los rasgos propios de un crecimiento urbano de tipo difuso, con un alto consumo de suelo en la periferia e incremento de la superficie edificada en altura en el área núcleo tradicional (micro y macrocentro), lo que derivó en el aumento de la demanda de suelo para urbanizar, tanto urbano como rural, generando la aparición y profundización de desequilibrios territoriales. Ante esta situación, se reconoce la necesidad de la construcción de un sistema de indicadores que permita monitorear y evaluar los rasgos tendenciales de crecimiento de las actuales dinámicas urbanas que sirva de herramienta a la planificación y gestión de las ciudades en el marco de un Desarrollo Territorial Sostenible.
Dentro de los antecedentes referentes al tema se han evidenciado desde los años ‘70 diferentes iniciativas de organismos supranacionales, gubernamentales y académicos en el desarrollo de sistemas de indicadores para evaluar los avances y retrocesos de los aspectos vinculados a la sostenibilidad en los espacios urbanos. Entre los mismos podemos nombrar: el sistema de indicadores urbanos propuesto por la Conferencia sobre Asentamientos Humanos, que favoreció al desarrollo del Programa de Indicadores Urbanos y que tuvo como objetivo establecer a escala mundial una Red de Observatorios Urbanos que permita la evaluación y control de la implementación de los Programas Hábitat y Agenda 21 (UNCHS/HABITAT, 1997, 1999 y 2000); a su vez, la Organización para la Cooperación y el Desarrollo Económicos (OCDE) (1978, 1990, 1993, 1997, 2000 y 2001) ha aplicado el modelo PER –Presión, Estado y Respuesta- y ha definido trece áreas de indicadores, entre las cuales una de ellas se refiere al fenómeno ambiental urbano como área de interés especial; también se destaca el Proyecto Ecociudades (Gaffron, et al., 2008a y b), que define una serie de requisitos a contemplar para generar ciudades sostenibles. Para España, además del sistema de indicadores ambientales urbanos diseñado por el Ministerio del Medio Ambiente –MMA- (1996 y 2000), se destacan los sistemas de indicadores desarrollados para el nivel de regiones en Cataluña (Rueda Palenzuela, 1999), Andalucía (Consejería de Medio Ambiente de Andalucía, 2001) y el País Vasco (Consejería de Medio Ambiente, 2003). En América Latina, es de importancia resaltar las experiencias de Chile (Loyola Gómez y Rivas Maldonado, 2010; Rojas Quezada et al., 2011) y Colombia (Velázquez, 2001) como procesos avanzados en la definición de sistemas de indicadores de desarrollo sostenible. A nivel nacional, contamos con los antecedentes desarrollados por el Primer Observatorio Urbano Local - Buenos Aires Metropolitana (OUL-BAM) y el Observatorio Urbano Córdoba (OUC) de la Universidad Nacional de Córdoba. Este último ha sido puesto en marcha en el año 2004 a partir de la iniciativa de un conjunto de unidades académicas de dicha Universidad, cuyo foco de análisis está centrado en la ciudad de Córdoba y su entorno metropolitano. Ambos forman parte de la red de Observatorios Urbanos de la ONU-HABITAT- para impulsar el proceso de desarrollo urbano sostenible. A todo esto se le suma la propuesta de la Iniciativa de Ciudades Emergentes y Sostenibles (ICES) llevada a cabo por el Banco Interamericano de Desarrollo (BID) por primera vez en el año 2011, alcanzando ya su implementación en 40 ciudades de América Latina y el Caribe, entre ellas algunas ciudades de nuestro país (Zulaica y Tomadoni 2015; Cantar y Zulaica, 2017). A través de la mencionada propuesta se ofrece a las ciudades un diagnóstico a partir de un sistema de indicadores y un plan con acciones concretas destinadas a afrontar los problemas identificados en la actualidad.
Todos los indicadores mencionados en los párrafos anteriores se desarrollan desde una visión de Ciudad Sostenible fundamentada en un modelo de ciudad compacta o antidispersas, la cual plantea cambios en la estructura física de las ciudades, focalizados en su densificación, que permitan una mayor cohesión socioespacial frente a un modelo de ciudad difusa en la cual se prioriza la extensión y fragmentación del espacio. Si bien estos indicadores asumen un valor estratégico como herramienta para evaluar las limitaciones, potencialidades y problemáticas de los centros urbanos en el marco de un Desarrollo Sostenible, los mismos suelen presentar ciertas restricciones en lo que respecta a la dificultad para obtenerlos o medirlos o bien presentan escasas perspectivas para ser aplicados en otros espacios, desestimando las trayectorias territoriales de cada realidad urbana, las cuales deben de considerarse si se quiere lograr una evaluación que refleje las verdaderas demandas de la ciudad y de quienes habitan en ella.
Desde esta perspectiva y a partir de la revisión de las diferentes iniciativas de sistemas de indicadores a nivel mundial y regional, el objetivo general del presente artículo es identificar un conjunto de indicadores que permitan evaluar la sostenibilidad territorial de los escenarios derivados de los procesos de crecimiento urbano aplicado a un estudio de caso específico, la ciudad de Río Cuarto.
El trabajo se estructura en cuatro apartados. En primer lugar, se realiza una aproximación conceptual sobre los rasgos tendenciales de crecimiento urbano a escala mundial y regional, los desequilibrios territoriales derivados de dicho proceso y los objetivos a considerar en el marco de un Desarrollo Territorial Sostenible. En segundo lugar, se realiza una caracterización de los rasgos tendenciales de crecimiento urbano y de los primeros indicios de insostenibilidad territorial derivados de dicho proceso en la ciudad de Río Cuarto. En tercer lugar, se expone el procedimiento realizado para la definición de las variables de análisis e indicadores seleccionados para la construcción del Índice de Sostenibilidad Territorial (IST) por radio censal. En tercer lugar, con la presentación de los resultados obtenidos a partir de la aplicación de la herramienta a un estudio de caso. El escrito finaliza con un apartado dedicado a las conclusiones.
Procesos de urbanización y sostenibilidad territorial
Las formas y contenidos que asumen los espacios urbanos, y su evolución histórica, constituyen algunas de las variables a analizar con el fin reconocer las características de las formas de expresión territorial del proceso de urbanización. A su vez, indagar en cómo se articulan la dinámica social y natural en el marco de las tendencias de urbanización se convierte en un camino ineludible para comprender las articulaciones/desarticulaciones que se imprimen en los espacios urbanos y que pueden derivar en su (in)sostenibilidad territorial.
El territorio como constructo histórico-social sintetiza una articulación entre lo que denominamos naturaleza (transformada) y sociedad. En este sentido, en el marco de esta articulación sociedad-naturaleza se genera un modo de uso, por parte de la sociedad, de las existencias presentes en la naturaleza en un contexto económico, político, tecnológico y sociocultural determinado. En coincidencia con las ideas de Gutman (1985), la mencionada articulación es resultado de la modalidad de apropiación y uso mediado por técnicas que, cuando derivan en transformaciones que generan impactos negativos sobre ciertos sectores de la ciudad, contribuyen a la generación de disputas que pueden tomar la forma de conflicto social.
Con relación a las formas y contenidos que asumen las ciudades latinoamericanas, Borsdorf (2003) señala que la tendencia en el contexto actual se asemeja a un modelo de ciudad difusa y fragmentada. Este modelo tiene sus antecedentes en la década del ‘50 en Norteamérica y de los ‘80 en Europa, el cual comienza a ponerse en discusión ante el cambio en las pautas de localización de la población y de las actividades sobre el espacio, dando lugar a la creación de diferentes neologismos para describir dicho fenómeno.
Las distintas denominaciones generadas sobre las nuevas formas-contenidos y las dinámicas de las ciudades[1] también han sido objeto de diferentes interpretaciones. En primera instancia, se reconoce dentro de la escuela anglosajona el denominado proceso de sprawl urban, el cual tiene sus orígenes en un proyecto de ciudad planteado en 1934 por Frank Lloyd Wright, que propone un modelo de ciudad horizontal superpuesta al territorio asegurando la movilidad a partir del transporte automotor. Por su parte, desde la escuela española se utiliza el término de ciudad difusa –de raíz italiana-, la cual es caracterizada por: generación de un creciente consumo de suelo con relación al crecimiento demográfico, lo que contribuye a una baja densidad edificatoria; descentralización progresiva de amplios sectores terciarios, con la constitución de estructuras policéntricas que se relacionan con la expansión periférica de funciones urbanas antes centralizadas, como el comercio, las oficinas y determinados servicios; generación de una primacía del espacio de las comunicaciones; aparición de una nueva periferia con suburbanización residencial con claro predominio de las bajas densidades y vivienda unifamiliar; especialización extrema; difuminación de los límites ciudad-campo; pérdida de densidad, interacción funcional y continuidad espacial; descentralización de la actividad industrial; generación de economías de desaglomeración; y, transformación de la estructura urbana, sin una zonificación clara (Aguilera Benavente, 2006; Azcárate Luxán et al., 2008; Capel, 2003; Cebrián Abellán, 2007; García Palomares y Gutiérrez Puebla, 2007; y Saldívar, 2008; Rueda Palenzuela, 1999; Valera Lozano et al., 2007).
También es posible identificar aportes teóricos que solamente se han centrado en los aspectos morfológicos de la expansión urbana, entre los que se destacan el trabajo de los británicos Herbert y Thomas (1982) que introducen el término de crecimiento tipo “mancha de aceite”, controlado por un desplazamiento horizontal de la población y servicios urbanos hacia los bordes de las ciudades y por la acreción de suelos rurales a la trama urbana, todo generalmente guiado por las redes de comunicación y por la accesibilidad. Por otra parte, Clawson (1962) y Goodall (1972) hablan del crecimiento tipo “salto de rana”, que se trata de un desarrollo urbano discontinuo o bien no continuo, en el cual los enclaves urbanos ocupados por distintos segmentos sociales se emplazan en el medio periurbano. En lo que respecta a las ciudades latinoamericanas se incorpora la idea de crecimiento tentacular, que corresponde al crecimiento horizontal a partir de vías estructurantes o bien a la localización de actividades industriales en torno a nodos de transporte y comunicación, junto con un crecimiento por densificación en altura asociado a programas de renovación urbana en las áreas más centrales de la ciudad.
Si bien cada abordaje teórico y metodológico pone su atención en diferentes aspectos del proceso de crecimiento urbano difuso teniendo en cuenta la realidad urbana estudiada, todos ellos coinciden en los siguientes rasgos tendenciales:
• Incremento en el ritmo de crecimiento de la superficie urbana construida con relación al crecimiento demográfico.
• Baja densidad poblacional vinculada a un mayor consumo de suelo urbano.
• Mayor consumo de suelo rural en la periferia, que pasa a convertirse en suelo urbano, lo que genera una difuminación de los límites urbano-rural.
• Ocupación del territorio que se suele dar en forma discontinua, es decir, de forma fragmentada, donde la expansión urbana puede asumir patrones denominados mancha de aceite (Herbert y Thomas, 1982) salto rana (Clawson, 1962) o tentaculares (Azócar García et al., 2010).
• Peso creciente de las zonas periféricas respecto a las centrales en términos poblacionales, habitacionales y de actividades. Esto contribuye a cambios locacionales con relación a la selección del lugar de residencia y de otras actividades hacia la periferia tales como las industrias y comercios mayoristas, lo que es denominado como proceso de suburbanización (Dematteis, 1998).
Las recientes tendencias de crecimiento urbano del tipo difuso y fragmentado que caracterizan en la actualidad a las ciudades latinoamericanas evidencian algunas desarticulaciones en la mediación social naturaleza transformada-sociedad debido a los costos, en términos ambientales, económicos, sociales y normativos que ha implicado dicho proceso, poniendo en discusión la sostenibilidad territorial de este tipo de modelo de ciudad.
Desde esta perspectiva se evidencia, en primer lugar y en lo que respecta a los costos ambientales: la pérdida de biodiversidad, el incremento de la presión sobre zonas de interés ecológico y paisajístico, los cambios en el ciclo hidrológico debido a la impermeabilización del suelo, el aumento de la contaminación atmosférica por el consumo energético y de movilidad, la artificialización y sobreocupación de los espacios naturales, el encuentro de usos de suelos contiguos incompatibles y el aumento de residuos domiciliarios y de basurales clandestinos (Rueda Palenzuela, 1999; Santos Preciado, 2001; Aguilera Benavente, 2006, Azcárate Luxán, et al., 2011; Wassmer, 2000).
En segundo lugar y en referencia a los costos sociales, se detecta la polarización social, la pérdida de estabilidad y de cohesión social (Frediani, 2009; Rueda Palenzuela, 1999). Por último y en relación con los costos económicos y normativos-administrativos, se resalta una mayor inversión en la construcción de infraestructura vial y de servicios urbanos (Bazant, 2010; Azcárate Luxán et al., 2011).
En el marco de los desequilibrios territoriales generados ante las actuales tendencias de dispersión urbana, surge la necesidad de repensar modelos de ciudades más compatibles con los objetivos del desarrollo sostenible. En línea con estas ideas, Rueda Palenzuela (1999) considera que un modelo de ciudad sostenible debe tener como objetivo aumentar las probabilidades de contacto, intercambio y comunicación entre personas, actividades, asociaciones e instituciones, sin comprometer la calidad de vida urbana y la capacidad de carga de los ecosistemas periféricos, regionales y mundiales.
Por su parte el Banco Interamericano de Desarrollo, en el marco de la Iniciativa de Ciudades emergentes y sostenibles creada en el año 2011, define a la ciudad sostenible como aquella que ofrece una alta calidad de vida a sus habitantes, minimiza sus impactos al medio natural y cuenta con un gobierno local con capacidad fiscal y administrativa para mantener su crecimiento económico y para llevar a cabo sus funciones urbanas con la participación ciudadana (BID, 2011).
De esta manera, tomando como referencia dichos postulados del Banco Interamericano de Desarrollo (2011), se considera que para contribuir a un crecimiento urbano que revierta las tendencias actuales hacia territorios más compatibles con la sostenibilidad territorial, es necesario que se logren conciliar los aspectos morfológicos que va asumiendo la ciudad y las condiciones intrínsecas del medio natural (aunque transformado), que se minimice la degradación y se contribuya al bienestar social de todos sus habitantes, a través del cumplimiento de los siguientes objetivos:
· Propender a una ocupación y modo de uso equilibrado del espacio con relación a sus aspectos morfológicos, a través de:
La reutilización, renovación o redesarrollo y recuperación de zonas degradadas, abandonadas y vacías, a los fines de generar densidades compactas.
La generación de un equilibrio entre usos residenciales, comerciales, equipamiento y de esparcimientos, que evite el traslado masivo de las personas y vehículos, contribuyendo a un aumento de la cohesión social.
· Garantizar la ocupación de espacios que no estén expuestos a restricciones ambientales, por medio de la evaluación de las condiciones ecológicas de los espacios a ocupar, que permita determinar la capacidad de acogida del medio para asimilar, contener o atenuar determinados efectos ocasionados por las acciones humanas.
· Asegurar a la población el acceso a una vivienda-terreno propio y a servicios urbanos básicos (energía, higiene urbana, espacios verdes y movilidad pública urbana).
Desde esta perspectiva, la sostenibilidad territorial debe ser entendida en el marco de los sistemas de acciones y objetos (Santos, 2000) que se conjugan en el proceso de urbanización, derivando en formas y contenidos que atiendan a los objetivos previamente planteados. Es importante advertir que las estrategias a considerar para lograr estos objetivos no sólo dependerán de cambios en el diseño y configuración física de las ciudades, sino también de cambios culturales, específicamente, de cambios en el comportamiento de los sistemas sociales que producen la ciudad.
Caracterización de los rasgos tendenciales de crecimiento urbano de la ciudad de Río Cuarto
La ciudad de Río Cuarto se localiza en el sector sudoeste de la provincia de Córdoba (Argentina) en el departamento y pedanía homónimo (mapa 1). Se caracteriza por ser una ciudad de tamaño medio con una población de 157.010 habitantes -según el Censo Nacional de Población y Viviendas del 2010- que actualmente se concentra en una superficie de 64,25 km2. Es la segunda ciudad más importante de la provincia de Córdoba con relación a la cantidad de habitantes y servicios que ofrece -comerciales, financieros, educativos y de salud-, por lo que constituye la capital alterna provincial.
Mapa 1. Localización de la ciudad de Río Cuarto

A partir de trabajos previos (Galfioni y Degioanni, 2015), se ha determinado que el escenario actual derivado del proceso de crecimiento urbano de la ciudad entre 1980-2013, se asemeja a un modelo de ciudad difuso y fragmentado (figura 1), como resultado del incremento de la superficie urbana construida a un ritmo mayor que el crecimiento de la población, lo que ha contribuido a generar una baja densidad poblacional, sobre todo en la zona de transición urbano-rural de reciente expansión (áreas periféricas). A esto se le suma una ocupación del territorio en forma discontinua, con la falta de consolidación de áreas intersticiales vacantes y espacios desvinculados de la ciudad consolidada, lo que ha intensificado la reconversión de tierra rural a urbana y la difuminación de los límites entre lo urbano-rural. Cabe destacar que estos cambios de los patrones de localización de la población y actividades hacia la periferia, entendidos como un proceso de dispersión, han sido acompañados por la densificación de algunos sectores del centro que continúan siendo foco de concentración de población.
Fig. Nº 1. Modelo urbano de la ciudad de Río Cuarto según su estructura espacial y social para el año 2013

Fuente: Elaboración propia, 2017.
En este sentido, si bien la estructura espacial y funcional de la ciudad sigue siendo monocéntrica, puesto que la zona central tradicional sigue concentrando las instituciones públicas y comercios, se evidencia el avance y consolidación de una zona de transición urbano-rural de reciente expansión en la cual confluyen nuevas materialidades residenciales, comerciales e industriales que han dotado a la ciudad de una nueva forma-contenido.
Por su parte, en lo que corresponde a las acciones que han mediado en estas nuevas formas de producir el espacio urbano, se reconoce a la lógica del mercado como el principal agente que ha direccionado los vectores de crecimiento urbano de la ciudad a partir de los desarrollos inmobiliarios, sobre todo desde el año 2003 tras la crisis económica del 2001, localizándose estos emprendimientos en la periferia de la ciudad, por medio de proyectos vinculados a la creación y expansión de urbanizaciones privadas, tales como los barrios cerrados y countries. A esto se le suma la flexibilidad y funcionalidad del marco normativo al orden impuesto por el mercado, que en cierta manera favoreció la profundización del proceso de dispersión.
Desde esta perspectiva, los cambios en los patrones de localización de la población y de las actividades le han conferido a la ciudad un cierto dinamismo y heterogeneidad, así como también ciertas desarticulaciones en la mediación social relación naturaleza transformada-sociedad, con la consecuente aparición y profundización de conflictos socioambientales vinculados a la reconversión de uso del suelo agrícola a urbano, la presencia de usos del suelo incompatibles en el área urbana consolidada y el área de transición urbano-rural de reciente expansión, deficiente regulación del excedente hídrico que ha contribuido al incremento de las inundaciones en diferentes sectores de la ciudad y aumento y proliferación de los basurales clandestinos (Galfioni et al., 2013). Todo ello fueron las primeras voces de insostenibilidad territorial que han surgido en el área de estudio, y que han servido de base para realizar un diagnóstico preliminar sobre las necesidades y demandas de la sociedad, además de insumo para la construcción y cálculo del IST.
Propuesta metodológica para el estudio de la Sostenibilidad Territorial
Tomando como base los fundamentos teóricos explicitados en el apartado anterior, con relación a objetivos a considerar para contribuir a un crecimiento urbano que revierta las tendencias actuales hacia territorios más compatibles con la sostenibilidad territorial, se exponen a continuación las instancias consideradas en la construcción y aplicación de un sistema de indicadores para determinar el IST, para monitorear y evaluar el grado de acercamiento o alejamiento del escenario urbano actual a los objetivos/criterios propuestos para la consolidación de ciudades sostenibles. Tales instancias son:
a) Análisis de las diferentes experiencias en indicadores a escala internacional, regional, nacional y local, aplicados a espacios urbanos, con base en la lectura de material bibliográfico, libros especializados, artículos de revistas científicas, entre los más destacados. En esta oportunidad, se decidió tomar como esquema orientativo los indicadores propuestos por el modelo del Banco Interamericano de Desarrollo en la Iniciativa Ciudades Emergentes y Sostenibles (2011), ya que emplea un enfoque integral e interdisciplinario que permite evaluar la evolución de determinados procesos o aspectos de la realidad urbana, los cuáles se vinculan con los indicadores considerados para analizar los rasgos de crecimiento urbano de la ciudad de Río Cuarto y los primeros indicios de insostenibilidad territorial identificados.
b) Construcción de indicadores y fuentes de información. Se realizaron reajustes al esquema propuesto por el Banco Interamericano de Desarrollo (2011) en función de los objetivos propuestos, de la disponibilidad y fiabilidad de los datos y de la posibilidad de desagregar el análisis a nivel de radios censales, estos últimos se constituyen en las unidades de análisis escogidas para el cálculo de los indicadores. De esta manera, se consideraron tres dimensiones, de las cuales se derivan las áreas temáticas y sus respectivos indicadores, método de cálculo y escala de evaluación:
· Dimensión morfología urbana. Se contemplan aquellos indicadores (densidad habitacional y diversidad urbana) que definen las características morfológicas de la ciudad. Según la forma de ocupación y modo de uso del espacio, se ejercerá una presión de diferente grado sobre el territorio influyendo en el modo de uso del medio físico y en la demanda de infraestructura urbana y servicios básicos. En esta instancia se pretende evaluar si el escenario actual urbano genera un aprovechamiento territorial equilibrado.
· Dimensión ambiental. En la misma se incluyen aquellos indicadores destinados a evaluar el porcentaje de superficie expuesta a restricciones ambientales vinculadas a los temas de agua (porcentaje de superficie expuesto a nivel freático problemático, porcentaje de superficie expuesta a la presencia de agua subterránea no apta para el consumo humano y porcentaje de superficie expuesto a problemas por procesos activos de cursos de agua), suelo (porcentaje de superficie con alto valor agroecológico) y aire (porcentaje de superficie expuesta a actividades contaminantes).
· Dimensión social. Comprende un conjunto de indicadores destinados a medir el grado de accesibilidad a la vivienda-terreno propio (porcentaje de población propietaria de la viviendas-terreno) y a los servicios urbanos (porcentaje de accesibilidad de hogares con acceso al servicio de agua potable por red, de gas por red, energía eléctrica, relación costo de energía y densidad de usuarios, desagües cloacales, porcentaje de superficie cubierta con el servicio de recolección de residuos urbanos, espacios verdes y proximidad espacial a las redes de transporte público).
En cuanto a la escala de evaluación utilizada para medir la sostenibilidad territorial de cada indicador, se utilizó el método de quintiles a partir del cual se generaron cinco rangos de sostenibilidad territorial: crítica (0 a 0,19), baja (0,20-0,39), media (0,40- 0,59), alta (0,60- 0,79) y muy alta (0,80-1).
c) Cálculo de los indicadores por variable de análisis. En esta instancia se elaboró una base de datos georreferenciadas en un Sistema de Información Geográfica (SIG) aplicando los métodos de cálculo especificados para cada indicador por radios censales (cuadro 1).
d) Cuadro 1. Matriz de indicadores de Sostenibilidad territorial
|
OBJETIVOS PARA UN CRECIMIENTO URBANO QUE CONTRIBUYA A UN DESARROLLO TERRITORIAL SOSTENIBLE |
VARIABLES DE ANÁLISIS |
INDICADORES |
MÉTODO DE CÁLCULO |
FUENTES DE INFORMACIÓN |
||
|
Objetivo 1
Propender a una ocupación y modo de usos equilibrado del espacio. |
Morfológicas |
Densidad habitacional |
Cantidad de viviendas para el año
2010/ superficie total del radio censal (ha). |
Atributo de densidad habitacional de la capa de radio censal elaborada con base en el Censo Nacional de Población y Viviendas (CNPyV) proporcionados por el Instituto Nacional de Estadísticas y Censos (INDEC). |
||
|
Índice de Diversidad |
Cantidad de usos del suelo /total de usos de suelo reconocidos para zonas urbanas y urbanizables para el año 2013 por radio censal. |
Atributo de uso del suelo de la capa de manzanario obtenidos a partir de la recopilación y sistematización de la información recabada por fotointerpretación de imágenes satelitales y control de campo utilizada en la caracterización del proceso de crecimiento urbano en la ciudad. |
||||
|
Objetivo 2
Garantizar la ocupación de espacios que no estén expuestos a restricciones ambientales. |
Ambientales |
Agua subterránea |
% de superficie expuesta a nivel freático con profundidad problemática – a menos de 2 mts.- |
Superficie (ha) expuesta a nivel freático con profundidad problemática/ el total de sup. (ha) del radio censal. |
Capa de nivel freático con profundidad problemática (Campanella, 2008). |
|
|
% de superficie expuesta a la presencia de agua subterránea no apta para consumo humano. |
Superficie (ha) expuesta a la presencia de agua subterránea no apta para consumo humano/ el total de sup. (ha) del radio censal. |
Capa de superficie con presencia de agua subterránea no apta para consumo humano (Blarasin y Cabrera, 2005). |
||||
|
Agua superficial |
% de superficie expuesto a problemas por proceso activos de cursos de agua. |
Superficie (ha) expuesta a problemas por procesos activos de cursos de agua/ el total de sup. (ha) del radio censal. |
Capa de superficie con problemas activos de cursos de agua (Campanella, 2008). |
|||
|
% de superficie con valor ecológico hídrico. |
Superficie (ha) con valor ecológico hídrico/ el total de sup. (ha) del radio censal. |
Capa de ribera del río Cuarto, proporcionada por la Municipalidad de Río Cuarto, y buffer de 100 mts. |
||||
|
Suelo |
% de superficie con alto valor agroecológico. |
Superficie (ha) con alto valor agroecológico/ el total de sup. (ha) del radio censal. |
Atributo de valoración productiva de la capa de unidades ambientales (De Prada et al. ,2012). |
|||
|
Aire |
% de superficie expuesta a actividades contaminantes. |
Superficie (ha) expuesta actividades contaminantes a 300 mts/ el total de sup. (ha) del radio censal. |
Atributo de uso del suelo de la capa de manzanario obtenidos a partir de la recopilación y sistematización de la información recabada por fotointerpretación de imágenes satelitales y sus complementarización con salida de campo. |
|||
|
Objetivo 3
Asegurar a la población el acceso a una vivienda-terreno propio y a servicios urbanos básicos. |
Bienestar social |
Habitabilidad |
Accesibilidad a la vivienda/ terreno propio (relación entre la cantidad de viviendas/terrenos que tienen propietarios y el total de viviendas para el año 2010 por radio censal). |
Cantidad de viviendas-terrenos propios/total de viviendas para el año 2010 por radio censal. |
CNPyV proporcionados por el INDEC. |
|
|
Energía |
Accesibilidad al servicio de gas por red (relación entre la cantidad de hogares con acceso a gas por red y el total de hogares para el año 2010 por radio censal). |
Cantidad de hogares que tienen acceso al servicio de gas por red/ el total de hogares para el año 2010 por radio censal. |
||||
|
Accesibilidad al servicio de energía eléctrica por red (relación entre la cantidad de hogares con acceso a energía eléctrica y el total de hogares para el año 2010 por radio censal). |
Cantidad de hogares que tienen acceso al servicio de energía eléctrica por red/ el total de hogares para el año 2010 por radio censal. |
|||||
|
Densidad de usuarios de energía por red (relación del costo de luz por KW y la densidad poblacional). |
- 0,007*Densidad de población + 1,93. |
|||||
|
Higiene urbana |
Accesibilidad al servicio de agua por red (relación entre la cantidad de hogares con acceso al servicio de agua por red y el total de hogares por radio censal para el año 2010). |
Cantidad de hogares que tienen acceso al servicio de agua por red/ el total de hogares para el año 2010 por radio censal. |
||||
|
Accesibilidad a desagües cloacales (relación entre la cantidad de hogares con acceso a desagües cloacales y el total de hogares por radio censal para el año 2010). |
Cantidad de hogares que tienen acceso al servicio de desagües cloacales/ el total de hogares para el año 2010 por radio censal. |
|||||
|
% de superficie cubierta con el servicio de recolección de residuos. |
Superficie (ha) de cobertura del servicio de recolección de residuos/ el total de sup. (ha) del radio censal. |
Capa de cobertura del servicio de recolección de residuos sólidos urbanos realizada con base en los datos obtenidos de COTRECO -empresa que se encarga de recolección de residuos sólidos urbanos en la ciudad de Rio Cuarto-. |
||||
|
Espacios verdes públicos |
% de superficie con cobertura simultánea a las diferentes tipologías de espacios verdes consideradas en función de su superficie y distancia de acceso a pie. |
Superficie (ha) de cobertura simultánea a las diferentes tipologías de espacios verdes / el total de sup. (ha) del radio censal. |
Datos obtenidos a partir del SIG de la Municipalidad de Rio Cuarto para el año 2013. |
|||
|
Movilidad urbana: Transporte público |
% de proximidad espacial a las redes de transporte público urbano. |
Superficie (ha) con proximidad espacial a las redes de transporte público / el total de sup. (ha) del radio censal. |
Datos obtenidos en la página oficial de la empresa de Transporte urbano de la ciudad de Río Cuarto. |
|||
Fuente: elaboración propia con base a modelo de ciudades sostenibles propuesto por el Banco Interamericano de Desarrollo (2011). Año 2019
e) Normalización de los resultados de cada indicador. Sobre la base de los valores obtenidos a través de los indicadores seleccionados, se procedió a su normalización en unidades homogéneas integrales a partir del método estándar de los “puntos de correspondencia” (United Nations Research Institute for Social Development, 1970). Para su aplicación se tuvo en cuenta la dirección positiva o negativa de cada indicador, de acuerdo con la naturaleza de la variable, para lo cual se aplicaron las siguientes fórmulas:
-
Indicadores positivos (mayor valor del indicador = mejor situación)
- Indicadores negativos (mayor valor del indicador= peor situación)

Donde: indx: valor estandarizado del indicador; x: dato original a ser estandarizado; MAXx: mayor valor del indicador y MINx: menor valor del indicador.
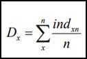
f) Construcción simple del Índice de Sostenibilidad territorial. A partir de la normalización de los valores de cada indicador, en la cual cada uno de ellos muestra un valor entre 0 (peor situación) y 1 (mejor situación) y asumiendo que todas las dimensiones tienen la misma importancia, se procedió, por un lado, a calcular la Sostenibilidad Territorial para cada dimensión de análisis con base en la sumatoria de los resultados obtenidos por cada radio censal y su relación con el número de indicadores comprendido en cada una de ella.

Donde: DX, puede ser por ejemplo la dimensión “morfología urbana”, estará conformada por n indicadores, que aportarán 1/n cada uno al valor total de D1.
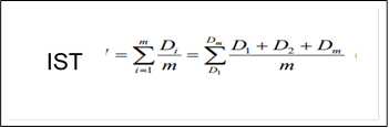
Por otro lado, se concluyó con el cálculo del Índice de Sostenibilidad Territorial (IST) teniendo en cuenta la relación entre la sumatoria de los resultados obtenidos por cada dimensión de análisis y la cantidad de éstas.
![]() |
Donde: Di es la sumatoria de los valores obtenidos por cada dimensión y m cantidad de dimensiones que componen el Índice de Sostenibilidad Territorial.
g) Salida y análisis espacial de mapas temáticos. Los resultados obtenidos para cada uno de las variables de análisis (morfológicas, ambientales y de bienestar social) y su integración en un índice, se representaron espacialmente en los mapas, para su posterior análisis.
Sostenibilidad Territorial en la ciudad de Río Cuarto
En el presente apartado se exponen los resultados obtenidos derivados del cálculo del IST para cada uno de los indicadores que componen las tres dimensiones propuestas (morfológicas, ambiental y de bienestar social) para el escenario actual derivado del proceso de crecimiento urbano en la ciudad de Río Cuarto (mapa 2).
Mapa 2. Distribución de los niveles de sostenibilidad territorial en sus dimensiones morfológicas, ambiental y de bienestar social

En primer lugar, en referencia a su dimensión morfológica, se puede observar en términos generales, un aprovechamiento desequilibrado del espacio. Los valores críticos (0-0,19) y bajos (0,20- 0,39) se sitúan en la gran mayoría de los radios censales, con excepción del centro de la ciudad y sector sur del área de transición en donde los valores de sostenibilidad territorial son medios (0,40-0,59). Los indicadores vinculados a dicha dimensión comprenden, por un lado, la densidad habitacional cuyos cálculos de sostenibilidad territorial han demostrado que los valores más críticos se encuentran en gran parte del área urbana consolidada y en la totalidad del área de transición urbano-rural de reciente expansión debido a la presencia de una menor cantidad de viviendas por ha y de manzanas vacías sin consolidar. Por otro lado, con referencia al otro indicador vinculado a esta dimensión, la diversidad urbana, los resultados indicaron valores críticos en la zona central de la ciudad con una escasa diversificación de los usos del suelo que contribuyen a la generación de espacios monofuncionales que condicionan el desplazamiento masivo de la población y los vehículos.
En segundo lugar, con relación a la dimensión ambiental, en general se aprecian valores favorables (0,60-0,79 y 0,80-1) en términos de sostenibilidad territorial. Sin embargo es de importancia destacar, que al interior de los resultados obtenidos para cada uno de los indicadores contemplados en dicha variable de análisis, se han evidenciado casos puntuales de espacios expuestos a restricciones ambientales, tanto en el área urbana consolidada como de transición urbano-rural de reciente expansión, que guardan estrecha vinculación con los conflictos socioambientales identificados previamente en el área, sobre todo con relación a las superficies expuestas a: niveles freáticos problemáticos, procesos erosivos en algunos sectores colindantes al río Cuarto y actividades contaminantes. Estas últimas, se aprecia sobre todo en el área de reciente expansión en la cual se genera un encuentro de usos del suelo incompatibles urbano-rural que termina afectando no sólo las condiciones naturales, sino también a la población en general.
En tercer lugar, vinculado a la dimensión de bienestar social, los resultados obtenidos en términos de sostenibilidad territorial demuestran un área urbana consolidada con valores altos (0,60-0,79) y muy altos (0,80-1), mientras que en el área de transición urbano-rural de reciente expansión los valores se tornan críticos (0-0,19) y bajos (0,20-0,39). Al interior de los indicadores propuestos en el marco de dicha dimensión, se aprecian valores críticos y bajos con relación al acceso tanto a la vivienda/suelo propio en los radios centrales y periféricos del área urbana consolidada como así también en la accesibilidad a los servicios urbanos, sobre todo en la zonas de transición urbano-rural de reciente expansión con relación a la dotación de gas por red, desagües cloacales y servicio de recolección de residuos urbanos, a lo que se le suma el acceso a los espacios verdes públicos y al transporte público urbano. De esta manera, se evidencia un proceso de crecimiento urbano que no se ha traducido en un aumento de la posibilidad de acceder a una vivienda/suelo propio y a los servicios urbanos, contribuyendo a un escenario inequitativo en términos sociales más focalizado en las áreas de reciente expansión.
A partir de la integración de los resultados obtenidos en cada una de las dimensiones del IST, a nivel general se detecta que los valores bajos (0,20-0,39) en término de sostenibilidad territorial se localizan en el sector oeste del área de transición urbano-rural de reciente expansión, mientras que en resto del área de estudio los valores fluctúan entre medio (0,40-0,69) y alto (0,60-0,79). Dicho estado de situación, denota un crecimiento urbano que no ha sido acompañado por un desarrollo urbano que involucre, en primer lugar, un aprovechamiento equilibrado del espacio, la ocupación de espacios que no estén expuestos a restricciones ambientales, así como también cambios en los servicios e infraestructura necesarios para mejorar la calidad de vida de la población y evitar situaciones conflictivas, sobre todo en las áreas de transición urbana de reciente expansión.
Discusión y conclusiones
Teniendo en cuenta el objetivo general de la presente propuesta de investigación, se identificaron diecisiete indicadores contemplados dentro de las variables de análisis morfológica, ambiental y de bienestar social que han contribuido a evaluar la sostenibilidad territorial del escenario actual derivado del proceso de crecimiento urbano en la ciudad de Río Cuarto entre 1980 y 2013, permitiendo reconocer las principales debilidades de la planificación y gestión urbana en el contexto de las tendencias de crecimiento difuso y fragmentado.
Desde el punto de vista metodológico, la selección y construcción de dicho conjunto de indicadores, se ha realizado con base a los objetivos considerados prioritarios para generar un crecimiento urbano orientado por principios de sostenibilidad territorial, así como también considerando los datos y fuentes de información disponibles obtenidos durante el proceso de caracterización de la expansión urbana de la ciudad y de los primeros indicios de insostenibilidad identificados. De esta manera, dicha herramienta ha tenido como intención constituirse en un aporte para la planificación y gestión de los espacios urbanos, a través de la puesta en disposición de un conjunto de variables, temáticas, indicadores y parámetros que ayuden a los planificadores urbanos a desarrollar mecanismos y a adoptar decisiones que se acerquen a un modelo de ciudad sostenible en el mediano y largo plazo. A su vez, es dable destacar que las fuentes de información propuestas son accesibles puesto que comprenden, por un lado, los censos de población, hogares y vivienda relevados por el Instituto Nacional de Estadísticas y Censos, y por otro, relevamientos tanto propios, realizados en trabajo de campo, u obtenidos a través de trabajos académicos desarrollados por otros investigadores de la Universidad Nacional de Río Cuarto. Los indicadores considerados para esta instancia podrían ampliarse o actualizarse en función de las demandas y de la existencia de fuentes de datos que se van generando.
Desde el punto de vista empírico, se advierte que el escenario urbano actual de tipo difuso y fragmentado es territorialmente insostenible, puesto que se caracteriza por un aprovechamiento desequilibrado del espacio, que es en general –con excepción del centro de la ciudad- de baja densidad y de escasa diversificación de los usos del suelo, lo que contribuye a generar espacios monofuncionales que condicionan el desplazamiento masivo de la población y vehículos.
Con referencia a la dimensión ambiental, se destaca presencia de sectores urbanos expuestos a restricciones ambientales tanto en el área urbana consolidada como de transición urbano-rural de reciente expansión, sobre todo con relación a las superficies expuestas a: niveles freáticos problemáticos, procesos erosivos del río Cuarto en algunos sectores de la ciudad, y actividades contaminantes. Esta última genera el encuentro de usos del suelo incompatibles que termina afectando no sólo las condiciones naturales, sino también a la población en general.
Por último, se evidenció un escenario inequitativo en términos de acceso a la vivienda/suelo en los radios centrales y periféricos del área urbana consolidada como así también a los servicios urbanos, sobre todo en la zonas de transición urbano-rural, especialmente con relación a la dotación de gas por red, desagües cloacales y servicio de recolección de residuos urbanos, a lo que se le suma el acceso a los espacios verdes públicos y al transporte público.
Para concluir, la propuesta de indicadores expuesta en el presente trabajo pretende constituirse en una herramienta al servicio de todos aquellos que producen la ciudad, a los fines de identificar las potencialidades, limitaciones o problemáticas derivadas de los rasgos tendenciales de crecimiento urbano, no sólo para comprender el origen de la situación actual sino también para asumir una visión prospectiva que permita prevenir conflictividades profundizadas en la actualidad.
Referencias bibliográficas
AGUILERA BENAVENTE, F. (2006) Predicción del crecimiento urbano mediante sistemas de información geográfica y modelos basados en autómatas celulares. GeoFocus: Revista Internacional de Ciencia y Tecnología de la Información geográfica Nº 6, pp. 81-112. Recuperado en: https://www.researchgate.net/publication/277264078_Prediccion_del_crecimiento_urbano_mediante_sistemas_de_informacion_geografica_y_modelos_basados_en_automatas_celulares
ASCHER, F. (1995) Métapolis ou l’avenir des villes. París: Editions Odile Jacob
AZCÁRATE LUXÁN, M.V.; COCERO MATESANZ, D.; FERNÁNDEZ, A.; GARCÍA LÁZARO, F.J.; MUGURUZA CAÑAS, C. Y SANTOS PRECIADO, J.M (2008) Rasgos fundamentales del reciente proceso de urbanización difusa. Algunas reflexiones sobre la realidad de la ciudad dispersa en las aglomeraciones urbanas españolas. Comunicaciones al XI Coloquio Ibérico de Geografía. La perspectiva geográfica ante los nuevos retos de la sociedad y el medio ambiente en el contexto ibérico. Recuperado en :http://www.geogra.uah.es/web_11_cig/cdXICIG/docs/01PDF_Comunicaciones_coloquio/pdf-1/com-P1-24.pdf.
AZÓCAR GARCÍA, G.; AGUAYO ARIAS, M.; HENRÍQUEZ RUIZ, C.; VEGA MONTERO, C. Y SANHUEZA CONTRERAS, R. (2010) Patrones De Crecimiento Urbano En La Patagonia Chilena: El Caso De La Ciudad De Coyhaique. Revista De Geografía Nº 46, pp. 85-104.
BANCO INTERAMERICANO DE DESARROLLO- BID- (2011) Guía metodológica; Iniciativa Ciudades Emergentes y Sostenibles (Primera edición).
BAZANT S, J. (2010) Expansión urbana incontrolada y paradigmas de la planeación urbana. Espacio Abierto, vol. 19, (Nº 3), pp. 475-503. Recuperado en: http://www.redalyc.org/pdf/122/12215112003.pdf
BLARASIN, M. Y CABRERA, A. (2005) Agua subterránea y ambiente. Río Cuarto, Argentina: Edición Agencia Córdoba Ciencia.
BORSDORF, A. (2003) Cómo modelar el desarrollo y la dinámica de la ciudad latinoamericana. Revista Latinoamericana de Estudios Urbanos Regionales (EURE), Vol. 29 (Nº 86), pp. 37-49. Recuperado en: http://www.eure.cl/index.php/eure/article/view/1265
BUZAI, G. (2006) Modelos urbanos: focalización de la estructura espacial de las ciudades de América Latina. En Mateucci, S.; Morello, J.; Buzai, G.; Baxendale, C.; Silva, M.; Mendoza, N.; Pengue, W. Y Rodríguez, A, Crecimiento urbano y sus consecuencias sobre el entorno rural. El caso de la ecorregión pampeana (pp. 13-34). Buenos Aires, Argentina: Orientación gráfica Editora.
CAMPANELLA, O. (2008) Cartografía geotécnica en áreas de llanura. Ejemplo de Río Cuarto (Tesis doctoral). Universidad Nacional de Río Cuarto, Córdoba. Argentina.
CANTAR, N. Y ZULAICA, L. (2017) Evaluación preliminar de la sostenibilidad ambiental y urbana de la ciudad Olavarría. Revista I+A Investigación + Acción I, Año 20, Nº 19 l, pp. 143-154, Facultad de Arquitectura, Urbanismo y Diseño de Mar del Plata (Buenos Aires, Argentina). Recuperado en: https://revistasfaud.mdp.edu.ar/ia/article/view/IA19-09
CAPEL SAENZ, H. (2003) Redes, chabolas y rascacielos. Las transformaciones físicas y la planificación en las áreas metropolitanas. Mediterráneo económico, pp.199-238.
CEBRIÁN ABELLÁN, F. (2007) Transformaciones y ajustes ante las nuevas dinámicas urbanas. Manifestaciones en la organización del territorio de Castilla-La Mancha. Estudios Geográficos, LXVIII (Nº262). Recuperado en: http://estudiosgeograficos.revistas.csic.es/index.php/estudiosgeograficos/article/view/1
CLAWSON, M. (1962) Urban Sprawl and Speculation in Suburban Land. Land Economics 38, pp.99-111.
CONSEJERÍA DE MEDIO AMBIENTE DE ANDALUCÍA (2001) Bases para un sistema de indicadores de Medio Ambiente Urbano en Andalucía. Sevilla, España: CMA.
______________________________________ (2003) Guía metodológica para el cálculo de indicadores de sostenibilidad local en la Comunidad Autónoma del País Vasco. Indicadores de Agenda Local 21. CMA, Serie Programa Marco Ambiental.
CORBOZ, A. (2001) Le Territoire commepalimpseste et autres essais, París, Francia:Les Editions de l’imprimeur.
DE PRADA, J.; DEGIOANNI, A.; CISNEROS, J.; GALFIONI, M. A. Y CANTERO, A. (2012) Diseño y evaluación de propuestas de ordenamiento de territorio: La urbanización sobre tierras rurales. AAEA. XLIII Reunión Anual Asociación Argentina de Economía Agraria, Corrientes, Argentina.
DEMATTEIS, G. (1998) Suburbanización y periurbanización. Ciudades anglosajonas y ciudades latinas. Monclús, F. J. (Ed) En La ciudad dispersa: suburbanización y nuevas periferias. Barcelona, España: Centro de Cultura Contemporánea.
FISHMAN, R. (1987) Bourgeois Utopias: The Rise and Fall of Suburbia. New York, EEUU: Basic Books.
FREDIANI, J. C. (2010) Lógicas y tendencias de la expansión residencial en áreas periurbanas. El Partido de La Plata, Buenos Aires, Argentina, entre 1990 y 2010 (Tesis doctoral). Universidad Nacional de La Plata. Facultad de Humanidades y Ciencias de la Educación para optar al grado de Doctora en Geografía. Recuperado en:http://www.memoria.fahce.unlp.edu.ar/tesis/te.355/te.355.pdf
GAFFRON, P.; HUISMANS, G. Y SKALA, F. (eds.) (2008a) Proyecto Ecocity. Manual para el diseño de ecociudades en Europa. Libro II La ecociudad: cómo hacerla realidad. Bilbao, España.
GAFFRON, P.; HUISMANS, G. Y SKALA, F.(eds.) (2008b) Proyecto Ecocity. Manual para el diseño de Ecociudades en Europa.Libro I La ecociudad: Un lugar mejor para vivir. Bilbao, España.
GALFIONI, M.Á. Y DEGIOANNI, A. J. (2015) Nuevas formas y contenidos: patrones de crecimiento urbano en la ciudad de Río Cuarto. Un abordaje desde sus variables demográficas y morfológicas. Reflexiones Geográficas Nº 17, pp. 50-64. Editorial: Agrupación de Docentes Interuniversitarios de Geografía.
GALFIONI, M.Á.; DEGIOANNI, A. J.; MALDONADO, G. I. Y CAMPANELLA, O. (2013) Conflictos socioambientales: identificación y representación espacial en ambiente SIG. ESTUDIO DE CASO EN LA CIUDAD DE RÍO CUARTO (Argentina). Estudios Geográficos, Vol. LXXIV (Nº 275) pp. 469-493.
GARCÍA PALOMARES, J. C. Y GUTIÉRREZ PUEBLA, J. (2007) La ciudad dispersa: cambios recientes en los espacios residenciales de la Comunidad de Madrid. Anales de Geografía, vol. 27 (Nº 3), pp.45-67. Recuperado en: http://revistas.ucm.es/index.php/AGUC/article/viewFile/AGUC0707110045A/30912.
GARREAU, J. (1991) Edge City: Life on the New Frontier. New York, EEUU: Doubleday.
GEDDES, R. (1997) La metrópolis desbordada: la dispersión de la ciudad nueva y la búsqueda de alternativas. Urbana, vol. IV (Nº 2) pp. 3-1.
GOODALL, B. (1972) The economics of urban areas. Oxford, EEUU: Pergamon Press.
GORDON, P. Y RICHARDSON, AND H. (2001) The Sprawl Debate: Let Markets do the Planning. Publius, Vol. 2 (Nº 3) pp.131-149.
GUTMAN, P. (1985) Teoría Económica y problemática ambiental: un diálogo difícil. Desarrollo Económico, vol. 25, Nº 98.
HERBERT, D. Y THOMAS, C. (1982) Urban Geography. A first approach. Nueva York, EEUU: J. Wiley.
INDOVINA, F. (1990) La citta diffusa. Venezia: Dipartamento di Analisi Economica e Sociale del Territorio, Istituto Universitario di Architettura di Venezia.
JANOSCHKA, M. (2002) El nuevo modelo de la ciudad latinoamericana: fragmentación y privatización. Revista Latinoamericana de Estudios Urbano Regionales (EURE), Vol. XXVIII, (Nº 28), pp. 11-30. Recuperado en: http://www.eure.cl/index.php/eure/article/view/1239
LOYOLA GÓMEZ, C. Y RIVAS MALDONADO, J. (2010) Análisis de indicadores de sustentabilidad para su aplicación en una ciudad intermedia de Chile: el caso de Chillán y su plan de desarrollo comunal. Tiempo y Espacio 25, pp.7-20.
MASSIRIS, Á. (2005) Fundamentos conceptuales y metodológicos del ordenamiento territorial, Tunja, Universidad Pedagógica y Tecnológica de Colombia, Dirección de Investigaciones, Colección de Investigación, UPTC 1. Recuperado en: http://www.massiris.com/2012/09/libro-fundamentos-conceptuales-y.html
MINISTERIO DE MEDIO AMBIENTE (1996) Indicadores ambientales. Una propuesta para España. Madrid: Dirección General de Calidad y Evaluación Ambiental, Ministerio de Medio Ambiente.
__________________ (2000) Sistema español de indicadores ambientales: Área de medio urbano. Madrid: Centro de Publicaciones, Ministerio de Medio Ambiente.
MINISTERIO DE PLANIFICACIÓN FEDERAL, INVERSIÓN PÚBLICA Y SERVICIOS, MPFIPS (2011) Plan Estratégico Territorial Avance II: Argentina Urbana. Recuperado en: https://goo.gl/8JX95Y.
NAREDO, J. M. Y ZALDÍVAR, R. G. (2008) Estudio sobre la ocupación de suelo por usos urbano-industriales, aplicado a la Comunidad de Madrid. Recuperado en: http://habitat.aq.upm.es/oscam/.
ORGANIZATION FOR ECONOMIC CO-OPERATION AND DEVELOPMENT (OCDE) (1978) Urban environmental indicators. París: OCDE.
_______________________________________________________. (1990) Environmental Policies for cities in the 1990s. París: OCDE.
__________________________________________________________ (1993) OECD core set of indicators for environmental performance reviews. Environment Monographs, 83.
_________________________________________________________ (1997) Better understanding our cities. Therole of urban indicators. París: Mimeo.
________________________________________________________(2000) Frameworks to measure sustainable development: An OECD expert workshop. París: Mimeo.
_________________________________________________________(2001) Sustainable development: Critical issues. París: Mimeo.
ROJAS QUEZADA, C.; SALADO GARCÍA, M. J.; PINO VILALTAY, J. Y MARTORI, J.C. (2011) Medidas para la valoración de la sostenibilidad de los territorios metropolitanos: aplicación al área metropolitana. Boletín de la Asociación de Geógrafos Españoles N º 55.
RUEDA PALENZUELA, S. (1999) Modelos e Indicadores para ciudades más sostenibles. Departament de Medi Ambient de la Generalitat de Catalunya.
SANTOS, M. (2000) La Naturaleza del espacio. Técnica y tiempo. Razón y emoción. Barcelona: Ariel. Traducción en español de la versión de 1996.
SANTOS PRECIADO, J. M. (2001) Las periferias urbanas y la organización de la ciudad actual: el caso de Madrid. Ciudad y Territorio. Estudios Territoriales, vol. XXXII, Nº 126, pp. 669-688
TORREY, B. B. (2004) La urbanización: una fuerza ambiental considerable. Recuperado en:http://www.prb.org/SpanishContent/2004/LaUrbanizacionUnaFuerzaAmbientalConsiderable.aspx.
UNCHS/HABITAT (1997). Monitoring human settlements with urban indicators. Nairobi: Global Urban Observatory-Centre for Human Settlements (Habitat).
______________ (1999) State of the World’s cities: 1999. Nairobi: Global Urban Observatory-Centre for Human Settlements (Habitat).
______________ (2000) The Urban Environmental Forum 2000. Nairobi: Global Urban Observatory-Centre for Human Settlements (Habitat).
UNITED NATIONS, RESEARCH INSTITUTE FOR SOCIAL DEVELOP MENT (UNRISD), (1970).Contents and Measurements of Socio-Economic Development: An Empirical Enquip, Report No. 70.10, prepared by D. McGranahan.
VALERA LOZANO, A.; AÑÓ VIDAL, C. Y SÁNCHEZ DÍAZ, J. (2007) Crecimiento urbano (1956-1998) en el entorno metropolitano de Alacant-El (Comunidad Valenciana).Boletín de la Asociación de Geógrafos Españoles, Nº. 44, pp. 169-186.
VELÁZQUEZ, L. S. (2001) Indicadores de gestión urbana. Los observatorios urbano-territoriales para el desarrollo sostenible. Manizales: CEPAL, División de Medio Ambiente y Asentamientos Humanos (LC/L.1483-P).
WASSMER, R. (2000) Urban Sprawl in a U.S. Metropolitan Area: Ways to Measure and a Comparison of the Sacramento Area to Similar Metropolitan Areas in California and the U.S. Mimeo.
ZULAICA, L. Y TOMADONI, M. (2015) Indicadores de sostenibilidad ambiental en el periurbano de la Ciudad de Mar del Plata, Argentina. Anales de Geografía de la Universidad Complutense, vol. 35, núm. 2, pp. 195-216. Recuperado en: https://revistas.ucm.es/index.php/AGUC/article/view/50120
[1] Entre estos se destacan, en la definición estadounidense, expresiones tales como “ex urbs”, “outer cities”, “edge cities” (Fishman, 1987 y Garreau, 1991), mientras que en Europa -a partir de 1970- se empieza a hablar de “ciudad difusa”, “metápolis” o “hiperciudad” (Ascher, 1995, Corboz, 1995 e Indovina, 1990).